《经济管理师》培训教程

《经济管理师》EM培训教程

广东省经企联(专家委)经济管理课程导师:
广州大学管理学院教授薛小龙、广州大学继续教育学院教授王学通、中山大学管理学院教授方志远、华南理工大学管理学院教授崔毅、暨南大学管理学院教授黄文锋、汕职管院副教授王跃德、人社厅创业导师彭刚,高级经济师许荫韬,广大管院校外硕士生导师戴志明。
《经济管理师培训教程》编写组:
组长:薛小龙(教授),副组长:王跃德(副教授),成员:王世红(副教授)、陈致远(副教授)、张旭军(副教授)、李小健(秘书长)。
第一部分:习近平经济思想(编写成员:王跃德)
第二部分:经济学(编写成员:张旭军)
第三部分:管理学(编写成员:陈致远)
第四部分:营销学(编写成员:王世红)
编写单位:广东省经济学家企业家联谊会
2026年1月13日
目 录
2.8 坚持问题导向部署实施国家重大发展战略:经济发展的战略举措
4.1 理论价值:马克思主义政治经济学中国化时代化的最新成果
1.1.1 研究范畴的传统内核与现代拓展:经济学理论演进的动态脉络
《经济管理师培训教程》
第一部分:习近平经济思想
引言
习近平经济思想是党的十八大以来,以习近平同志为主要代表的中国共产党人在指导新时代中国经济建设的伟大实践中,将马克思主义基本原理同中国具体实际相结合、同中华优秀传统文化相结合,开创性回答我国经济发展一系列重大时代课题而形成的科学理论体系 。这一思想立足社会主义初级阶段基本国情,顺应世界百年未有之大变局与新一轮科技革命和产业变革趋势,不仅深刻揭示了中国经济发展的内在规律,更实现了马克思主义政治经济学中国化时代化的最新理论突破。
《习近平经济思想学习纲要》将其基本内容概括为13个核心方面,2024年中央经济工作会议提出的“一个最大共识、五个必须统筹”进一步丰富了其理论内涵 。同时,新质生产力、中国式现代化经济发展道路等原创性概念的提出,使其理论体系不断完善。本阐述围绕这一思想的理论根基、核心内涵、关键拓展理论、方法论以及理论价值与世界意义等维度展开细化分析,全面呈现其博大精深的理论架构与精神实质。
第一章 习近平经济思想的理论根基
习近平经济思想并非凭空产生,而是植根于深厚的理论土壤,既是对马克思主义政治经济学的继承发展,也是对中华优秀传统文化中经济智慧的创造性转化,更是对中国经济发展实践经验的理论升华,形成了坚实的三重理论根基。
1.1 马克思主义政治经济学的继承与发展
马克思主义政治经济学揭示了人类社会经济发展的一般规律,为习近平经济思想提供了根本的理论遵循。习近平经济思想坚守马克思主义政治经济学的基本立场、观点和方法,同时结合新时代中国经济实践作出创新性发展。
在生产力理论方面,马克思强调生产力是社会发展的最终决定力量,而习近平总书记提出的新质生产力概念,突破了传统生产力理论偏重规模扩张的局限,聚焦技术革命性突破、生产要素创新性配置带来的生产力质态跃升,将全要素生产率大幅提升作为核心标志,丰富了马克思主义关于生产力发展形态的理论 。在生产关系理论上,继承马克思主义关于生产关系适配生产力发展的基本原理,强调通过完善社会主义基本经济制度、深化经济体制改革,调整生产关系中不适应生产力发展的环节,如明确数据作为生产要素参与收益分配,拓展了生产要素理论的时代内涵。
在经济运行规律层面,借鉴马克思主义关于社会再生产、供求关系等理论,提出统筹总供给和总需求的关系以畅通国民经济循环,既吸收了马克思主义对经济运行基本矛盾的分析框架,又针对现代市场经济特点给出了当代中国的解决方案。同时,坚持马克思主义的阶级立场和人民立场,将增进人民福祉、实现共同富裕作为经济发展的出发点和落脚点,与马克思主义追求人的自由全面发展的目标一脉相承。
1.2 中华优秀传统文化中的经济智慧融入
中华优秀传统文化蕴含着丰富的经济治理理念,习近平经济思想对其进行了批判性继承和创新性发展,实现了传统智慧与现代经济理论的有机融合。“民惟邦本,本固邦宁”的民本思想,被转化为以人民为中心的发展思想,将人民对美好生活的向往作为经济工作的奋斗目标,使传统民本思想从理念层面转化为具体的经济发展价值导向。
“天人合一”的生态理念,与现代生态文明思想相结合,催生了绿色发展理念和绿色生产力理论,强调经济发展与生态保护的辩证统一,摒弃了先污染后治理的传统发展模式,实现了对传统生态智慧的时代化发展 。“和而不同”“协和万邦”的处世之道,延伸到对外经济领域,形成了互利共赢的开放战略,推动经济全球化朝着更加开放、包容、普惠的方向发展,区别于西方霸权主义的经济扩张逻辑,彰显了中国传统和合文化的当代价值。此外,“统筹兼顾”“循序渐进”等传统治理智慧,也融入到经济工作的方法论中,体现为系统观念和正确的工作策略方法。
1.3 中国经济发展实践的理论凝练
实践是理论的源泉,习近平经济思想是对党的十八大以来中国经济发展实践经验的系统性总结和理论升华。党的十八大以来,我国经济经历了从高速增长向高质量发展的转型,攻克了诸多历史性难题,创造了经济快速发展和社会长期稳定“两大奇迹”,这些实践成果为理论形成提供了坚实支撑。
在改革实践方面,通过持续推进国企改革、支持民营经济发展,形成了“两个毫不动摇”的理论总结,明确公有制经济和非公有制经济都是社会主义市场经济的重要组成部分,这一理论源于我国多种所有制经济共同发展的生动实践。在开放实践中,从自由贸易试验区建设到共建“一带一路”,我国逐步形成了全方位、多层次、宽领域的开放格局,催生了坚定不移全面扩大开放的理论主张,成为习近平经济思想的重要组成部分。
面对复杂的国内外经济环境,我国在应对防范化解重大金融风险、抗击疫情对经济的冲击等实践中,积累了统筹发展和安全的宝贵经验,这些实践探索最终上升为统筹发展和安全是经济发展重要保障的理论认知 。而五年规划的接续实施,从“十三五”到“十四五”的顺利推进,也为坚持问题导向部署实施国家重大发展战略的理论提供了坚实的实践佐证。
第二章 习近平经济思想的核心内涵(13个核心方面细化)
习近平经济思想的13个核心方面相互关联、有机统一,构成了逻辑严密的理论体系,涵盖经济发展的根本保证、根本立场、历史方位、指导原则等关键维度,是指导新时代经济工作的根本遵循。
2.1 加强党对经济工作的全面领导:经济发展的根本保证
这一理论源于中国特色社会主义的本质特征,明确了党在经济工作中的核心地位。党的领导是全面的、系统的、整体的,并非局限于宏观战略制定,而是贯穿经济发展规划编制、重大政策出台、重大风险防范等各个环节。习近平总书记强调,党中央集中统一领导是做好经济工作的最大共识,在关键时刻党中央及时研判形势、作出决策部署,是我国经济航船行稳致远的根本保障。
从理论逻辑来看,经济工作是党治国理政的中心工作,只有坚持党的全面领导,才能统筹中华民族伟大复兴战略全局和世界百年未有之大变局,避免经济发展陷入碎片化、短期化困境。在体制机制上,通过完善党中央领导经济工作的制度体系,如成立中央财经委员会等机构,确保党的经济决策部署高效落实。同时,要求各级党委不折不扣抓高质量落实,将党的政治优势、组织优势转化为经济发展的治理效能,这一理论既立足中国国情,又突破了西方经济理论中政府与市场对立的思维定式。
2.2 坚持以人民为中心的发展思想:经济发展的根本立场
这一思想是习近平经济思想的价值核心,回答了经济发展“为了谁、依靠谁、成果由谁共享”的根本问题。其理论内涵体现在三个层面:一是发展为了人民,将增进人民福祉、促进人的全面发展作为经济发展的出发点,瞄准人民群众关心的就业、教育、医疗、养老等民生领域,推动经济发展与民生改善协同推进。二是发展依靠人民,尊重人民主体地位,激发全体人民的劳动热情和创新活力,认为人民群众的实践创造是经济发展的不竭动力。
三是发展成果由人民共享,通过构建初次分配、再分配、第三次分配协调配套的制度体系,完善税收、社会保障、转移支付等再分配调节机制,缩小地区、城乡、收入差距,朝着共同富裕目标稳步迈进 。这一理论突破了西方经济学偏重资本利益的价值取向,将公平与效率有机统一,既追求经济增长,更注重发展的普惠性,彰显了社会主义经济制度的优越性。
2.3 进入新发展阶段:经济发展的历史方位
这一理论精准定位了新时代中国经济所处的发展阶段,是制定经济政策的重要前提。新发展阶段是全面建设社会主义现代化国家、向第二个百年奋斗目标进军的阶段,其理论内涵包含阶段性特征与历史必然性两方面。从阶段性特征来看,我国已告别短缺经济时代,经济发展从追求规模速度转向注重质量效益,人民需求从“有没有”转向“好不好”。
同时,我国仍处于社会主义初级阶段,发展不平衡不充分问题依然突出,这一矛盾是新发展阶段经济工作的主攻方向。从历史必然性来看,新发展阶段是我国发展积累的雄厚物质基础、完备产业体系、超大规模市场等优势的自然延续,也是应对全球格局变化、突破发展瓶颈的必然选择 。这一理论既避免了超越阶段的冒进式发展,也防止了落后于时代的保守思维,为制定“十四五”“十五五”等中长期规划提供了重要的理论依据。
2.4 坚持新发展理念:经济发展的指导原则
创新、协调、绿色、开放、共享的新发展理念,是引领我国经济高质量发展的指挥棒,具有严密的理论逻辑和内在统一性。创新是第一动力,针对我国经济发展中创新能力不足、关键核心技术受制于人等问题,强调将创新摆在现代化建设全局的核心地位,推动科技创新、制度创新等全方位创新。协调是内生特点,聚焦区域、城乡、产业等发展不平衡问题,通过实施区域协调发展战略、乡村振兴战略等,实现发展的整体性。
绿色是普遍形态,基于生态环境与经济发展的辩证关系,提出绿色发展理念,强调新质生产力本身就是绿色生产力,推动经济发展与生态保护协同共进。开放是必由之路,顺应经济全球化趋势,主张通过全面扩大开放,融入全球经济体系,既引进来也走出去,提升我国在全球产业链中的地位 。共享是根本目的,与以人民为中心的发展思想相呼应,确保发展成果惠及全体人民,这五大理念相互支撑、相互促进,共同构成了新时代经济发展的理念体系。
2.5 构建新发展格局:经济发展的路径选择
这一理论针对全球产业链供应链重构、我国内需潜力释放不足等现实问题,提出了国内国际双循环相互促进的发展路径,具有深刻的理论内涵。国内大循环为主体,并非封闭循环,而是强调依托超大规模市场优势,打通生产、分配、流通、消费各环节,提升国内供给对内需的适配性,使国内市场和国际市场更好联通。其理论逻辑在于,大国经济的特征是内需主导,通过培育完整内需体系,能够增强经济发展的自主性和韧性,抵御外部市场波动带来的冲击。
国内国际双循环相互促进,强调用好国内国际两个市场、两种资源,既通过国内循环积累发展优势,为国际循环提供支撑,又通过国际循环引进先进技术、拓展市场空间,倒逼国内产业升级。这一理论突破了传统外向型经济或内向型经济的单一模式,实现了对经济循环理论的创新,为我国在复杂国际环境下保持经济稳定发展提供了路径指引。
2.6 推动高质量发展:经济发展的鲜明主题
高质量发展是全面建设社会主义现代化国家的首要任务,这一理论深刻回答了新时代经济发展的核心目标和实现方式。其理论内涵体现在“质”与“量”的辩证统一,强调既要实现质的有效提升,也要保证量的合理增长,推动经济发展从“有没有”向“好不好”的转变。从质量变革来看,要求提升产品和服务质量、产业质量、经济发展质量,通过标准建设、质量监管等手段,形成优质优价的市场环境 。
效率变革聚焦提高全要素生产率,通过优化生产要素配置、深化改革破除体制机制障碍,降低制度性交易成本。动力变革则以创新驱动替代传统要素驱动,推动产业结构向高端化、智能化、绿色化转型 。这一理论超越了西方传统增长理论偏重GDP总量的局限,构建了包含质量、效率、动力等多维度的发展评价体系,为经济可持续发展提供了理论支撑。
2.7 坚持和完善社会主义基本经济制度:经济发展的制度基础
这一理论明确了我国经济发展的制度根基,核心在于坚持“两个毫不动摇”,即毫不动摇巩固和发展公有制经济,毫不动摇鼓励、支持、引导非公有制经济发展。从理论层面看,公有制经济是社会主义制度的重要基础,在关系国家安全和国民经济命脉的重要行业和关键领域发挥主导作用,是促进共同富裕的重要力量。非公有制经济则是社会主义市场经济的重要组成部分,能够激发市场活力、促进就业创业、推动技术创新,二者并非相互对立,而是优势互补、共同发展。
同时,这一理论还涵盖按劳分配为主体、多种分配方式并存,以及社会主义市场经济体制等内容,形成了三位一体的基本经济制度框架 。这一制度设计既坚持了社会主义的本质要求,又适应了生产力发展的多层次需求,突破了西方单一所有制、单一分配方式的制度模式,为经济稳定发展提供了坚实的制度保障。
2.8 坚持问题导向部署实施国家重大发展战略:经济发展的战略举措
这一理论强调以解决经济发展中的突出问题为导向,通过实施重大战略破解发展瓶颈,具有鲜明的问题意识和实践导向。国家重大发展战略并非零散布局,而是围绕全局性、长远性问题形成的战略体系。例如,区域协调发展战略针对区域发展差距较大问题,通过京津冀协同发展、长三角一体化发展等,推动资源优化配置;乡村振兴战略聚焦城乡二元结构问题,促进城乡要素双向流动,实现城乡融合发展。
科技创新驱动发展战略则瞄准核心技术“卡脖子”问题,提升我国自主创新能力。从理论逻辑来看,重大战略是集中力量办大事的社会主义制度优势的体现,通过战略引领能够整合各方资源,突破市场自发调节难以解决的重大难题,为经济发展开辟新空间、培育新动能。
2.9 坚持创新驱动发展:经济发展的第一动力
这一理论将创新提升到经济发展核心动力的高度,构建了涵盖科技创新、制度创新、管理创新等全方位的创新理论体系。在科技创新方面,强调基础研究和原始创新,认为只有实现高水平科技自立自强,才能摆脱对国外技术的依赖,为经济发展提供持久动力。同时,推动科技创新与产业深度融合,加速科技成果转化,形成从基础研究到产业化应用的完整创新链条。
在制度创新层面,通过深化科技体制改革,完善科技评价体系、知识产权保护制度等,激发科研人员的创新积极性。管理创新则聚焦企业、政府等各类主体的管理模式优化,提高资源配置效率。这一理论突破了传统经济增长依赖资本、劳动力等要素投入的模式,揭示了创新在现代经济发展中的核心作用,为我国实现高质量发展提供了动力支撑。
2.10 大力发展制造业和实体经济:经济发展的主要着力点
这一理论立足实体经济是国民经济的根基这一基本判断,强调制造业和实体经济在经济发展中的核心地位。实体经济包括制造业、农业、服务业等领域,其中制造业是实体经济的核心,是技术创新的主战场。从理论逻辑来看,实体经济是财富创造的根本源泉,脱离实体经济的虚拟经济过度膨胀,容易引发金融风险,这一认识源于对全球多次金融危机教训的总结,也符合马克思主义关于物质生产是社会存在和发展基础的理论。
该理论强调推动制造业高端化、智能化、绿色化转型,防止脱实向虚,同时推动数字经济与实体经济深度融合,提升实体经济的数字化水平。通过完善支持实体经济发展的政策体系,降低实体经济融资成本、优化营商环境,增强实体经济的竞争力,这一理论为我国筑牢经济发展根基、防范系统性风险提供了重要指引。
2.11 坚定不移全面扩大开放:经济发展的重要法宝
这一理论基于经济全球化是不可逆转的时代潮流,构建了更高水平的开放型经济理论体系。其理论内涵体现为开放的全面性、层次性和互利性。全面性体现在开放领域从商品贸易拓展到服务贸易、投资、金融等多个领域,形成全方位开放格局 。层次性体现为从试点开放到全面开放,从沿海开放到内陆沿边开放,逐步推进开放的深度和广度。
互利性则是区别于西方殖民式开放的核心特征,强调通过共建“一带一路”、设立自由贸易试验区等,与其他国家共享发展机遇,实现互利共赢。这一理论认为,全面扩大开放不仅能够引进优质资源,更能倒逼国内改革,推动制度型开放,即通过对接国际高标准经贸规则,完善国内制度体系,提升我国经济治理能力,同时也为全球经济复苏注入动力。
2.12 统筹发展和安全:经济发展的重要保障
这一理论深刻把握发展与安全的辩证关系,构建了经济领域发展与安全统筹推进的理论框架。发展是安全的基础,只有经济持续健康发展,才能为国家安全提供坚实的物质保障;安全是发展的前提,没有安全的经济环境,发展就无从谈起 。其理论内涵涵盖多个维度,包括产业链供应链安全,通过培育自主可控的产业链,防范关键环节被“卡脖子”;金融安全,通过健全金融监管体系,防范化解重大金融风险;粮食安全,落实藏粮于地、藏粮于技。
这一理论深刻把握发展与安全的辩证关系,构建了经济领域发展与安全统筹推进的理论框架。发展是安全的基础,只有经济持续健康发展,才能为国家安全提供坚实的物质保障;安全是发展的前提,没有安全的经济环境,发展就无从谈起。其理论内涵涵盖多个维度,包括产业链供应链安全,通过培育自主可控的产业链,防范关键环节被“卡脖子”;金融安全,通过健全金融监管体系,防范化解重大金融风险;粮食安全,落实藏粮于地、藏粮于技战略,保障粮食生产稳定;能源安全,构建清洁低碳、安全高效的能源体系,摆脱对外部能源的过度依赖;数据安全,建立数据资源产权、交易流通等制度,保障数字经济健康发展。
从理论逻辑来看,统筹发展和安全并非简单的平衡关系,而是相互促进、动态统一的有机整体。在发展中筑牢安全屏障,通过技术创新、产业升级增强安全保障能力;在安全中拓展发展空间,通过防范化解风险为经济发展创造稳定环境。这一理论突破了西方经济发展中重增长、轻安全的传统模式,将安全要素全面融入经济发展各领域,为我国在复杂国际环境下实现经济行稳致远提供了重要保障,也丰富了现代化经济发展的理论内涵。
2.13 坚持正确工作策略和方法:经济发展的实践保障
这一理论为做好新时代经济工作提供了科学的方法论指导,核心在于运用系统观念、问题导向、底线思维等科学方法,确保经济发展各项任务落到实处。系统观念要求统筹兼顾经济发展各领域、各环节,注重全局性、整体性、协同性,避免单兵突进、顾此失彼。例如,在推进区域协调发展时,既要考虑东部地区的引领作用,也要兼顾中西部地区的发展需求;在推动产业升级时,既要发展新兴产业,也要改造提升传统产业,实现新旧动能平稳转换。
问题导向强调聚焦经济发展中的突出矛盾和短板,精准施策、靶向发力。面对发展不平衡不充分问题,通过实施乡村振兴、区域协调发展等战略逐一破解;针对科技创新能力不足问题,加大基础研究投入、完善科技体制改革。底线思维要求增强忧患意识,防范化解各类经济风险,明确划定粮食安全、金融风险、生态环保等不可逾越的底线,做好风险预案,确保经济发展行稳致远。
此外,坚持稳中求进工作总基调也是重要的工作方法,“稳”是前提,“进”是目标,在保持经济运行稳定的基础上,积极推进改革创新和结构调整,实现稳增长与提质量的有机统一。这些工作方法相互配合、有机统一,构成了习近平经济思想的方法论体系,为将理论转化为实践提供了坚实支撑。
第三章 习近平经济思想的关键拓展理论
党的十八大以来,随着经济实践的不断深入,习近平经济思想在核心内涵基础上,形成了一系列具有原创性、时代性的拓展理论,进一步丰富了理论体系,为应对新情况、解决新问题提供了理论指引。
3.1 新质生产力理论
新质生产力是具有高科技含量、高附加值、绿色低碳特征的生产力,是习近平经济思想在生产力理论方面的重大创新,深刻重构了现代生产力发展的理论框架。其核心内涵体现为“三个革命性”:技术革命性突破,以人工智能、量子信息、生物技术等前沿技术为核心驱动力,突破传统技术路径局限;生产要素创新性配置,推动数据、技术、人才等新型生产要素与传统生产要素深度融合,优化资源配置效率;产业颠覆性变革,催生战略性新兴产业、未来产业,推动传统产业高端化、智能化、绿色化转型,形成新的产业形态。
从理论逻辑来看,新质生产力破解了传统生产力理论中“要素投入驱动”的路径依赖,确立了“创新驱动”的核心地位,强调生产力发展的核心是质的跃升而非量的扩张。其理论价值在于,为我国突破“中等收入陷阱”、实现高质量发展提供了新的理论支撑,明确了从“中国制造”向“中国创造”转型的核心路径。在实践指引层面,新质生产力理论要求强化科技创新体系化能力,加快科技成果转化应用,完善新型举国体制,打通从科技强到产业强、经济强的通道,同时注重绿色低碳转型,实现生产力发展与生态保护的协同推进。
3.2 中国式现代化经济发展道路理论
中国式现代化经济发展道路是区别于西方模式的独特发展路径,是习近平经济思想关于发展道路的核心拓展理论,具有鲜明的理论创新性和实践指导性。其理论内涵体现为“五个坚持”:坚持党的全面领导,确保经济发展始终沿着正确方向前进;坚持以人民为中心,将共同富裕作为经济发展的根本目标;坚持新发展理念,推动高质量发展;坚持统筹发展和安全,筑牢经济安全屏障;坚持对外开放,实现互利共赢。
这一理论突破了西方现代化“资本中心主义”“殖民扩张”“两极分化”的固有模式,构建了以“人民中心”“共同富裕”“和平发展”为核心特征的现代化经济发展理论。从理论对比来看,西方现代化道路依赖殖民掠夺积累原始资本,导致贫富差距悬殊、生态环境破坏等问题;而中国式现代化经济发展道路立足自身国情,通过改革创新、和平发展实现经济崛起,注重发展的普惠性和可持续性。其理论价值在于,丰富了现代化理论的内涵,为发展中国家实现现代化提供了新的理论选择,也为我国全面建设社会主义现代化国家提供了道路指引。
3.3 制度型开放理论
制度型开放是习近平经济思想在开放理论方面的重大创新,超越了传统“要素流动型开放”,形成了以规则、规制、管理、标准等制度型开放为核心的开放理论体系。其核心内涵是对接国际高标准经贸规则,将开放从“边境上”延伸到“边境后”,通过完善国内制度体系,实现与国际规则的深度融合。具体包括:在贸易领域,对接国际先进的贸易便利化规则、知识产权保护规则;在投资领域,落实国民待遇加负面清单管理制度,优化营商环境;在数字经济领域,参与制定全球数字贸易规则,推动数据跨境流动便利化。
制度型开放理论的逻辑在于,开放的深层次动力源于制度创新,通过制度型开放,既能更好吸引全球优质资源要素,又能倒逼国内深层次改革,提升经济治理体系和治理能力现代化水平。其理论价值在于,顺应了经济全球化深入发展的趋势,突破了传统开放理论的局限,为我国构建更高水平开放型经济新体制提供了理论支撑,也为全球经济治理体系改革贡献了中国智慧。
3.4 共同富裕理论
共同富裕是中国特色社会主义的本质要求,是习近平经济思想在分配领域的核心拓展理论,构建了系统完整的共同富裕实现理论。其理论内涵体现为“三个维度”:全民共富,不是少数人的富裕,而是全体人民的共同富裕;全面富裕,不仅是物质生活富裕,还包括精神生活、社会生活、生态生活等多方面的富裕;渐进共富,共同富裕不是一蹴而就的,而是分阶段、分步骤逐步实现的,兼顾效率与公平。
从理论逻辑来看,共同富裕理论突破了西方经济学“效率与公平对立”的二元思维,构建了“效率与公平相统一”的分配理论框架。其实现路径包括:在初次分配中,坚持按劳分配为主体、多种分配方式并存,提高劳动报酬在初次分配中的比重;在再分配中,强化税收、社会保障、转移支付等调节作用,缩小收入差距;在第三次分配中,引导、支持有意愿有能力的企业和社会群体积极参与公益慈善事业,形成三次分配协调配套的制度体系。这一理论丰富了社会主义分配理论,为解决发展不平衡不充分问题、实现全体人民共同富裕提供了理论指引。
3.5 城乡融合发展理论
城乡融合发展理论是习近平经济思想在城乡关系领域的重大创新,突破了传统“城乡二元结构”理论,构建了城乡一体化发展的理论框架。其核心内涵是打破城乡要素流动壁垒,推动城乡在规划、产业、公共服务、生态环保等方面一体化发展,实现城乡相互促进、共同繁荣。理论逻辑在于,城乡关系是经济发展中的重要关系,城乡二元结构是制约发展的突出矛盾,只有实现城乡融合,才能释放农村发展潜力、拓展城市发展空间,实现全体人民共同富裕。
在实践指引层面,城乡融合发展理论要求建立健全城乡要素双向流动机制,允许城市人才、资本、技术等要素向农村流动,激活农村土地、劳动力等资源;推进城乡公共服务均等化,缩小城乡教育、医疗、养老等公共服务差距;推动城乡产业融合发展,发展乡村特色产业,促进农村一二三产业融合,实现城乡产业优势互补。这一理论丰富了马克思主义城乡关系理论,为实施乡村振兴战略、破解城乡发展不平衡问题提供了重要理论支撑。
第四章 习近平经济思想的理论价值与世界意义
4.1 理论价值:马克思主义政治经济学中国化时代化的最新成果
习近平经济思想的理论价值,首先体现在实现了马克思主义政治经济学中国化时代化的最新突破,构建了具有中国特色、中国风格、中国气派的经济理论体系。从理论继承性来看,它坚守马克思主义政治经济学的基本立场、观点和方法,传承了我们党在革命、建设、改革时期形成的经济理论成果,如毛泽东同志关于社会主义经济建设的理论、邓小平同志关于社会主义市场经济的理论等,形成了一脉相承又与时俱进的理论谱系。
从理论创新性来看,它立足新时代中国经济实践,提出了新质生产力、新发展格局、制度型开放等一系列原创性理论概念,破解了传统经济理论难以解释的新时代经济问题,如如何实现高质量发展、如何统筹发展和安全、如何实现共同富裕等,丰富和发展了马克思主义政治经济学的理论范畴和分析框架。从理论系统性来看,它涵盖经济发展的根本保证、根本立场、历史方位、指导原则、路径选择等多个维度,形成了逻辑严密、内涵丰富、相互贯通的理论体系,为新时代经济工作提供了完整的理论遵循。
此外,习近平经济思想还构建了中国特色社会主义经济发展的话语体系,打破了西方经济理论的话语垄断,形成了能够解释中国经济发展奇迹、指导中国经济实践的自主话语,为增强中国特色社会主义道路自信、理论自信、制度自信、文化自信提供了重要理论支撑。
4.2 世界意义:为全球经济治理贡献中国智慧和中国方案
习近平经济思想不仅指导中国经济发展取得巨大成就,也为全球经济治理体系改革、发展中国家实现现代化提供了重要借鉴,具有深远的世界意义。在全球经济治理方面,面对经济全球化遭遇逆流、单边主义和保护主义抬头的挑战,习近平经济思想提出的互利共赢开放战略、人类命运共同体理念,为完善全球经济治理体系提供了新的理论指引。
其倡导的“共商共建共享”全球治理观,打破了西方主导的“中心-外围”治理格局,主张各国平等参与全球经济治理,共同应对全球性经济问题,如气候变化、粮食安全、金融风险等,为全球经济治理体系改革注入了新动力。在发展中国家现代化道路方面,习近平经济思想总结的中国现代化经济发展经验,为发展中国家提供了新的理论选择。不同于西方现代化模式的资本中心、殖民扩张、两极分化,中国通过坚持党的领导、以人民为中心、统筹发展和安全、和平发展等路径,实现了经济快速发展和社会长期稳定,为发展中国家摆脱贫困、实现现代化提供了可借鉴的理论和实践经验。
此外,习近平经济思想提出的绿色发展、数字经济等理论,为全球可持续发展提供了新的解决方案。在绿色发展方面,倡导绿色低碳转型,推动构建人与自然生命共同体,为应对全球气候变化提供了理论支撑;在数字经济方面,推动数字技术与实体经济深度融合,为全球经济复苏和转型升级注入了新动能。
第五章 习近平经济思想对经济管理工作的指导价值
5.1 对政府经济管理的指导价值
习近平经济思想为政府经济管理提供了根本遵循,明确了政府经济工作的目标、方向和方法。在宏观调控方面,指导政府坚持稳中求进工作总基调,统筹总供给和总需求,运用财政政策、货币政策等宏观调控工具,实现经济运行在合理区间,同时注重预期管理,增强宏观调控的科学性和精准性。在市场监管方面,要求政府坚持有效市场和有为政府相结合,既要破除市场壁垒、激发市场活力,又要加强反垄断和反不正当竞争监管,维护公平竞争的市场环境,保障消费者合法权益。
在公共服务方面,引导政府践行以人民为中心的发展思想,加大教育、医疗、养老、就业等民生领域投入,推进基本公共服务均等化,实现经济发展与民生改善的协同推进。在风险防控方面,指导政府树立底线思维,健全风险监测预警、应急处置机制,防范化解金融、粮食、能源等领域重大风险,保障经济安全。此外,还要求政府推进治理能力现代化,深化“放管服”改革,优化营商环境,提升行政效能,将制度优势转化为经济治理效能。
5.2 对企业经营管理的指导价值
习近平经济思想为企业制定发展战略、开展经营管理提供了重要理论指引,帮助企业在复杂环境中实现可持续发展。在战略定位方面,引导企业立足新发展阶段,把握新发展理念,主动融入新发展格局,找准自身在产业链、供应链中的定位,积极参与国内国际双循环。例如,制造业企业可聚焦高端化、智能化、绿色化转型,培育新质生产力;服务业企业可聚焦高品质服务供给,满足人民群众日益增长的美好生活需求。
在创新发展方面,激励企业加大研发投入,强化核心技术攻关,提升自主创新能力,摆脱对国外技术的依赖,构建自主可控的技术体系。在绿色发展方面,推动企业践行绿色发展理念,加强节能减排、循环利用,发展绿色产品和服务,实现经济效益与生态效益的统一。在社会责任方面,引导企业坚持以人民为中心,保障员工合法权益,积极参与公益慈善事业,推动共同富裕,树立良好的企业形象。此外,还指导企业增强风险意识,建立健全风险防控体系,防范化解市场风险、技术风险、供应链风险等,确保企业稳健发展。
5.3 对经济管理从业者的能力要求
习近平经济思想对经济管理从业者提出了更高的能力要求,为提升职业素养、做好本职工作提供了方向指引。一是理论素养能力,要求经济管理从业者深入学习习近平经济思想的核心内涵和精神实质,把握经济发展的客观规律,提高运用理论指导实践的能力,避免盲目决策。二是战略思维能力,要求从业者树立全局观念、长远眼光,善于从国家战略、区域发展、产业趋势等宏观视角分析问题,制定科学合理的工作方案。
三是创新能力,要求从业者勇于突破传统思维定式,积极探索新思路、新方法,适应经济发展的新变化、新要求,在改革创新、技术研发、管理优化等方面主动作为。四是风险防控能力,要求从业者增强忧患意识,提高对各类经济风险的识别、评估和处置能力,做好风险预案,确保工作平稳推进。五是服务意识,要求从业者践行以人民为中心的发展思想,树立服务理念,无论是政府经济管理干部还是企业管理人员,都要以服务人民、服务企业、服务社会为己任,提升工作的针对性和实效性。
第六章 备考核心考点梳理与理论记忆框架
6.1 核心考点清单
1. 习近平经济思想的形成基础(实践基础、理论渊源、文化根基)
2. 习近平经济思想的核心内涵(13个方面的具体内容)
3. 新发展理念的内涵及相互关系
4. 新发展格局的核心要义与实现路径
5. 高质量发展的内涵、首要任务及实践要求
6. 加强党对经济工作全面领导的重要意义
7. 以人民为中心的发展思想的内涵与实践要求
8. 新质生产力的核心特征与发展路径
9. 社会主义基本经济制度的内涵(“两个毫不动摇”)
10. 统筹发展和安全的辩证关系及实践要求
11. 共同富裕的内涵、目标及实现路径
12. 制度型开放的核心内涵与推进举措
13. 城乡融合发展的理论内涵与实践路径
14. 中国式现代化经济发展道路的特征
15. 创新驱动发展战略的核心要求
16. 制造业和实体经济的重要地位及发展方向
17. 全面扩大开放的内涵与实践举措
18. 国家重大发展战略(区域协调、乡村振兴等)的核心目标
19. 正确工作策略和方法(系统观念、底线思维等)的内涵
20. 新发展阶段的历史方位与阶段性特征
21. 数据作为生产要素的理论意义与实践要求
22. 金融安全的重要性及风险防范举措
23. 粮食安全战略的核心内容
24. 能源安全的内涵与保障路径
25. 数字经济与实体经济融合发展的理论与实践
26. 绿色发展理念的内涵与实践要求
27. 初次分配、再分配、第三次分配的协调配套
28. 市场在资源配置中的决定性作用与更好发挥政府作用
29. 习近平经济思想的理论价值与世界意义
30. 习近平经济思想对经济管理工作的指导价值
6.2 理论记忆框架(思维导图逻辑)
一级框架:理论根基
- 马克思主义政治经济学继承与发展
- 中华优秀传统文化经济智慧融入
- 中国经济发展实践理论凝练
二级框架:核心内涵(13个方面)
- 根本保证:党对经济工作的全面领导
- 根本立场:以人民为中心的发展思想
- 历史方位:新发展阶段
- 指导原则:新发展理念
- 路径选择:新发展格局
- 鲜明主题:高质量发展
- 制度基础:社会主义基本经济制度
- 战略举措:国家重大发展战略
- 第一动力:创新驱动发展
- 主要着力点:制造业和实体经济
- 重要法宝:全面扩大开放
- 重要保障:统筹发展和安全
- 实践保障:正确工作策略和方法
三级框架:拓展理论
- 新质生产力理论
- 中国式现代化经济发展道路理论
- 制度型开放理论
- 共同富裕理论
- 城乡融合发展理论
四级框架:价值与应用
- 理论价值:马克思主义政治经济学中国化时代化最新成果
- 世界意义:全球经济治理中国智慧
- 实践指导:政府经济管理、企业经营管理、从业者能力要求
6.3 记忆方法指引
1. 逻辑串联法:以“理论根基-核心内涵-拓展理论-价值应用”为主线,串联所有知识点,理解各部分之间的内在逻辑关系,避免孤立记忆。
2. 关键词提炼法:每个核心考点提炼3-5个关键词,如“新发展理念”提炼“创新、协调、绿色、开放、共享”,通过关键词快速回忆完整内涵。
3. 分类记忆法:将核心考点按“理论类、实践类、战略类、制度类”分类,同类知识点集中记忆,提高记忆效率。
4. 对比记忆法:对比西方经济理论与习近平经济思想的差异,如西方现代化与中国式现代化经济发展道路,通过对比强化理解和记忆。
5. 真题导向法:结合经济管理师考试真题,明确高频考点的考查方式,针对性强化记忆,重点掌握核心考点的应用场景和表述规范。
结语
习近平经济思想作为新时代中国经济发展的科学理论体系,既立足中国国情、回应时代课题,又放眼全球、贡献中国智慧,是经济管理工作的根本遵循和行动指南。本部分通过系统梳理其理论根基、核心内涵、拓展理论、价值意义及实践指导,构建了完整的理论框架,为经济管理师从业者夯实理论基础、提升专业能力提供了全面支撑。
在学习过程中,应坚持理论联系实际,既要深刻领会其核心要义与精神实质,又要结合经济管理工作实际灵活运用,同时注重把握备考核心考点,通过科学的记忆方法巩固学习成果。随着经济实践的不断深入,习近平经济思想还将持续丰富发展,需要持续关注最新理论成果和政策导向,不断提升理论素养和实践能力,为推动高质量发展、实现中华民族伟大复兴的中国梦贡献力量。
第二部分:经济学
第一章 经济学基础理论
1.1 经济学的研究对象、范畴与研究方法
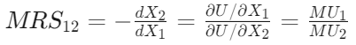
经济学作为研究稀缺资源最优配置与社会经济运行规律的社会科学,其核心矛盾在于资源有限性与需求无限性的永恒对立,其核心问题在于回答如何利用稀缺资源实现最优决策,并从个体、企业、政府三个层面展开分析。这一研究对象的确立,既反映了对资源有限性与需求无限性矛盾的根本回应,也揭示了经济系统中微观选择与宏观运行的内在关联。个体层面以效用最大化为核心。消费者在预算约束下的选择行为可通过无差异曲线与预算线的切点分析,如2025年一季度手机以旧换新政策中,消费者对6000元以下机型的日均购买量达75万部,显示价格弹性对需求的显著影响。企业层面聚焦生产要素最优组合。柯布-道格拉斯生产函数Q=AK^αL^β揭示资本(K)与劳动(L)的边际替代关系,某汽车零部件厂通过U型生产线改造,使工序间搬运距离缩短30%,验证了技术系数A对生产率的提升作用。政府层面通过政策工具实现宏观调控。AD-AS模型显示,2025年超长期特别国债发行使总需求曲线右移,推动设备工器具购置投资增长19%,印证了财政政策的乘数效应。
从个体消费者的效用最大化决策,到企业的生产要素配置,再到政府对经济周期的调控,三个层面相互作用,共同构成了经济学研究的完整分析框架。从原始部落的猎物分配到现代社会的数字资源调度,这一矛盾始终是经济决策的根本驱动力。2025年两新政策(设备更新与消费品以旧换新)实施中,政府需在财政补贴(3000亿元专项国债)与市场自主调节间寻找平衡,正是对这一矛盾的当代回应。
图1.经济学研究的三个层面构成
1.1.1 研究范畴的传统内核与现代拓展:经济学理论演进的动态脉络
经济学作为一门研究人类稀缺资源配置的社会科学,其研究范畴始终伴随着生产力的变革与社会结构的转型而呈现出鲜明的动态演进特征。这种演进并非对传统的简单抛弃,而是在继承经典理论内核的基础上,不断回应时代命题的自我革新过程。传统范畴以生产、分配、交换、消费为核心链条,构成了市场经济运行的基础框架。这一经典体系在现代经济实践中不断拓展,形成了数字经济资源配置(如平台经济中的算法定价机制)、绿色发展效率(如碳交易市场设计)等新兴研究领域。这种拓展既延续了资源配置的核心命题,又回应了技术革命与可持续发展的时代要求,体现了经济学理论对现实问题的解释力与预见性。深入剖析这一脉络,既有助于理解经济学理论的内在逻辑,更能为破解当代复杂经济问题提供历史视角与方法启迪。经济学的研究范畴呈现出动态演进特征。
值得注意的是,研究范畴的拓展始终围绕资源配置效率这一主线。例如,中央经济工作会议提出的统筹培育新动能和更新旧动能,正是在传统产业升级与新兴产业培育的动态平衡中优化资源配置的实践探索;而统筹有效市场和有为政府的关系,则从制度层面明确了市场决定性作用与政府调控功能的边界划分,为现代混合经济体制下的资源配置提供了理论指引。
1. 传统内核:生产、分配、交换、消费的经典框架
自亚当·斯密《国富论》开创古典经济学体系以来,生产—分配—交换—消费四大环节构成的分析链条,长期构成经济学研究的基础性框架。这一框架的精髓在于,它系统揭示了市场经济运行的完整闭环:生产环节解决如何创造效用的问题,涉及要素投入、技术进步与组织管理,是价值创造的起点;分配环节决定成果归谁所有,聚焦工资、利润、地租等收入份额的划分,直接关系到社会公平与激励相容;交换环节通过价格机制实现价值形态转换,市场在买卖双方博弈中形成均衡价格,完成从商品到货币的惊险一跃;消费环节则体现最终目的实现,既是生产的目的所在,又通过需求反馈引导新一轮生产调整。四者环环相扣,构成马克思主义政治经济学所言的社会再生产循环,也铸就了西方经济学一般均衡理论的微观基础。
这一经典体系的历史合理性在于,它精准捕捉了工业革命时代以物质资本和体力劳动为核心的经济特征。在机器大生产占主导地位的阶段,土地、劳动、资本三大传统要素的边际生产率成为解释经济增长的关键变量,市场边界相对清晰,价格信号传导机制较为线性。无论是李嘉图的比较优势理论,还是马克思的劳动价值论,抑或马歇尔的局部均衡分析,都在这一框架内展开逻辑推演,形成了支撑现代经济学大厦的坚实根基。即便在今日,当分析制造业产业链、农业供给侧改革等传统领域时,该框架依然展现出强大的解释力与适用性。
2. 现代拓展:技术革命与可持续发展催生的新边疆
然而,当人类进入21世纪第三个十年,数字经济崛起、全球气候变化、人口结构变迁等深刻变革,正在从根本上重塑资源配置的场域与逻辑。传统研究范畴因此发生三大方向的重要拓展:
(1)数字经济资源配置:从有形要素到无形数据
平台经济的兴起彻底颠覆了传统市场结构。以亚马逊、阿里巴巴为代表的电商巨头,通过算法定价机制实现毫秒级的动态价格调整,这种定价模式超越了成本加成或供需均衡的传统模型,纳入用户画像、行为预测、网络效应等复杂变量。更深层的变革在于,数据作为新型生产要素被纳入资源配置体系。2020年《中共中央国务院关于构建更加完善的要素市场化配置体制机制的意见》首次将数据与土地、劳动力、资本、技术并列,标志着数据要素的理论地位正式确立。数据要素具有非竞争性、边际成本递减、价值异质性等独特属性,其产权界定、定价机制、跨境流动等问题,催生了数据经济学、算法治理等全新研究领域。例如,如何在保护个人隐私与促进数据利用之间取得平衡,如何防范算法合谋与价格歧视,如何评估数据资产价值并纳入国民经济核算,这些问题都无法在传统生产函数中找到现成答案。
(2)绿色发展效率:从外部性治理到系统性重构
全球气候危机将环境经济学推至前沿阵地。碳交易市场设计成为典型的新兴课题,它通过科斯定理的创造性应用,将碳排放权变为可交易资产,用市场机制解决环境外部性问题。欧盟碳排放交易体系(EU-ETS)覆盖电力、工业等高耗能行业,年交易额超千亿欧元,其价格发现功能直接引导企业投资决策。中国的全国碳市场于2021年启动,覆盖40亿吨年排放量,成为全球最大碳市场。这一领域研究不仅涉及配额分配、价格稳定机制、碳金融衍生品等技术问题,更延伸至绿色GDP核算、ESG投资标准、转型金融风险管理等系统性工程。首席经济学家们开始将气候风险纳入宏观预测模型,企业管理层则需计算碳足迹对资产负债表的影响。绿色发展已不再是生产的附属约束,而是重构产业竞争力、塑造比较优势的核心变量。
(3)研究方法的交叉融合:从理性假设到行为洞察
传统经济学建基于理性经济人假设,但行为经济学通过引入心理学实验,揭示出系统性认知偏差对决策的影响。理查德·塞勒的助推理论被广泛应用于养老金设计、公共卫生政策,有效提升了资源配置效率。与此同时,复杂经济学运用计算模拟方法研究经济系统的非线性演化,为理解金融危机、产业突变提供了新工具。这些拓展并非否定理性假设,而是在承认其局限性的基础上,将研究边界拓展至信息不对称、有限理性、社会偏好等更真实的决策场景。
3. 核心主线:资源配置效率的贯穿性与时代性
纵观上述拓展,始终贯穿着资源配置效率这一理论主线。无论是数据要素的市场化配置,还是碳排放权的制度设计,终极目标都是在新的约束条件下寻求帕累托改进。这一主线具有双重意蕴:其一,延续性,即坚守经济学将稀缺资源用于满足最大化需求的根本使命;其二,发展性,即根据技术条件、制度环境、价值观念的变化,动态调整效率评价标准。
中央经济工作会议提出的统筹培育新动能和更新旧动能,深刻体现了这一主线的实践要求。新动能如人工智能、生物医药、高端装备,代表前沿生产力方向,但其发展需要大量研发投入与试错成本;旧动能如钢铁、化工、纺织,虽面临过剩压力,却承载着就业稳定与产业链安全功能。简单淘汰旧动能可能导致社会震荡,盲目投资新动能则可能引发资源错配。最优路径在于建立两者间的资源流转通道:通过工业互联网改造传统工厂,将老旧产能升级为智能制造的承载单元;通过产业转移政策,引导劳动密集型产业向要素成本更低地区流动;通过职工再培训计划,实现人力资本从旧部门向新部门平滑转移。这一过程的本质,是在动态转型中降低资源配置的摩擦成本,避免创造性破坏演变为破坏性创造。
统筹有效市场和有为政府的关系则从制度层面划定资源配置的边界。市场决定性作用体现在价格信号引导、竞争机制激励、供需动态平衡三个方面,是资源配置效率的根本保障。但市场存在自然垄断、公共品供给不足、收入差距扩大等失灵领域。有为政府的有为不在于替代市场,而在于通过产权保护、反垄断监管、公共服务供给、宏观经济调控,降低市场交易成本,扩展市场作用空间。例如,在数字经济中,政府需制定数据安全法、平台经济反垄断指南,防止资本无序扩张扭曲资源配置;在绿色发展领域,政府通过碳税、补贴、标准设定,将环境成本内部化,弥补市场自发调节的滞后性。二者的最优组合,随经济发展阶段、产业技术特征、社会价值目标而异,这正是现代混合经济体制下资源配置理论的核心议题。
4. 理论演进的意义与前瞻
经济学研究范畴的这种拓展,彰显了理论对现实问题的强大回应能力。它启示我们,任何理论的生命力在于其解释力与预见性的统一。传统范畴提供了分析问题的基础坐标,而现代拓展则注入了时代内涵。展望未来,随着量子计算、基因编辑、星际开发等新技术的突破,资源配置的时空边界将进一步扩展,经济学研究必将迎来更深层次的范式变革。但万变不离其宗,如何在新的技术可能性与人文价值约束之间寻求最优配置,将始终是经济学永恒的圣杯。
1.1.2 研究方法的实证转向与方法论创新
1. 实证分析法的理论根基与方法论特征:定量与定性有机统一的科学路径
实证分析法作为现代经济学研究的基石,其理论源流可追溯至19世纪法国哲学家奥古斯特·孔德所倡导的实证主义哲学传统,经20世纪逻辑实证主义的发展,最终在米尔顿·弗里德曼《实证经济学方法论》中得到系统化表述。该方法秉持可证伪性的科学标准,主张经济理论的有效性不取决于其假设的现实性,而取决于其预测能力能否经受经验事实的检验。在这一方法论指导下,经济学研究形成了定量分析与定性分析双轨并进的独特格局,二者并非简单的并列关系,而是相互补充、相互验证的有机整体。
定量分析作为实证方法的显性表达,构建了从理论假说到经验证据的严谨桥梁。其技术体系涵盖三个递进层次:基础统计描述、计量经济模型与因果推断革命。在统计描述层面,研究者通过构建GDP增长率、通货膨胀率、失业率等宏观经济指标,以及企业杠杆率、居民储蓄率、全要素生产率(TFP)等微观结构指标,将复杂经济现象转化为可观测、可比较的数据序列。例如,在分析供给侧结构性改革成效时,研究者不仅需要测算去产能前后钢铁行业产能利用率从72%提升至85%的直观变化,更需构建包含资本、劳动、能源投入与产出价值的生产函数,运用DEA-Malmquist指数法精确分解技术进步、技术效率、规模效率对TFP增长的贡献度,从而识别改革红利的主要来源。
计量经济模型的演进则体现了实证方法应对复杂性的自我革新。从早期OLS回归处理供需关系,到面板数据模型(Panel Data Model)控制个体异质性与时间趋势,再到工具变量法(IV)、双重差分法(DID)、断点回归设计(RDD)等准实验方法应对内生性问题,技术迭代始终服务于因果识别的纯粹性。以三去一降一补中的降成本为例,研究者需构建包含企业税费负担、融资成本、制度性交易成本等多维成本指标,运用双重差分法比较政策实施前后,处理组(受政策重点支持的企业)与对照组(未受直接影响的企业)在利润率、投资率上的差异,同时以行业竞争程度、地区市场化指数作为调节变量,量化分析政策效果的异质性。这种设计有效剥离了宏观经济周期、行业固有趋势等混杂因素,确保政策效应估计的干净性与可信度。
定性分析在实证框架中承担着赋予数据以经济意义的关键功能。案例研究作为定性核心方法,遵循解剖麻雀的深度逻辑。以曼昆《经济学原理》中经典的冰淇淋市场案例为原型,其方法论价值不在于简单描绘价格与需求量的反向关系,而在于展示如何通过市场结构分析(厂商数量、产品差异化程度)、消费者行为观察(季节偏好、收入阶层)、制度环境梳理(食品安全监管、摆摊许可制度),将抽象的供需定理落地为可感知的市场运行机制。在供给侧结构性改革研究中,对河北某钢铁企业的深度访谈与参与式观察,可揭示环保标准提升如何倒逼企业从被动 compliance转向主动 innovation:环保设备投入初期确实增加固定成本(定量显示吨钢成本上升120元),但由此获得的高强度钢材研发能力使其成功进入高端制造业供应链,产品溢价率提升15%,实现了短期成本压力向长期竞争优势的转化。这种质性洞察揭示了面板数据模型中环保投入系数显著为正背后的作用机制,弥补了纯定量分析知其然不知其所以然的局限。
实证研究的科学性更体现在研究闭环的完整性上。一个规范的实证项目应遵循理论演绎—假说提出—数据收集—模型检验—稳健性测试—机制识别—政策模拟七步流程。以去杠杆政策评估为例,研究者首先从MM定理、金融加速器理论推导出企业杠杆率下降→财务风险降低→投资效率提升的理论链条;其次提出结构性去杠杆对国有企业效果更显著的假说;继而收集2007-2023年A股上市公司年报数据,匹配国泰安(CSMAR)数据库中的财务指标与Wind数据库中的宏观经济变量;随后构建动态面板GMM模型处理滞后因变量内生性,并以地方法院破产案件受理数量作为金融生态的工具变量;进一步通过更换杠杆率度量方式(资产负债率→有息负债率)、调整样本窗口(排除金融危机时期)、控制行业时间趋势等方法进行稳健性检验;接着运用中介效应模型检验降低财务费用→缓解投资不足的作用渠道;最终通过反事实模拟测算,若将样本企业杠杆率统一降至行业30%分位数,全要素生产率平均可提升2.3个百分点,为政策优化提供量化依据。
2. 习近平经济思想对实证研究的方法论升华:理论与实践辩证统一的范式创新
习近平经济思想作为中国马克思主义政治经济学的最新成果,其理论与实践相结合的方法论原则,为实证分析注入了更具时代性与民族性的理论灵魂。这一原则并非简单强调理论指导实践或实践检验理论的单向逻辑,而是构建了实践—认识—再实践—再认识的螺旋上升认知闭环,实现了对西方实证主义价值中立假象的批判性超越。
在西方主流经济学范式中,实证分析往往追求价值无涉的纯粹性,将收入分配、社会公平等价值判断归入规范分析另册处理。然而,习近平经济思想明确指出,任何经济研究都无法脱离特定社会制度与价值目标而独立存在。供给侧结构性改革绝非简单的技术经济学范畴的要素重组,而是服务于满足人民日益增长的美好生活需要这一根本价值取向。因此,实证研究的设计必须以以人民为中心的价值立场为前提,这意味着在评估去产能政策时,研究者不仅要计算全要素生产率的提升,更要量化分析职工安置率(如分流安置人员中,通过技能培训再就业比例达68%)、社会保障衔接度、区域民生改善指数等指标,将人的发展纳入效率评估框架,实现价值理性与工具理性的统一。
问题导向是习近平经济思想赋予实证方法的另一核心特质。与西方学者常从既有理论模型出发寻找数据验证不同,中国特色社会主义政治经济学要求研究必须直面中国经济的真问题、大问题。当全球经济遭遇新平庸、传统增长动能减弱时,习近平总书记提出三期叠加(增长速度换挡期、结构调整阵痛期、前期刺激政策消化期)的诊断,为实证研究锚定了问题域。 研究者据此构建反映结构性减速的生产率分解模型,识别出2008-2015年间资源配置效率(Allocative Efficiency)对TFP增长的贡献率由正转负的关键转折,精准定位了要素市场扭曲作为改革靶向,使实证分析避免了数据驱动的盲目性,具备了理论驱动的方向感。
3. 供给侧结构性改革:实证分析的政策应用典范
供给侧结构性改革作为习近平经济思想的重大实践创新,为实证分析提供了宏大的政策实验室。三去一降一补五大任务构成相互关联、层层递进的改革系统,其每一环节都催生出丰富的实证课题。
去产能研究的核心挑战在于区分落后产能与优势产能的界限。传统研究采用工业销售利润率、产能利用率等单一指标,容易陷入一刀切误区。现代实证方法则通过构建企业异质性生产函数,运用Olley-Pakes(1996)半参数法估计企业层面的全要素生产率,将处于生产率分布底端10%且研发投入强度低于1%的企业界定为僵尸企业,作为去产能的重点对象。面板数据模型显示,2016-2020年间,对僵尸企业的精准出清使行业整体TFP提升了3.1个百分点,远高于等量随机削减产能的模拟效果(仅提升0.8个百分点)。这一结论的政策含义在于,去产能必须坚持市场化、法治化原则,依托生产率等客观标准,而非行政指令。
去库存研究在房地产领域展现出实证方法的精细度。研究者运用地理加权回归模型(GWR),发现中国商品房库存去化周期存在显著的空间异质性:三四线城市平均去化周期长达24个月,而一线城市仅为8个月。进一步因果推断显示,棚改货币化安置政策通过PSM-DID方法评估,确实显著降低了三四线城市库存(平均下降12个百分点),但也推高了房价收入比,引发新的资产泡沫风险。这一发现促使政策在2018年后迅速调整,转向因城施策的精准调控,体现了实证研究对政策动态优化的支撑作用。
去杠杆研究则直面传统计量方法难以处理的内生性问题。企业杠杆率的升降既影响经营绩效,也受绩效预期反作用,形成联立性偏误。前沿研究采用Bartik工具变量法,利用行业杠杆率的全国时间趋势与地区产业结构的交互项作为本地区杠杆率的工具变量,有效剥离了外生冲击。结果显示,国企杠杆率每下降1个百分点,其投资现金流敏感性提升0.15,表明财务约束缓解后投资效率改善,但民企样本中该效应不显著,揭示出融资歧视的存在。这为结构性去杠杆(国企去杠杆与民企稳杠杆并举)提供了坚实的经验证据。
降成本研究需要精细测算制度性交易成本的规模。实证团队通过企业问卷调查获取行政审批时间、合规性检查频次等微观数据,结合世界银行Doing Business数据库的宏观指标,构建制度性成本指数。回归分析显示,该成本指数每降低1个标准差,企业研发投入强度上升0.5个百分点,且对中小企业激励效应更强。这验证了放管服改革通过降低交易费用激发市场活力的理论假说。
补短板研究则直指创新链与产业链的脱节。通过构建创新投入—中间产出—最终绩效的链式中介模型,研究者发现,基础研究投入强度对高技术产业增加值率的提升存在三年滞后期,且该效应在知识产权保护强度高的地区更显著。这一发现为揭榜挂帅、赛马制等新型科研组织方式的推广提供了实证依据,揭示了制度补短的优先级。
4. 规范分析法的价值维度与理论建构:超越实证主义的伦理关怀
与实证分析价值无涉的表象不同,规范分析法深刻体现了经济学的政治属性——它必须回答为谁生产、如何分配等价值命题。规范分析的理论根基源于福利经济学、社会选择理论与分配正义哲学三大思想资源。
福利经济学第一定理表明,完全竞争市场实现的均衡是帕累托最优的,这构成了市场原教旨主义的规范基础。然而,该定理的成立依赖一系列严苛假设(无外部性、无信息不对称、无规模报酬递增),与现实经济相去甚远。规范分析的价值正在于,当这些假设被违背时,为政策干预提供伦理辩护。例如,在数字经济中,平台企业的网络效应与数据垄断导致市场势力畸形集中,此时效率标准本身需要被重新审视:是坚持新古典的静态配置效率,还是采纳熊彼特主义的动态创新效率?规范分析引入消费者剩余+生产者剩余的社会福利函数,同时赋予不同群体权重以体现分配关怀,最终可能支持对平台经济的审慎监管,即便这在短期内可能降低某些效率指标。
社会选择理论则处理个体偏好如何加总为社会福利判断的难题。阿罗不可能定理揭示,任何投票规则都无法同时满足非独裁性、帕累托效率、无关方案独立性等五项合理要求。这一深刻结论迫使规范分析必须直面价值冲突:在最低工资政策评估中,是优先保障低收入者的基本生存权(罗尔斯正义论),还是最大化社会总产出(功利主义)?是坚持程序正义(劳动者与雇主自由议价),还是追求结果正义(缩小收入差距)?不同的价值排序导致迥异的政策主张,这正是规范分析无法被实证分析替代的根本原因。
分配正义哲学为规范分析提供了深层理据。从古典自由主义的应得原则(按要素贡献分配),到平等主义的差别原则(惠顾最不利群体),再到社群主义的需要原则,不同正义观对应不同的政策范式。在评估房产税改革时,实证分析能计算出房价下跌幅度、地方财政收入变化,但无法回答是否应该对持有多套房者征收累进税率——这取决于对房住不炒这一价值目标的认同程度,取决于对住房是商品还是基本人权的定性判断。
5. 最低工资政策评估:实证与规范的对话与互补
最低工资政策是检验两种方法论关系的经典样本。实证分析在此领域经历了长达数十年的方法论竞争与结论修正。早期研究(如Card & Krueger, 1994)运用双重差分法,发现新泽西州提高最低工资并未导致快餐行业就业下降,反而略有上升,挑战了传统供需模型的预测。后续研究通过扩大样本期、控制空间异质性、采用合成控制法(Synthetic Control Method)等技术 refinements,发现最低工资的提升确实在低收入地区、低技能行业、小微企业中产生了显著的负面就业效应——就业率平均下降2-3个百分点,且青少年与女性劳动者受损更重。Meta-analysis显示,最低工资每提高10%,低技能群体就业率下降1.2%,但更替率(turnover rate)下降3%,表明其通过减少非理性跳槽提升了岗位匹配质量。
规范分析在此议题上呈现出多元价值光谱。自由主义经济学家援引契约自由原则,认为最低工资侵犯雇主与雇工的自愿交易权,且人为抬高劳动力价格导致边际劳动者失业,反而损害其利益。左翼学者则诉诸基本需要标准,主张最低工资应保障劳动者及其家庭获得体面生活水准,这是人的尊严权利对资本逐利逻辑的正当限制。中间道路则强调次优理论:在存在企业市场势力、劳动者议价能力不对称的现实下,适度的最低工资可纠正劳动力市场的非正常低薪,但需配套就业培训、失业救济等缓冲机制,以平衡效率与公平。
两种方法的融合体现在政策设计中。中国各地政府制定最低工资标准时,既参考实证测算的最低工资与人均GDP比率(国际劳工组织建议40-60%),最低工资与平均工资比率(通常40%左右),也规范性考量当地城镇居民基本生活费用、社会保障缴费基数、经济发展水平等价值相关因素。最终形成的一带多档标准体系(如广东省分四类地区),正是实证测度的可行性与规范判断的应然性之间的审慎平衡。
6. 拓展应用:碳达峰碳中和目标下的方法论整合
在更具时代性的双碳目标实现路径研究中,实证与规范的融合更为紧密。实证层面需构建动态随机一般均衡模型(DSGE),纳入碳排放、碳价格、绿色技术等变量,模拟不同减排路径对GDP、产业结构、就业的冲击。数据显示,若采用激进减排路径(2030年前碳达峰后每年减排8%),短期将导致能源密集型行业失业率上升1.5个百分点,但长期可催生新能源产业新增岗位3000万个。规范层面则需探讨代际正义:当代人承担转型成本以换取未来世代的气候安全,是否符合罗尔斯原初状态下理性人的选择?碳配额初始分配中,是按历史排放(污染者付费原则)还是按人口(平等主义原则)?实证提供成本收益账,规范指引公平价值秤,最终政策选择取决于两者的辩证统一。
7. 方法论演进的趋势与反思:超越二元对立的综合创新
当代经济学前沿正呈现出实证与规范从分野走向整合的趋势。行为经济学的兴起模糊了二者边界——它既实证检验人类有限理性、社会偏好、自我控制缺陷,又将助推(nudge)等价值干预嵌入政策设计。市场设计理论更是直接在价值约束下(如学校匹配中的公平优先、器官移植中的生命至上)运用博弈论算法优化资源配置,实现了规范目标与实证工具的内在统一。
然而,挑战依然存在。大数据与机器学习虽提升了预测精度,但面临黑箱模型的可解释性危机,其结论难以转化为具有价值共识的政策语言。此时,规范分析为算法设计注入价值权重(如对弱势群体的保护性倾斜)变得至关重要。同时,规范分析也需警惕陷入价值独断,必须以实证证据约束价值目标的实现可能性,避免空想乌托邦。
在事实与价值之间构建中国特色的经济学方法论。回归中国语境,习近平总书记强调的坚持问题导向、目标导向、结果导向相统一,为超越实证与规范的二元对立指明了方向。实证分析解决结果评估的科学性,规范分析确立目标设定的正当性,问题导向提供研究选题的现实性。在评估共同富裕政策时,既要实证测算基尼系数、中等收入群体比重、区域协调发展指数的变化,也要规范论证共同富裕不是平均主义的价值内涵,更要问题导向地识别出收入分配中城与乡、劳与资、地区间三大结构失衡。唯有如此,才能构建既具有国际学术前沿性、又富含中国实践原创性的经济学方法论体系,为解释和指引中华民族伟大复兴的经济实践提供坚实的认识论工具。
【核心考点梳理与方法论启示】
经济学学习的核心在于把握两大关键:实证与规范分析的逻辑分野,以及经济学基本问题的系统性认知。实证分析强调可证伪性,要求理论假设必须能够通过经验数据检验;规范分析则依赖伦理判断与社会目标,需在效率与公平的权衡中形成政策主张2。经济学基本问题则围绕生产什么、如何生产、为谁生产展开,其解答既受技术水平与资源禀赋的约束,也受制度安排与文化传统的影响。
习近平经济思想中的七大思维方法——战略思维、历史思维、辩证思维、系统思维、创新思维、法治思维、底线思维——为经济学研究提供了方法论指引7。例如,运用系统思维分析数字经济与实体经济的融合路径,或运用底线思维防范金融风险,均体现了理论工具对复杂经济现实的穿透力。这种方法论创新,不仅丰富了实证研究的分析维度,更推动了经济学理论从解释世界向改造世界的实践转向。
从马克思的历史唯物主义方法到现代计量经济学的因果推断技术,经济学研究方法始终在继承与创新中发展。但无论方法如何演进,其核心使命始终是探索资源最优配置的规律,服务于经济高质量发展与社会福祉提升的根本目标。
1.2 稀缺性与选择、机会成本等核心概念
1.2.1 资源稀缺性
资源稀缺性作为经济学的逻辑起点,不仅是一个基础性概念,更是贯穿整个经济学理论体系的元命题。这一命题的深刻性在于,它揭示了人类欲望无限性与资源有限性之间的永恒矛盾,从而将经济学锚定为在约束条件下追求最优选择的科学。从亚当·斯密《国富论》中对土地、劳动、资本三大要素的初步界定,到萨缪尔森将经济学定义为研究人和社会如何做出选择,以利用稀缺资源生产商品并分配给社会成员的权威表述,稀缺性始终构成经济分析不可绕过的前提预设。正是在这一逻辑起点上,才有了机会成本概念的确立、生产可能性边界的划定、资源配置效率的评估以及整个价格机制作为看不见的手发挥作用的理论空间。可以说,若抽离稀缺性假设,经济学关于选择、权衡、优化、均衡的核心范式将失去根本依托,退化为无本之木。
1. 传统生产要素的稀缺性:多维约束下的结构性张力
稀缺性普遍渗透于各类生产要素之中,但其表现形式与约束机制在不同要素层面呈现出显著的异质性特征,需要分层剖析。
自然资源的绝对稀缺与代际约束:矿产、土地、森林、水资源等不可再生或再生周期漫长的自然资源,其稀缺性首先表现为物理总量上的绝对刚性。全球已探明石油储量约1.7万亿桶,按当前年消耗量计算仅够维持50余年;中国耕地面积死守18亿亩红线,人均耕地仅1.2亩,不足世界平均水平的40%。这种绝对稀缺性催生了霍特林法则(Hotelling's Rule)等不可再生资源最优开采理论,要求资源价格以利率速度增长以实现跨期配置最优。更深层的约束在于代际公平维度,即当代人的过度开采可能剥夺后代人的发展权利,这促使环境经济学引入可持续红利概念,将自然资源视为代际信托资产,通过绿色GDP核算扣除资源耗减成本,力求在动态效率与代际正义间寻求平衡。实践中,中国稀土资源从过去的无序开采、低价出口,到实施总量控制、建立战略储备的制度演进,正是应对绝对稀缺的典型政策回应。
人力资源的结构性稀缺与质量维度:劳动力稀缺性不仅体现为人口数量约束,更突出表现为技能结构与产业需求间的结构性错配。中国虽拥有近9亿劳动年龄人口,但据人社部数据,2023年技能人才缺口达2000万,高端制造、数字经济领域用工荒与部分传统行业就业难并存。这种结构性稀缺揭示了人力资本理论的核心洞见:劳动力价值不再仅由数量决定,而是取决于健康、知识、技能、经验等质量维度的投资积累。贝克尔的腐败分析框架表明,教育投资回报率在知识经济时代持续攀升,大学教育溢价率已达60%以上。然而,人力资本形成周期长、投资不可逆,且面临教育—产业时滞风险,导致短期供给弹性极低。为应对此类稀缺,中国推行产教融合战略,建设高水平职教体系,正是通过制度创新提升人力资本配置效率的主动作为。此外,劳动力的时间稀缺性(每日24小时不可增加)与代际传承性(人口老龄化导致劳动参与率下降)进一步加剧了长期约束,这也是应对人口红利衰减、延迟法定退休年龄政策的经济学理据。
资本资源的动态稀缺与配置效率约束:资本稀缺性不同于自然资源,其总量受国民储蓄率与资本形成率动态决定,更具内生性。根据索洛增长模型,稳态人均资本存量取决于储蓄率与折旧率、人口增长率的相对关系。中国国民储蓄率长期维持在45%左右的高位,但由于金融体系不完善、资本市场扭曲,储蓄向有效投资转化的渠道不畅,导致资本稀缺与资本空转悖论并存。具体表现为:实体经济融资成本居高不下,中小微企业平均贷款利率超6%,而部分国企依托隐性担保以低息获取信贷;同时,金融部门杠杆率畸高,影子银行规模一度膨胀,资金在金融体系内自我循环。这种配置效率稀缺比总量稀缺更具危害性。实证研究表明,若消除资本错配,中国全要素生产率可提升15-20个百分点。为此,金融供给侧结构性改革聚焦疏通货币政策传导机制、发展多层次资本市场、打破刚性兑付,旨在通过制度性降成本缓解资本稀缺。
2. 数据要素的稀缺性:从物理稀缺到情境稀缺的范式革命
数字经济时代的降临,使数据跃升为继土地、劳动、资本、技术之后的第五大生产要素,其稀缺性呈现出与传统要素迥异的革命性特征,标志着稀缺性理论进入新纪元。
数据要素的稀缺性不再是总量不足,而是质量、时效性与场景匹配度的三维情境稀缺。首先,质量稀缺构成数据价值的核心门槛。海量原始数据若缺乏清洗、标注、结构化处理,则不过是无意义的数据垃圾。高质量数据需满足准确性(低噪声、低错误率)、完整性(低缺失值)、一致性(跨源数据可匹配)、代表性(样本覆盖无偏)等严苛标准。医疗AI诊断模型的准确率,直接取决于训练数据是否包含足量罕见病病例、影像标注是否精准;金融风控模型的有效性,依赖于用户行为数据能否真实反映信用本质。据国际数据公司(IDC)测算,全球数据中仅不足3%被有效分析利用,质量稀缺成为数据价值变现的首要瓶颈。
其次,时效性稀缺凸显数据的保鲜难题。数据价值随时间呈指数级衰减,金融高频交易数据毫秒级延迟即丧失套利价值,疫情防控中的流调数据需在24小时内完成采集、分析、决策闭环,否则疫情扩散将使数据彻底失效。这种瞬时稀缺性要求数据处理技术架构(如流计算、内存计算)与组织响应机制的根本性变革。传统要素可长期储存、跨期调配,而数据要素的过期作废特性,倒逼实时数据基础设施建设和敏捷决策文化形成。
第三,场景匹配度稀缺揭示数据价值的激活密码。同一数据集在不同场景下价值天差地别:电商用户浏览数据用于推荐算法可提升转化率20%,但若用于宏观经济预测则几乎无效。数据价值实现依赖于与具体业务问题、算法模型、领域知识的精准耦合,这种按需定制的匹配稀缺性,要求建立数据要素的场景区分定价机制。北京国际大数据交易所推出的数据可用不可见交易模式,通过隐私计算技术实现数据使用权与所有权分离,正是破解场景匹配稀缺性的制度创新。
1.2.2 中国政策实践:构建统一数据要素市场的制度探索
面对数据要素的新型稀缺性,中国正通过系统性政策设计,推动数据从资源到资产、再到资本的转化,其核心载体是《2025年数字中国建设行动方案》。
该方案的战略逻辑在于,以统一大市场破解情境稀缺。具体制度架构包含四个层面:第一,产权界定层面,探索数据资源持有权、数据加工使用权、数据产品经营权等分置的产权运行机制,破解数据归谁所有、收益如何分配的核心难题。浙江等地试点的公共数据授权运营模式,将政务数据授权国企运营,收益纳入财政预算,实现了公共价值与商业激励的平衡。
第二,市场流通层面,建设国家级数据交易所与区域数据交易中心并存的多层次市场体系。上海数据交易所引入数商概念,培育数据经纪、评估、合规认证等生态服务商,破解数据交易中的信息不对称与信任稀缺。截至2024年,全国已建数据交易平台超50家,年交易额突破200亿元,但较潜在市场规模仍有数十倍增长空间。
第三,定价机制层面,创新成本法、收益法、市场法之外的情景定价法。数据资产价值评估需综合考虑应用场景、数据质量、稀缺程度、使用期限等因素,深圳数据产权登记系统尝试引入第三方质量评估与场景匹配度评级,为差异化定价提供依据。对金融征信数据等强稀缺性数据,采用拍卖制发现价格;对科研共享数据,采取成本补偿定价,兼顾公益性与效率性。
第四,安全治理层面,通过《数据安全法》《个人信息保护法》划定红线,建立数据分类分级保护制度,破解数据流通与隐私保护的权衡稀缺。欧盟GDPR的禁止原则过度抑制创新,中国则探索安全港制度,在合规前提下鼓励数据跨境流动与融合应用,力求在安全与效率间取得动态平衡。
4.稀缺性理论的当代价值
从自然资源的物理绝对稀缺,到人力资源的结构性技能稀缺,再到数据要素的情境性稀缺,稀缺性内涵的演进深刻映射出生产力发展与生产关系变革的协同轨迹。中国通过制度创新培育统一数据要素市场的实践表明,应对新型稀缺性的关键,在于构建适配技术特征与市场规律的新型产权安排、流通机制与治理框架。这一探索不仅服务于数字中国战略,更在全球范围贡献了超越传统西方产权理论的数据治理方案,使稀缺性这一古老的经济学命题在数字时代焕发出解释现实、指引未来的强大生命力。面对资源稀缺性,任何经济主体的选择必然伴随取舍决策。个人层面,用收入购买衣服就意味着减少食物支出;国家层面,将财政资源投入国防建设可能导致教育支出缩减。这种决策逻辑集中体现为生产什么、如何生产、为谁生产的三元问题:生产什么涉及资源在不同产品间的分配,如何生产关注生产技术与要素组合选择,为谁生产则指向收入分配与消费群体定位。中央经济工作会议提出统筹好做优增量和盘活存量的关系,正是对这一决策逻辑的实践应用,例如通过专项债券置换地方政府存量隐性债务、盘活存量用地等措施优化资源配置结构。
选择的本质是机会成本的权衡。机会成本被定义为为获得某种东西而必须放弃的最大价值的选择,其构成既包括显性成本(如货币支出),也涵盖隐性成本(如时间、潜在收益等)。典型案例中,大学生退学创业的机会成本不仅包含已支付的学费,还包括毕业后可能获得的高薪工作收入;企业用闲置资金建厂时,其机会成本则是将资金存入银行可获得的利息收益1。在公共政策领域,政府投资决策同样面临机会成本考量:若将财政资金投向基础设施建设,就需要放弃用于教育、医疗等民生项目可能产生的社会收益。这种权衡需基于项目的长期社会回报率与机会成本比较,而非单纯的短期经济效益。
【核心考点提示】
1. 稀缺性与选择的关系:资源稀缺性是选择的前提,选择是稀缺性约束下的必然结果,二者构成经济学分析的基本逻辑链条。
2. 机会成本计算原则:需同时考虑显性成本与隐性成本,以被放弃的最高价值选择为计量标准,而非所有可能选项的价值总和。
从决策优化角度看,理性经济主体遵循边际原则进行选择,即通过比较边际收益与边际成本确定最优决策点。当边际收益等于边际成本时,资源配置达到帕累托最优状态:消费者决定是否多购买一瓶水,取决于额外一瓶水的解渴效用(边际收益)是否大于其价格(边际成本);企业是否增加雇佣员工,则需比较新增员工的边际产量价值与工资支出1。这种决策逻辑贯穿于个人消费、企业生产与政府调控等各个经济层面,是理解稀缺资源优化配置的关键视角。
在全球化背景下,机会成本分析进一步拓展至跨区域资源配置领域。以中国企业在一带一路沿线国家的投资选择为例,决策不仅需考虑直接投资成本与当地市场收益,还必须评估将同等资源投入国内市场或其他国家可能获得的替代收益4。这种跨国机会成本比较,要求企业建立动态评估框架,综合考量汇率波动、政策风险、产业链协同等多重因素,方能在稀缺资源的全球配置中实现价值最大化。
1.3 经济学的分支体系
经济学作为研究资源配置与社会福利的学科,其理论体系以微观经济学和宏观经济学为两大支柱,二者既存在明确的研究边界,又通过微观基础—宏观表现—政策反馈的逻辑形成动态互动。微观经济学聚焦个体经济行为,核心探索价格机制如何引导资源最优配置;宏观经济学则关注整体经济运行规律,致力于解决经济增长、物价稳定与充分就业的核心命题。这种个体—总量的双层分析框架,共同构成了现代经济学的理论基石。
1.3.1 微观经济学与宏观经济学的研究边界
微观经济学以个体经济主体为分析单元,研究消费者、生产者在市场中的决策行为及其互动结果。其核心内容包括消费者行为理论(效用最大化)、生产者行为理论(利润最大化)、市场结构(完全竞争、垄断等)及市场失灵与政府干预等领域11。例如,消费者如何在预算约束下选择商品组合,企业如何根据成本曲线确定生产规模,这些微观决策共同决定了市场的供给与需求,进而通过价格信号调节资源配置。
宏观经济学则以国民经济总量为研究对象,考察GDP核算、通货膨胀、失业率、经济周期等整体经济现象。其理论体系涵盖国民收入决定模型、菲利普斯曲线(短期通胀与失业的权衡关系)、货币理论及宏观经济政策(财政与货币政策)等。与微观层面关注资源如何配置不同,宏观经济学更关注资源是否充分利用,例如生产率提升如何推动长期经济增长,货币供应量变化如何影响物价水平等。
1.3.2 微观与宏观经济学的核心差异对比

微观经济学与宏观经济学并非割裂的两个领域,而是呈现微观基础决定宏观表现,宏观政策引导微观行为的辩证统一关系。一方面,宏观经济现象的本质是微观主体行为的聚合结果。例如,全社会消费需求的萎缩可能源于家庭部门(微观)对未来收入预期的悲观;而经济增长的核心动力——生产率提升,则依赖企业(微观)的技术创新与人力资本投资1。另一方面,宏观政策通过改变微观主体的激励机制影响其决策。例如,扩张性财政政策中的减税措施,可直接降低企业税负(微观层面),刺激企业扩大投资、雇佣更多劳动力,进而通过投资乘数效应推动GDP增长(宏观层面)。
习近平经济思想中激发市场主体活力的论述,深刻体现了微观基础与宏观调控的协同逻辑。市场主体作为微观经济活动的参与者,其活力不仅依赖于看不见的手(市场机制)的资源配置效率,也需要看得见的手(宏观政策)营造稳定的制度环境5。例如,针对中小企业的减税降费政策,既通过降低微观主体经营成本释放投资活力,又通过总需求扩张促进宏观经济稳定增长,形成微观激励—宏观反馈的良性循环。
【核心考点提示】
微观与宏观经济学的区别体现在研究对象(个体vs总量)、分析视角(价格机制vs总量平衡)的差异;二者的辩证关系则表现为:微观主体行为是宏观经济运行的基础,而宏观政策通过制度环境与激励机制反作用于微观决策。理解这一逻辑,是掌握经济学体系的关键。
1.3.4 经济学理论体系的展开逻辑
经济学的理论大厦以个体决策—市场互动—总量运行—政策调控为逻辑主线展开。后续章节将首先从微观层面深入分析消费者选择、生产者行为及市场均衡机制,揭示价格信号如何引导资源配置;继而转向宏观层面,探讨国民收入决定、通胀与失业的动态关系,以及财政政策与货币政策的调控原理;最终落脚于开放经济条件下的微观主体行为与宏观经济政策协调。这种从微观到宏观、从理论到实践的递进结构,既体现了经济学的逻辑严密性,也为理解现实经济问题提供了完整的分析框架。
从理论演进看,微观经济学的理性人假设与宏观经济学的总量均衡分析共同构成了现代经济学的方法论基础。尽管二者在研究视角上存在差异,但始终统一于实现资源最优配置与社会福利最大化的核心目标。正如看不见的手与看得见的手的协同,微观活力与宏观稳定的动态平衡,正是经济高质量发展的关键所在。
第二章 微观经济学核心理论
微观经济学以个体经济单位(消费者、厂商及单一市场)为研究对象,其核心在于揭示稀缺资源如何通过价格机制实现有效配置。理论大厦的基石是理性人假设与供需分析框架:消费者遵循效用最大化原则,在无差异曲线与预算约束的切点处形成需求曲线;生产者遵循利润最大化原则,在等产量线与等成本线的切点处构建供给曲线。市场作为看不见的手,通过价格信号引导供需力量自发交汇于均衡点,实现局部均衡下的资源配置最优。这一分析范式不仅涵盖弹性理论、消费者剩余与生产者剩余等衡量工具,更延伸至跨期选择、不确定性决策等高级主题,为理解市场运行的微观基础提供了严谨的逻辑体系。
在单市场均衡基础上,微观经济学进一步拓展至市场结构理论、要素配置与福利评价。四种市场结构(完全竞争、垄断、寡头、垄断竞争)的比较静态分析揭示了不同竞争程度下的效率差异;要素市场理论将供求逻辑应用于劳动、资本与土地,阐明功能性收入分配机制。一般均衡理论证明,在完全竞争与无外部性条件下,市场体系可达致帕累托最优状态。然而现实市场中,外部性、公共物品与信息不对称等市场失灵现象普遍存在,导致资源配置扭曲。这为政府干预提供了理论依据,促使微观政策聚焦于产权界定、税制矫正、信息披露等制度设计,在效率与公平的张力中寻求社会福利的最大化。
2.1 供求理论
2.1.1 需求与供给的基本概念
需求是指在一定时期内,消费者在各种可能价格水平下愿意并且能够购买的商品数量,其核心是需求量与价格之间的对应关系。需求定理揭示了二者的反向变动规律:在其他条件不变时,商品价格下降会引起需求量增加,反之则减少,这一关系在几何上表现为向右下方倾斜的需求曲线。例如,夏季冰淇淋价格下降通常会刺激消费者增加购买量,而价格上涨则会抑制需求。影响需求的非价格因素包括消费者收入、相关商品价格、偏好等,这些因素的变动会导致需求曲线整体移动(需求的变动),而非价格变动引起的曲线上点的移动(需求量的变动)。
供给则反映生产者在一定时期内对应不同价格愿意且能够提供的商品数量,供给定理指出价格与供给量呈正向变动关系,对应向右上方倾斜的供给曲线2。典型案例显示,当猪肉价格上涨时,养殖户会倾向于扩大养殖规模以增加供给1。供给的影响因素涵盖生产成本、技术水平、生产要素价格等,其中技术进步等非价格因素的改善会使供给曲线向右移动12。
2.1.2 需求函数与供给函数的数学表达
需求函数是需求量与影响因素之间关系的数学描述,简化形式通常表示为线性方程:Qd = a - bP,其中Qd为需求量,P为商品价格,a为价格为零时的需求量(截距项),b为价格对需求量的影响系数(斜率项),负号体现需求定理的反向关系2。例如,若某商品需求函数为Qd = 100 - 5P,则价格每上涨1单位,需求量减少5单位。
供给函数的线性形式为Qs = c + dP,Qs为供给量,c为价格为零时的供给量(可能为负,需结合实际解释),d为正斜率系数,表示价格每提高1单位,供给量增加d单位。市场需求曲线和市场供给曲线分别由个体需求与个体供给横向加总得到,反映所有市场参与者的总量关系。
2.1.3 均衡价格的形成与变动机制
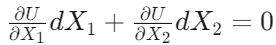
均衡价格理论是市场机制的核心逻辑与动态演化。均衡价格是微观经济学价格理论的核心范畴,指在竞争性市场环境中,商品的需求量与供给量恰好相等时所对应的价格水平,即市场达到出清状态的关键节点。这一价格水平在几何图形上表现为需求曲线与供给曲线的交点,其对应的横坐标为均衡数量,纵坐标为均衡价格。均衡状态的数学表达简洁而深刻:Qd = Qs,即需求函数与供给函数取值相等。然而,这一等式背后蕴含着市场机制自发调节的完整逻辑——它不仅是静态的数量对等,更是无数市场参与者分散决策经由价格信号协调后达成的动态一致,体现了亚当·斯密"看不见的手"在资源配置中的基础性作用。
市场出清机制是实现均衡价格的内在动力,其核心在于价格作为信号与激励的双重功能。当市场价格因外部冲击或信息滞后而偏离均衡水平时,供求力量的不对称会自发产生纠正压力。具体而言,若市场价格高于均衡水平(例如政府设定的最低保护价过度高于市场均衡),供给方受高价激励将大幅增加产量,而需求方因支付能力受限缩减购买,导致市场供给量超出需求量,形成商品过剩或库存积压。面对滞销压力,卖方之间展开激烈竞争,部分供给者被迫降价促销,这一价格下行压力持续传导,直至价格回落至均衡水平,过剩缺口逐步消除。反之,当市场价格低于均衡水平(如价格管制或短期恐慌性抛售),需求量因"价廉"而激增,供给方却因利润微薄甚至亏损而减产,造成需求量超过供给量的短缺局面。此时买方竞争激化,排队、抢购、黑市交易等现象涌现,愿意支付更高价格的消费者驱动价格向上调整,吸引供给增加,最终推动价格回归均衡。这一调节过程在完全竞争市场中尤为顺畅,因买卖双方面对既定价格且信息充分,调整仅通过数量与价格的自发互动完成;而在不完全竞争市场,价格刚性可能延缓出清速度,但供求力量对比的根本性压力仍会迫使市场通过非价格方式(如附加服务、质量调整)趋向均衡。
均衡点的稳定性是相对的,需求与供给的任何变动都会引致均衡价格与均衡数量的系统性重构。需求变动源于消费者侧的外生冲击:除收入增加对正常商品需求的正向拉动外,还包括偏好变化(如健康意识提升使有机食品需求曲线右移)、相关商品价格变动(替代品涨价导致本品需求上升)、人口结构变迁(老龄化推升医疗需求)以及预期调整(对通胀的预期刺激当期购买)。以新能源汽车市场为例,当政府提供购置补贴且消费者环保意识增强时,需求曲线整体向右平移,在新均衡点实现更高价格与更大成交量的双重增长。供给变动则来自生产者侧的技术与成本革命:技术进步通过降低边际生产成本使供给曲线显著右移,例如自动化产线将单位产品工时从10小时降至2小时;要素价格下降(如国际油价下跌降低运输成本)、税收减免(出口退税政策)、自然条件改善(风调雨顺提升农业产出)均产生类似效应。智能手机市场的演进完美诠释了供给驱动的均衡重构:过去十年间,7纳米、5纳米、3纳米芯片制程技术的突破性进展,叠加富士康等代工厂的规模经济效应,使全球智能手机供给曲线以年均15%的幅度右移。与此同时,移动互联网普及与消费升级推动需求曲线同步右移,但供给增速略超需求增速的微妙平衡,使得旗舰机型价格长期维持在5000-8000元区间,甚至出现"加量不加价"现象,消费者以恒定支出获得性能指数级提升,这正是技术红利通过市场机制转化为社会福利的生动写照。
深入剖析智能手机案例可发现更深层的产业逻辑。芯片制造的摩尔定律驱动供给曲线持续外移,但需求端并非匀速增长——发达市场趋于饱和使需求曲线斜率变缓,而新兴市场(尤其是印度、东南亚)的智能手机普及需求形成新的增长点。苹果公司通过品牌溢价维持需求曲线高位,而小米等厂商以性价比策略将供给优势转化为市场份额。此外,二手市场的成熟(如爱回收平台)延长了产品生命周期,变相增加了市场有效供给,进一步平抑了价格上行压力。这种多维动态平衡表明,均衡价格的维持是产业链垂直整合、全球市场横向拓展、存量经济循环利用的系统性结果,远非简单的曲线交点所能涵盖。
均衡价格理论的实践价值远超学术范畴。对政策制定者而言,理解供求弹性决定均衡调整速度至关重要:农产品因需求刚性,供给小幅波动即引致价格剧烈震荡,故需储备调节制度;奢侈品因需求弹性大,增税可通过降价部分转嫁,调控效果有限。对企业经营而言,预判需求曲线移动方向决定投资成败——诺基亚误判智能机需求拐点,固守功能机供给结构,终被市场淘汰;而华为、三星提前布局芯片自研,在技术封锁下仍能维持供给能力,守住市场份额。对投资者而言,识别供给冲击的持久性(是技术革命还是短期扰动)与需求变动的真实性(是消费升级还是补贴透支),是判断行业周期与估值水平的关键。
当代数字经济更为均衡理论注入新内涵。互联网平台商品(如云计算服务)的供给曲线近乎水平,边际成本趋近于零,均衡价格由需求侧规模效应与交叉补贴策略主导;而数据要素的供给具有"采集固定成本高、复制边际成本低"的特点,其均衡价格形成涉及隐私成本、算法价值、网络外部性等复杂变量,传统分析框架需引入双边市场理论、信息经济学等工具进行拓展。但万变不离其宗,Qd=Qs的均衡逻辑始终是理解价格现象、优化资源配置的认知原点。
2.1.4 弹性理论及其应用
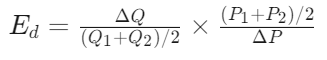
需求价格弹性(Price Elasticity of Demand)是微观经济学中衡量市场机制敏感度最核心的量化工具,它精确刻画了需求量对价格变动做出反应的强度与方向,直接决定了企业定价策略、政府税收归宿以及消费者福利分配。其理论价值不仅在于描述现象,更在于通过严谨的数学推导,将弹性的技术定义转化为可观测、可计算、可预测的经济决策参数。
1. 从需求函数到弹性公式的逻辑推导
需求价格弹性的严谨推导始于需求函数的基本设定。设某商品的需求函数为Q=f(P),其中Q表示需求量,P表示价格,且该函数通常满足dQ/dP<0的递减规律。当价格发生微小变动,从初始价格P变化至P+ΔP时,需求量相应从Q变化至Q+ΔQ。此时,需求量的相对变动率为ΔQ/Q,价格的相对变动率为ΔP/P。
弹性定义为"因变量的相对变动率与自变量的相对变动率之比",由此得到初始公式:
Ed=(ΔQ/Q)/(ΔP/P)
通过代数变形,将分母中的ΔP/P转化为乘法逆元,可得到教科书中常见的计算形式:
Ed=ΔQ/ΔP×(P/Q)
这一形式具有清晰的边际分析内涵:ΔQ/ΔP表示需求曲线的斜率(或斜率的倒数,取决于变量设定方式),而P/Q则是测量起点所处位置的"标度因子"。值得注意的是,由于需求规律确保ΔQ与ΔP符号相反,Ed恒为负值,经济学分析中通常取其绝对值∣Ed∣进行比较,以方便类型划分。
当价格变动幅度较大时,上述基于两点间变动的公式属于弧弹性(Arc Elasticity),其计算结果会随基期选择不同而产生偏差。为克服此缺陷,引入中点公式:
该公式以两点间的平均价格和平均数量作为基准,确保弹性计算的对称性与唯一性。
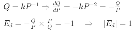
当ΔP→0时,两点间变动退化为某一点的瞬时变动率,此时得到点弹性(Point Elasticity)的精确表达式。对需求函数Q=f(P)求导并代入点弹性定义:
![]()
对于线性需求函数Q=a−bP(其中b>0),其斜率为常数dQ/dP=−b,因此任意点的弹性为:
![]()
该式揭示关键结论:即使斜率恒定,弹性仍随价格位置变化而变化。当价格较高(接近纵截距a/b)时,需求量Q较小,弹性绝对值较大;当价格较低(接近零)时,Q较大,弹性绝对值趋近于零。这解释了为何奢侈品在高价区富有弹性,而生活必需品在低价区缺乏弹性。
2. 弹性类型的数学界定与经济特征
根据∣Ed∣的取值区间,需求曲线可划分为五类典型形态,每种形态对应独特的经济含义与政策启示。
(1)完全无弹性需求(Perfectly Inelastic Demand)
当∣Ed∣=0时,需求函数退化为垂直于横轴的直线,即Q=常数。其数学表达为:
这意味着无论价格如何涨跌,需求量恒定不变。现实中近似案例包括:急救药品(如胰岛素对糖尿病患者)、生活必需的食盐(在适度价格区间)、垄断企业必需的特定原材料。政策含义是:对此类商品征税,税负完全转嫁给消费者,价格上升但消费量不变,政府可获稳定税收而不扭曲资源配置;但若滥用垄断地位漫天要价,将严重损害消费者福利,需政府价格管制。
(2)缺乏弹性需求(Inelastic Demand)
当
时,需求曲线陡峭,公式满足:
这表明价格变动1%引起的需求量变动幅度小于1%。典型商品为生活必需品:粮食、水、电、燃气等。若某商品在P=10元时Q=100单位,价格上涨至P=11元,需求量仅下降至Q=95单位,则:
对生产者而言,此时提价可增加总收益(价格效应超过数量效应),但政府为保民生需实施价格补贴或最高限价。
(3)单位弹性需求(Unit-Elastic Demand)
当
时,需求曲线为直角双曲线,函数形式为Q=k/P(k为常数)。验证如下:
此时价格变动的百分比恰好被需求量反向变动抵消,总收益TR=P×Q保持不变。这构成企业定价策略的临界参考点:当∣Ed∣>1时降价增收,当∣Ed∣<1时提价增收,最优定价往往追逐单位弹性点。
(4)富有弹性需求(Elastic Demand)
当∣Ed∣>1时,需求曲线平缓,满足:
价格微小变动引发需求量大幅波动。典型如奢侈品、品牌替代品丰富的快消品。若某品牌咖啡在P=30元时Q=100杯,涨价至P=33元,需求量暴跌至Q=70杯:
此时企业需谨慎定价,过度提价导致消费者大量流失;而适度降价可显著扩大市场份额。
(5)完全弹性需求(Perfectly Elastic Demand)
当∣Ed∣→∞时,需求曲线为水平直线,即P=常数。其数学含义是:
只要价格高于市场通行价,需求量骤降至零;在既定价格下可售出任意数量。这是完全竞争市场中单个企业面临的理想化需求曲线,其实质是"价格接受者"地位。农业品市场、外汇市场的散户交易者近似此情形。政策启示是:企业无定价权,只能依靠成本控制与规模扩张获利;政府保护价政策在此无效,因市场力量将迫使价格回归均衡。
3. 弹性理论的决策应用与政策启示
需求价格弹性的最终价值在于指导实践。企业通过弹性测算制定最优定价策略:当测得∣Ed∣=2.5时,降价5%可预期销量增长12.5%,总收益提升7.375%(ΔTR/TR≈ΔP/P+ΔQ/Q)。政府税收政策需考虑税负转嫁程度:对∣Ed∣=0.3的卷烟征税,90%税负由消费者承担;对∣Ed∣=1.8的高档化妆品征税,厂商需吸收近半税负,可能抑制产业发展。国际贸易中,出口商品弹性决定本币贬值的贸易改善效果:当马歇尔-勒纳条件∣Ed∣+∣Es∣>1满足时,贬值才能改善贸易余额。
农产品与奢侈品的弹性差异体现为:农产品作为必需品,需求价格弹性较小(如粮食Ed≈0.2),价格波动对需求量影响有限;奢侈品(如高端手表Ed≈3)则因非必需属性和替代品丰富而弹性较大。这种差异直接影响总收益:对于缺乏弹性的商品,提价可增加总收益(如农产品丰收期价格下降可能导致谷贱伤农);对于富有弹性的商品,降价能通过销量大幅增加提升总收益。
需求价格弹性的影响因素包括商品必需程度、替代品可得性、消费支出占比等。例如,胰岛素作为糖尿病患者必需品,替代品极少,其需求价格弹性趋近于零。
从公式推导到类型划分,再到决策运用,需求价格弹性理论构建起连接数学精确性与经济现实性的桥梁,使经济学从定性描述升级为定量分析,成为现代市场经济不可或缺的分析工具。
【核心考点总结】
1. 均衡价格形成条件:需求量等于供给量(Qd=Qs),市场不存在过剩或短缺。
2. 需求价格弹性影响因素:商品必需性、替代品数量、消费支出占收入比重、调整时间长短。
3. 弹性与总收益关系:缺乏弹性商品(|Ed|<1)提价增收,富有弹性商品(|Ed|>1)降价增收。
弹性理论还包括收入弹性(衡量需求对收入变动的反应,区分正常商品与劣等商品)和交叉价格弹性(衡量相关商品价格变动的影响,区分替代品与互补品),为企业定价策略和政府政策制定提供分析工具。
2.2 消费者行为理论
消费者行为理论作为微观经济学的核心组成部分,旨在通过效用理论解释需求曲线背后的消费者决策机制。该理论以效用概念为基础,形成了基数效用论和序数效用论两种经典研究范式。
2.2.1 基数效用论:边际效用驱动的选择逻辑
基数效用论假设效用可量化度量,其核心分析框架包含三个关键维度:
1. 总效用与边际效用的动态关系:总效用(TU)是消费一定量商品获得的总满足程度,边际效用(MU)则是增加一单位消费带来的效用增量。两者存在显著的非线性关系——随着消费量增加,边际效用呈现递减趋势(边际效用递减规律),当边际效用为零时,总效用达到最大值。
2. 消费者均衡的等边际原则:在预算约束下,消费者实现效用最大化的条件是使每种商品的边际效用与其价格之比相等,即MU₁/P₁=MU₂/P₂=…=λ(λ为货币的边际效用)。这一原则揭示了消费者如何通过调整商品组合实现资源最优配置。
3. 边际效用价值论的现实解释:以水与钻石悖论为例,水的总效用极高但边际效用极低(因供给充足),钻石则相反,其市场价格由边际效用而非总效用决定。这一逻辑不仅解释了需求曲线向右下方倾斜的特征,也为消费者剩余概念提供了理论基础。
【核心考点提示】
边际效用递减规律是基数效用论的基石,需重点掌握其对消费者选择、需求曲线形状及消费者剩余计算的影响。
2.2.2 序数效用论:偏好排序下的均衡分析
序数效用论的理论体系与均衡分析
序数效用论作为现代消费者行为理论的基石,其革命性贡献在于摒弃了基数效用论中效用可精确度量与加总的强假设,转而以消费者偏好排序的客观一致性为逻辑起点,构建起无需量化心理满足强度、仅需序数比较的科学分析框架。这一范式转换由希克斯与艾伦于20世纪30年代完成,将消费者选择理论从难以验证的心理测量困境中解放出来,奠定了微观经济学理性选择模型的方法论基础。
1. 偏好公理:理性选择的逻辑支架
序数效用论基于三大偏好公理推演出整个分析体系。其一,完备性公理要求消费者对任意两个商品组合A与B,总能明确判断A≻B、B≻A或A~B之一,确保选择无悬而未决之态。其二,传递性公理规定若A≻B且B≻C,则必有A≻C,排除循环偏好导致的决策悖论。其三,非饱和性公理(也称单调性)断言在商品均为经济品的前提下,多比少好,即对任何商品组合增加起码量某种商品,新组合必然严格优于原组合。这三大公理共同界定了消费者的理性内涵,虽看似简单,却足以保证偏好排序的稳定性与可预测性,为后续数学建模提供公理化基础。值得注意的是,这些公理不依赖主观效用数值,仅通过逻辑一致性即可检验,极大提升了理论的实证科学色彩。
2. 无差异曲线:偏好序的几何表征
无差异曲线是序数效用论的核心分析工具,定义为在商品空间中能给消费者带来相同满足程度(即偏好序相等)的所有商品组合的轨迹。设有两种商品X₁与X₂,其无差异曲线可隐函数形式记为U(X₁, X₂) = U₀,其中U₀为不变的效用指数,仅具排序意义而无基数内涵。
无差异曲线具备三大基本性质:第一,在同一坐标平面存在无数条互不相交的曲线,且离原点越远代表偏好序越高(由非饱和性保证);第二,曲线严格凸向原点,这源于边际替代率递减规律;第三,曲线连续可微,确保数学处理的严谨性。
边际替代率(MRS) 的数学推导揭示其本质:沿着无差异曲线移动时,总效用维持恒等,故有全微分dU = 0,即:
整理可得:
该式表明,MRS等于两种商品的边际效用之比,其几何意义即无差异曲线斜率的绝对值。当消费者拥有较多X₁而较少X₂时,他愿意以较多X₁换取少量X₂,MRS较大;反之则MRS较小。随着消费组合沿曲线向右下方移动(X₁增加、X₂减少),边际替代率递减规律显现:消费者连续增加X₁消费时,每单位X₁能替代的X₂数量逐渐减少,这由边际效用递减规律与消费者对多样性的偏好共同决定,也确保了无差异曲线的凸性。
3. 预算线:资源约束的刚性边界
预算线将偏好分析锚定于现实购买力约束。设消费者收入为I,商品X₁与X₂的价格分别为P₁与P₂,则预算方程为:
解出X₂得斜截式:
其斜率为dX₂/dX₁ = -P₁/P₂,恒为负值,绝对值等于两种商品的价格之比。这一定价权衡的经济含义是:市场要求消费者每多获得1单位X₁,必须放弃P₁/P₂单位的X₂,其交换比率完全由相对价格决定,而非主观偏好。
收入变动使预算线平行位移:收入增加时,截距I/P₂上移,整条线外推,可行消费集扩大;收入减少则内移。价格变动则改变斜率:P₁下降时,斜率绝对值减小,预算线以纵截距为轴心向外旋转,X₁的可购买量显著提升,这常是促销政策的微观基础;若两价格同比例变动,斜率不变,仅截距变化,表现为平行移动。
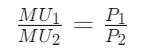
4. 消费者均衡:切点条件的数学证明与需求推导
消费者均衡指在预算约束下实现效用最大化的最优商品组合,其几何条件为预算线与无差异曲线的切点。在切点E处,两曲线斜率相等,即:
结合MRS的边际效用表达式,可得:
或等价于:
这一等式具有深刻的经济学直觉:最优配置要求花费在每种商品上的最后一元钱所带来的边际效用相等,否则消费者可通过调整支出结构提升总效用。
正式的数学证明采用拉格朗日乘数法。构建拉格朗日函数:
一阶条件为:
联立前两个方程消去λ,立即得到MU₁/MU₂ = P₁/P₂,与前述几何条件完全一致,验证了切点解的最优性。
从均衡点到需求曲线的推导是序数效用论的最终归宿。保持收入I与价格P₂不变,仅让P₁连续变化,预算线随之旋转,产生一系列新的切点均衡。将这些均衡点上的P₁与对应的X₁(最优需求量)映射到价格-数量坐标系中,即形成消费者需求曲线X₁ = f(P₁)。由于价格上升通常导致需求量下降,需求曲线向右下方倾斜,其斜率由替代效应与收入效应的相对强度决定。当替代效应占优时,曲线较为平缓,需求富有弹性;当收入效应显著时,曲线陡峭,需求缺乏弹性。这一推导过程无需基数效用假设,仅凭偏好序的稳定性即可建立,彰显了序数效用论的理论优雅性。
序数效用论通过无差异曲线、预算线与均衡分析的三位一体,构建起无需不可测量的心理变量、仅凭可观察的选择行为即可对消费者决策进行科学预测的理论体系。其凸性偏好、边际替代率递减、效用最大化等核心结论,不仅适用于个体选择,更拓展至生产者理论、一般均衡与福利经济学,成为现代微观经济学的支柱性范式。
2.2.3 预算约束变动与需求曲线的推导
预算约束的变动直接影响消费者均衡位置,具体表现为:
1. 收入效应:收入增加使预算线外移,均衡点沿收入-消费曲线移动,进而形成恩格尔曲线。
2. 价格效应:单一商品价格下降使预算线旋转,均衡点沿价格-消费曲线移动。通过分析不同价格水平下的均衡需求量,可直接导出向右下方倾斜的消费者需求曲线。
两种效用理论虽方法论不同,但最终得出一致结论:消费者均衡的本质是在约束条件下实现偏好与资源的最优匹配。这一分析框架不仅为微观市场运行机制提供了逻辑起点,也为政策评估(如价格补贴、税收政策)提供了量化分析工具。
2.3 生产者行为理论
生产者行为理论是微观经济学分析企业供给行为的核心框架,涵盖生产技术选择、成本结构优化及利润决策逻辑三大维度。作为UGC NET经济学大纲的重要内容,其理论体系通过生产函数、成本曲线和利润最大化原则的层层递进,揭示了供给曲线背后的企业决策机制。
2.3.1 生产函数:短期与长期的要素配置逻辑
生产函数作为描述投入与产出关系的基础工具,需首先区分短期(一种要素可变)与长期(所有要素可变)两种分析场景。在短期生产函数中,总产量(TP)、平均产量(AP=TP/L)与边际产量(MP=ΔTP/ΔL)的动态关系受边际收益递减规律支配——随着可变要素(如劳动)的持续投入,边际产量最终会呈现下降趋势。这一规律直接决定了生产三阶段的划分:第一阶段(MP>AP)为规模收益递增阶段,第二阶段(MP<AP且MP>0)为合理投入区间,第三阶段(MP<0)为生产要素过度投入区间,理性生产者会选择在第二阶段进行生产决策。
长期生产函数则关注多种要素的最优组合问题。通过等产量线(表示技术上有效率的要素组合轨迹)与等成本线(反映预算约束下的要素购买能力)的分析框架,生产者均衡条件可表述为两种要素的边际技术替代率等于其价格之比(MRTSLK=PL/PK),即等产量线与等成本线的切点位置。此外,长期生产还涉及规模报酬分析,企业需根据技术特性和市场需求确定适度规模,以实现规模经济(长期平均成本随产量增加而下降)或避免规模不经济。
2.3.2 成本理论:短期曲线与长期曲线的动态关联
成本理论需区分会计成本与经济成本、显性成本与隐性成本等核心概念,并重点分析短期与长期成本结构的差异。短期成本曲线包含总固定成本(TFC)、总可变成本(TVC)、总成本(TC=TFC+TVC)及其派生的平均固定成本(AFC=TFC/Q)、平均可变成本(AVC=TVC/Q)、平均总成本(AC=TC/Q)和边际成本(MC=ΔTC/ΔQ)。其中,边际成本曲线(MC)与平均成本曲线(AC)相交于AC的最低点,这一交点被称为收支相抵点,此时边际成本等于平均成本,标志着短期生产效率的最优状态。
长期成本曲线(LAC)则由所有短期平均成本曲线(SAC)的包络线构成,其形状呈现U型特征:左侧下降阶段对应规模经济(如专业化分工、技术进步带来的成本节约),右侧上升阶段反映规模不经济(如管理协调成本激增)。长期边际成本曲线(LMC)同样呈U型,并与LAC相交于其最低点,这一特征为企业长期生产规模决策提供了理论依据。
2.3.3 利润最大化原则:MR=MC的普适性与市场差异
边际收益等于边际成本(MR=MC) 是企业决策的核心准则,适用于各类市场结构下的生产者行为。其逻辑本质在于:当MR>MC时,增加一单位产量带来的收益增量大于成本增量,企业应扩大生产;当MR<MC时,减少产量可降低亏损;唯有MR=MC时,企业实现利润最大化或亏损最小化。
在完全竞争市场中,企业作为价格接受者,其边际收益(MR)等于产品价格(P),故均衡条件可扩展为P=MC=AC,长期均衡时经济利润为零1。而在不完全竞争市场(如垄断)中,企业面临向右下方倾斜的需求曲线,边际收益(MR)小于价格(P),均衡时P>MC,从而能够通过限制产量抬高价格获取超额利润。例如,企业决定是否多雇佣一名员工时,需比较该员工带来的边际产量价值(MRP=MP×MR)与边际成本(工资率W),当MRP>W时增加雇佣才符合利润最大化原则。
【核心考点总结】
1. 边际收益递减规律:短期可变要素投入的边际产量先增后减的现象,决定生产三阶段划分
2. 生产者均衡条件:短期为MP=W/P(要素边际产量等于要素价格),长期为MRTSLK=PL/PK(等产量线与等成本线切点)
3. 利润最大化原则:MR=MC的均衡条件在不同市场结构下的表现形式差异(完全竞争P=MC vs 垄断P>MC)
生产者行为理论通过将生产技术、成本结构与市场环境纳入统一分析框架,为理解企业供给决策提供了系统性工具。中央经济工作会议提出的统筹培育新动能与更新旧动能,正是这一理论在实践中的应用——企业需通过技术升级(生产函数改进)和成本控制(成本曲线下移)实现利润最大化,进而推动产业结构优化。
2.4 市场结构理论
市场结构理论是微观经济学分析厂商行为的核心框架,通过市场中厂商数量、产品差异度、进入壁垒等维度,可将市场划分为完全竞争、完全垄断、垄断竞争和寡头垄断四种基本类型。不同市场结构下,厂商的定价策略、均衡条件及经济效率存在显著差异,其分析逻辑需遵循特征描述→短期均衡→长期均衡的递进路径。
2.4.1 完全竞争市场
核心特征表现为无数厂商、产品同质、自由进出,典型如农产品市场。在此结构中,单个厂商是价格接受者,面临水平的需求曲线(P=AR=MR)。短期均衡条件为边际收益等于边际成本(MR=MC),此时厂商可能因市场价格与平均成本的相对关系实现超额利润、正常利润或亏损。长期均衡则因自由进出机制形成零利润均衡,最终满足P=MC=AC,社会资源配置达到帕累托最优状态。
2.4.2 完全垄断市场
与完全竞争形成极端对比,特征体现为唯一厂商、产品无替代品、进入壁垒极高,例如公用事业领域。垄断厂商作为价格制定者,需求曲线向右下方倾斜(MR<P),并可通过一级、二级或三级价格歧视策略攫取消费者剩余 。短期均衡同样遵循MR=MC原则,但长期均衡时因壁垒存在维持正利润,均衡条件为P>MC>MR,导致社会福利净损失。
2.4.3 垄断竞争市场
该结构兼具竞争与垄断属性,特征包括厂商数量较多、产品有差异化、进出壁垒较低,典型市场如服装行业。产品差异化使厂商需求曲线向右下方倾斜但弹性较大,短期均衡时通过MR=MC定价可能获得超额利润;长期均衡因新厂商进入挤压需求曲线,最终实现P=AC(零利润)但P>MC,效率低于完全竞争但高于垄断。
2.4.4 寡头垄断市场
特征为少数厂商控制市场、产品同质或差异化,如汽车制造业。其均衡分析需引入博弈论工具,典型模型包括:
1. 古诺模型:双寡头通过产量竞争达成纳什均衡,总产量低于完全竞争但高于垄断水平;
2. 伯特兰模型:若产品同质,价格竞争将导致均衡价格等于边际成本,结果趋近完全竞争;若产品差异化,则均衡价格高于边际成本。
此外,寡头厂商存在合作与非合作均衡的分化:合作时通过卡特尔协议维持垄断价格,非合作时则陷入囚徒困境式竞争。
【市场效率比较与核心考点】
四类市场的经济效率从高到低依次为:完全竞争>垄断竞争>寡头垄断>完全垄断。这种差异源于市场势力对资源配置的扭曲程度,其中完全竞争市场因P=MC实现社会福利最大化,而垄断市场因P>MC造成效率损失最严重。
【核心考点总结】
1. 特征识别:通过厂商数量、产品差异度、进出壁垒判断市场类型(如无数同质厂商对应完全竞争,唯一厂商+高壁垒对应垄断);
2. 均衡条件:完全竞争长期均衡P=MC=AC vs 垄断长期均衡P>MC,垄断竞争长期均衡P=AC但P>MC;
3. 寡头模型:古诺模型(产量竞争)与伯特兰模型(价格竞争)的结论差异。
市场结构与企业创新的互动关系是理论应用的重要延伸,例如垄断厂商的超额利润可能转化为研发投入,而竞争压力也可能激发技术创新动力,具体案例需结合产业实践进一步分析。
表2 市场类型比较
市场类型 | 厂商数量 | 产品特征 | 进入壁垒 | 长期均衡条件 | 经济效率 |
完全竞争 | 无数 | 同质 | 无 | P=MC=AC | 最优 |
垄断竞争 | 较多 | 差异化 | 较低 | P=AC(P>MC) | 较高 |
寡头垄断 | 少数 | 同质/差异 | 较高 | 依赖博弈均衡 | 中等 |
完全垄断 | 唯一 | 无替代品 | 极高 | P>MC(MR=MC) | 最低 |
2.5 要素市场理论
要素市场理论是微观经济学分析生产要素配置效率与收入分配机制的核心框架,其研究对象涵盖劳动、资本、土地等传统要素及数据等新型要素的价格决定机制。该理论通过供需均衡分析揭示要素价格形成逻辑,并为收入分配公平性评估提供量化工具,在 UGC NET 经济学大纲等学术体系中具有重要地位。
2.5.1 要素需求:厂商决策的派生性质
厂商对生产要素的需求具有派生需求特性,即要素需求由最终产品需求间接派生而来。其决策遵循边际收益产品等于要素价格的原则(MRP = W),其中边际收益产品(MRP)反映要素投入带来的收益增量,在完全竞争市场中可表示为边际产品价值(VMP = P × MP)。不同市场结构下要素需求曲线形态存在差异:完全竞争厂商的要素需求曲线与 VMP 曲线重合,而垄断厂商因边际收益递减更快,需求曲线更为陡峭。数字经济时代,数据要素的需求曲线呈现新特征,如《2025 年数字中国建设行动方案》所强调的,需通过市场化配置改革实现数据供需动态匹配。
2.5.2 要素供给:消费者的效用最大化决策
消费者的要素供给行为本质是资源配置的跨期选择,以劳动供给为例,个体需在劳动(收入来源)与闲暇(效用来源)间进行权衡。其供给曲线呈现独特的后弯形态:当工资率低于某临界点时,替代效应主导供给量随工资增长而增加;超过临界点后,收入效应使劳动者倾向于减少劳动供给以增加闲暇消费。这一决策逻辑可扩展至资本供给(储蓄与消费的跨期选择)和土地供给(自用与出租的用途分配),共同构成要素市场的供给侧基础。
2.5.3 收入分配:从洛伦茨曲线到政策调节
收入分配理论通过洛伦茨曲线和基尼系数量化不平等程度。洛伦茨曲线以人口累计百分比为横轴、收入累计百分比为纵轴,其弯曲程度直接反映分配差距——曲线越偏离 45 度对角线,分配越不平等。基尼系数则是曲线与对角线围成面积(A)与对角线下方总面积(A + B)的比值,取值范围严格限定在 0(绝对平等)至 1(绝对不平等)之间。
基尼系数政策含义
0.2 以下:高度平等
0.2 - 0.3:相对平等
0.3 - 0.4:合理区间
0.4 以上:差距显著(国际警戒线)
税收政策可通过累进税制缩小基尼系数,如对高收入群体征收 45% 边际税率能使系数降低约 0.08 - 0.12。
图2.基尼系数的政策含义
中国在收入分配调节中践行习近平经济思想的共同富裕目标,构建初次分配注重效率、再分配强化公平、三次分配引导慈善的制度体系8。初次分配通过要素价格市场化改革保障贡献与回报匹配;再分配依托税收(如个人所得税专项附加扣除)、社保(基本养老保险全国统筹)等工具调节;三次分配则通过《慈善法》修订、税收优惠等政策引导高收入群体和企业投身公益事业,形成橄榄型社会结构的政策合力。
【核心考点与现实关联】
该领域核心考点聚焦两大维度:一是要素需求的派生性质,需明确其与产品需求的本质差异;二是基尼系数的测算逻辑,需掌握其几何意义与政策应用边界。在数字经济背景下,数据要素的市场化配置(如《2025 年数字中国建设行动方案》提出的数据交易场所建设)正成为要素市场理论的新研究对象,要求理论框架与时俱进地纳入技术进步对要素供需的重塑效应。
第三章 宏观经济学核心理论
宏观经济学以国民经济整体运行为研究对象,聚焦总产出、就业、价格水平及国际收支等总量指标的周期性波动与长期增长路径。其理论体系的逻辑起点是国民收入核算体系,通过GDP、GNP等指标量化经济规模,为后续分析提供经验基础。核心理论围绕短期经济波动与长期经济增长展开:短期分析以IS-LM模型为基石,刻画产品市场与货币市场的一般均衡,阐释财政政策与货币政策如何通过利率与收入的交互作用影响总需求;进而拓展至AD-AS(总需求—总供给)框架,纳入价格弹性与产出缺口,解释经济衰退、通胀缺口及滞胀等复杂现象。菲利普斯曲线则揭示失业与通胀的短期权衡关系,为政策制定提供关键依据。长期增长理论以索洛模型为核心,论证资本积累、劳动力增长与技术进步对稳态人均产出的决定作用,强调全要素生产率提升是可持续增长的唯一源泉。开放经济条件下,蒙代尔-弗莱明模型引入汇率机制与资本流动,分析三元悖论下政策协调的边界。宏观经济学最终落脚于政策实践,通过逆周期调控熨平波动,通过结构性改革释放增长潜能,在效率与稳定的动态平衡中为政府干预提供理论指引。
当代宏观经济学深化了对市场失灵与政策有效性的认知。理性预期学派挑战传统凯恩斯主义的干预假设,认为前瞻性经济主体会抵消政策效果,强调政策可信度与规则约束;实际经济周期理论则主张技术冲击而非需求扰动是波动主因,质疑系统性稳定政策的必要性。新凯恩斯主义通过价格粘性、菜单成本等微观基础,为短期非中性效应提供合理解释,重新确立适度干预的正当性。在增长领域,内生增长理论突破索洛模型外生技术进步的局限,将研发投入、人力资本积累与知识溢出内生化,阐明创新激励机制的长期决定性作用。收入分配理论拓展至功能性分配与规模性分配,探讨劳动报酬占比下降、贫富分化加剧对总需求与增长潜力的抑制效应。环境与可持续维度纳入后,绿色GDP、碳约束下的增长路径成为新焦点,要求重构发展成本收益核算框架。政策实践层面,量化宽松、前瞻性指引、宏观审慎评估等工具创新,回应了零利率下限与金融稳定挑战。宏观经济学由此发展为融合微观基础、预期管理、制度分析与跨期优化的综合性科学,持续为应对全球经济不确定性提供与时俱进的理论武器。
3.1 国民经济核算理论
国民经济核算理论是宏观经济学的核心框架,其基础是国内生产总值(GDP)的计量体系。GDP核算严格遵循地域原则,仅统计一国境内生产的最终产品与服务价值,不包含中间品重复计算,这与以国民为核算主体的国民生产总值(GNP)形成显著区别。2024年中国经济总量达134.9万亿元,首次突破130万亿元大关,以5.0%的增速实现稳健增长,总量规模与增长质量的双重突破为核算理论提供了实践样本。
3.1.1 GDP核算方法:支出法的实践应用
在核算方法体系中,支出法通过追踪经济主体的最终购买行为构建核算框架,其核心恒等式为 Y = C + I + G + NX,即国内生产总值等于消费(C)、投资(I)、政府购买(G)与净出口(NX)之和2。2024年中国经济数据显示,这一框架下的结构特征呈现新变化:货物贸易进出口总值突破43万亿元,净出口对经济增长的贡献由负转正,消费作为内需主力的作用持续巩固,社会消费品零售总额保持5.1%的增长 。这种结构优化印证了习近平经济思想中统筹总供给与总需求关系的实践逻辑,通过畅通国民经济循环实现总量平衡与结构升级。
3.1.2 国民收入决定模型:凯恩斯理论的当代诠释
凯恩斯简单国民收入决定理论揭示了宏观经济运行的核心机制:均衡产出由总需求决定,当计划支出等于实际产出时实现短期均衡。这一理论的关键传导路径体现为乘数效应,即初始需求变动引发的国民收入倍增现象。以投资乘数为例,其数学表达式为 k = 1/(1 - MPC),其中MPC(边际消费倾向)决定乘数大小——MPC越高,投资变动对总收入的拉动作用越强。2024年中国宏观政策实践印证了这一机制:在面临全球需求疲软与地缘政治挑战的背景下,通过扩大内需政策释放的投资增量,经乘数效应放大后推动第四季度GDP增速回升至5.4%,成为全年增长的关键支撑。
【核心考点解析】
1. GDP核算的双重边界:地域原则(境内生产)与产品属性(最终产品)共同构成核算范围,需注意与GNP(国民原则)的区分。
2. 国民收入恒等式的政策含义:Y = C + I + G + NX不仅是核算工具,更是宏观调控的分析框架,2024年中国通过优化NX(进出口43万亿元)与C(消费增长5.1%)的结构实现总量平衡。
3. 乘数效应的实践约束:尽管理论上乘数可放大政策效果,但实际传导效率受MPC波动、流动性陷阱等因素影响,需结合中国经济稳中提质的政策基调动态调整。
从理论到实践的演进中,中国经济2024年的表现提供了鲜活案例:在GDP平减指数连续六个季度负增长的通缩压力下,通过凯恩斯主义需求管理与供给侧结构性改革的协同,仍实现了134.9万亿元总量与5.0%增速的双重目标 。这种实践创新为国民经济核算理论注入了新的解释维度,凸显了总量调控与结构优化在现代宏观经济管理中的辩证统一。
3.2 经济增长理论
经济增长与经济发展是宏观经济学研究的核心议题,二者既相互关联又存在本质区别。经济增长侧重于 GDP 总量或人均产出的数量增长,而经济发展则强调经济系统质量的全面提升,包括生产率改进、产业结构优化、可持续性增强等多维目标。习近平经济思想中高质量发展的内涵,正是对传统经济增长模式的超越,其核心在于通过创新驱动、结构升级和效率提升实现经济系统的质的飞跃。2024 年中国 5%的经济增速在世界主要经济体中名列前茅,同时新质生产力稳步发展,570 多家工业企业入围全球研发投入 2500 强,占比近 1/4,这一实践生动诠释了从量的积累向质的跃升的转型。
3.2.1 哈罗德 - 多马模型:资本积累驱动的增长逻辑
哈罗德 - 多马模型作为早期增长理论的代表,揭示了资本积累与经济增长的动态关系。其核心公式为 G = s/v,其中 G 为经济增长率,s 为储蓄率,v 为资本产出比(即生产一单位产出所需的资本投入)。该模型认为,经济增长取决于储蓄转化为投资的效率(储蓄率 s)和资本的生产效率(资本产出比 v 的倒数)。例如,若储蓄率为 30%,资本产出比为 3,则理论增长率可达 10%。
然而,模型的刃锋平衡特性使其在现实中难以稳定实现。由于实际增长率、有保证的增长率(由储蓄率和厂商合意资本产出比决定)与自然增长率(由人口增长和技术进步决定)三者的均衡条件极为严苛,任何微小偏离都可能导致经济陷入累积性扩张或收缩。这种不稳定性揭示了单纯依赖资本投入的增长模式难以持续,为后续理论发展提供了批判性起点2。
3.2.2 索洛模型:技术进步驱动的稳态增长
索洛模型通过引入新古典生产函数和资本边际收益递减假设,构建了更具解释力的增长框架。其核心贡献在于区分了资本深化(人均资本存量增加)和资本广化(为新增人口配备资本)对增长的影响,并证明在没有技术进步的情况下,经济终将收敛于稳态——此时人均产出增长仅由外生技术进步推动。稳态条件可表述为:sy = (n + δ)k,其中 s 为储蓄率,y 为人均产出,n 为人口增长率,δ 为折旧率,k 为人均资本存量。
该模型揭示了一个关键命题:长期人均产出增长的唯一源泉是技术进步。这一结论得到经验数据支持——2023 年中国全社会研发经费投入强度达 2.64%,数字经济增加值占 GDP 比重升至 31.8%,高技术制造业增加值占规模以上工业比重达 16.3%,这些指标的提升直接推动了全要素生产率的增长。索洛模型还预言了条件收敛现象,即技术水平相近的国家将收敛于相同的稳态收入水平,这为后发国家通过技术引进实现追赶提供了理论依据。
3.2.3 内生增长理论:知识积累与创新驱动
内生增长理论突破了索洛模型技术外生的局限,将技术进步、人力资本积累等因素内生化。罗默的知识溢出模型和卢卡斯的人力资本模型表明,知识和技能具有非竞争性和正外部性,其积累过程可通过教育投入、研发活动和干中学效应持续推动经济增长。AK 模型则通过假设资本(含物质资本和知识资本)边际收益不变,证明经济可实现无外生技术进步的长期增长。
中国创新驱动发展战略的实践与内生增长理论高度契合。《2025 年数字中国建设行动方案》提出到 2025 年底计算力总规模超过 300 EFLOPS,通过数字技术与实体经济深度融合培育新质生产力。在新能源领域,中国已实现以化石能源低速增长支撑较快经济增长的转型,2024 年战略性新兴产业和未来产业的壮大,正是通过内生技术进步突破增长瓶颈的典型案例。
【核心考点解析】
1. 索洛模型稳态条件:sy = (n + δ)k,即人均储蓄恰好满足新增人口资本配备和资本折旧需求。稳态时人均产出增长率 = 技术进步率,总量增长率 = 技术进步率 + 人口增长率。
2. 内生增长理论政策含义:强调政府应通过研发补贴、知识产权保护、教育投资等政策激励知识积累;中国统筹新动能与旧动能关系的战略,正是通过产业升级将技术内生性转化为增长动力。
从理论演进看,经济增长理论始终围绕增长源泉这一核心命题展开:哈罗德 - 多马模型聚焦资本积累,索洛模型揭示外生技术进步的关键作用,内生增长理论则将创新与人力资本置于增长引擎的核心位置。中国实践印证了理论逻辑的演进——从依赖储蓄 - 投资驱动的高速增长,转向以新质生产力为代表的创新驱动高质量发展,2024 年新能源产业以化石能源低速增长支撑较快经济增长的事实,正是技术进步内生化的生动体现。这一转型不仅验证了内生增长理论的解释力,更为发展中国家突破增长极限提供了实践范式。
3.3 通货膨胀与失业理论
通货膨胀与失业是宏观经济学的核心研究议题,二者的动态关系对经济政策制定具有重要指导意义。本章节将系统分析失业与通货膨胀的成因、经济影响及其相互作用机制,并结合中国经济现实与政策实践展开讨论。
3.3.1 失业的类型与结构性矛盾
失业按成因可分为摩擦性失业、结构性失业、周期性失业等主要类型。其中,结构性失业因劳动力市场供需错配形成,表现为就业难与用工荒的并存现象,这一特征在当前中国劳动力市场尤为突出。一方面,高校毕业生等群体面临岗位竞争激烈的就业压力;另一方面,制造业、服务业等行业存在大量技能型岗位空缺,反映出劳动力技能结构与产业升级需求之间的结构性矛盾。这种双重困境的破解需要通过职业技能培训体系改革、教育结构调整等长期政策措施实现。
3.3.2 通货膨胀的驱动机制与现实表现
通货膨胀的成因可归结为需求与供给两方面因素的共同作用。需求拉上型通货膨胀源于总需求超过经济潜在产出能力,典型案例是货币供应量过度增长——当货币发行量增速显著高于商品总量增长时,超额货币追逐有限商品将推高物价水平。例如,若货币供应增加50%而商品总量仅增长10%,理论上物价将上涨约40%。成本推动型通货膨胀则由生产要素价格上涨引发,如国际油价波动、劳动力成本上升等因素通过产业链传导至终端消费品价格。
中国当前面临复杂的价格形势,2024年11月数据显示,全国生产者价格指数(PPI)同比下降2.5%,已连续26个月处于负增长区间,反映出工业领域的通缩压力。同期房价同比下降5.7%,延续自2022年5月以来的持续负增长态势,资产价格下行与内需疲软相互交织,构成当前宏观调控的重要挑战。
菲利普斯曲线揭示了通货膨胀与失业之间的动态关系,其理论发展经历了短期分析到长期视角的深化。短期菲利普斯曲线呈现向右下方倾斜的特征,表明通胀与失业存在替代关系:扩张性货币政策可通过刺激总需求暂时降低失业率,但会伴随通胀上升;反之,紧缩性政策能抑制通胀,但可能推高失业率1。这种短期权衡关系为逆周期调控提供了理论依据。
长期菲利普斯曲线的政策含义:弗里德曼提出的适应性预期理论指出,长期中工人会根据实际通胀调整预期工资,使失业率回归自然水平。此时菲利普斯曲线呈现垂直状态,通胀与失业之间不存在持久替代关系,政策制定者需警惕通过持续通胀降低失业的短期行为可能引发的滞胀风险。
中国宏观经济政策实践中,习近平经济思想强调稳就业与稳物价统筹的导向,体现了对菲利普斯曲线理论的辩证运用。这一政策框架既注重通过结构性改革降低自然失业率,又强调保持物价总水平稳定,在经济转型过程中实现就业与通胀的动态平衡。
【核心考点总结】
宏观经济学分析中,需重点掌握以下内容:失业类型的区分标准,特别是结构性失业的形成机制;需求拉上型与成本推动型通货膨胀的辨别方法;菲利普斯曲线在短期与长期的形态差异及其政策含义。这些理论工具为理解中国稳就业、稳物价的宏观调控目标提供了系统化的分析视角。
3.4 宏观经济政策理论
宏观经济政策理论是宏观经济学的核心组成部分,主要通过财政政策与货币政策调节总需求与总供给,实现经济稳定增长目标。财政政策工具包括政府支出与税收调整,其运行机制包含自动稳定器与斟酌使用两种模式:自动稳定器通过累进税制等制度设计,在经济波动中自动调节税收与转移支付,例如经济过热时累进税增加抑制消费;斟酌使用的财政政策则是政府主动调整支出规模,如2024年中国推出10万亿元债务一揽子计划缓解地方融资压力,专项债券额度三年增加6万亿元至35.52万亿元20。但需注意挤出效应风险——政府支出增加可能推高利率,导致私人投资减少,如2024年财政赤字率升至7%的同时,税收收入同比下降3.4%,反映政策实施中的资源配置矛盾。
货币政策通过货币供应量调控影响经济运行,经典传导路径为:公开市场购买债券→货币供给增加→利率下降→投资成本降低→总需求扩张。中国近年来创新发展了结构性货币政策工具,从总量调控转向精准滴灌,如定向降准仅向特定行业释放流动性,2025年5月下调存款准备金率50个基点即注入约1万亿元人民币,有效降低社会综合融资成本。这种调控转型体现了习近平经济思想中精准调控理念,与统筹总供给和总需求的政策要求相契合,2024年第四季度GDP同比增长5.4%的回升态势,即得益于针对消费、工业等领域的定向支持 。
IS-LM模型揭示了不同经济环境下的政策效果差异:在凯恩斯区域(流动性陷阱),货币政策因利率已达下限而失效,需依赖财政政策扩张总需求;在古典区域(垂直LM曲线),财政政策会完全挤出私人投资,此时应通过货币政策调节经济。中国实践中注重政策协同,如2024年加大财政货币政策逆周期调节力度的部署,既提高赤字率发行超长期特别国债,又通过降准降息保持流动性充裕,体现有效市场和有为政府的统筹逻辑。
【核心考点总结】
1. 财政政策工具:自动稳定器(累进税)、斟酌使用政策(专项债券、赤字率调整)。
2. 货币政策传导:公开市场操作→利率→投资→总需求;结构性工具(定向降准)。
3. IS-LM政策效应:凯恩斯区域财政有效,古典区域货币有效。
4. 中国实践创新:2024年统筹供需两侧发力,财政货币政策协同实现四季度经济回升0.8个百分点。
政策实施需平衡多重目标,如财政支出增加存在机会成本(国防与教育资源分配),货币政策过度宽松可能引发通胀风险。当前中国将债务占GDP比率控制在90.1%的合理区间,通过做优增量和盘活存量的统筹策略,在稳增长与防风险间寻求动态平衡,为全球宏观调控提供了实践参考。
3.5 开放经济理论
开放经济理论是宏观经济学的重要分支,主要研究汇率决定机制、国际收支平衡规律及内外均衡调节路径。在浮动汇率制度下,汇率由外汇市场供求关系主导,同时受利率、通货膨胀率等宏观经济变量影响。购买力平价理论从长期视角揭示汇率与两国物价水平的关系,认为货币购买力是决定汇率的基础;利率平价理论则聚焦短期资本流动,指出利差是驱动汇率波动的关键因素。这两种理论共同构建了汇率分析的动态框架,例如2024年美国将中国半导体关税从25%提高至50%,直接影响相关产业外汇供求,短期内可能引发人民币对美元汇率的调整压力。
国际收支平衡表通过系统记录一国对外经济交易,反映开放经济运行状况,其中经常账户差额是衡量国际收支健康度的核心指标。贸易顺差通常表明该国出口竞争力较强,但过度顺差可能加剧贸易摩擦;逆差则可能反映国内需求旺盛或产业结构失衡。2025年1-7月,中国出口同比增长6.1%,超过同期GDP增速,成为经济增长的主要贡献因素,这一数据既体现了中国制造业的韧性,也反映出全球供应链调整中出口结构的适应性变化。值得注意的是,中美贸易政策波动对经常账户的影响显著,如2025年4月美国关税调整后,中国对美出口出现两位数同比收缩,而同年中美贸易谈判取得实质性成果后,高盛随即上调中国出口 增长预测,显示政策变量在短期国际收支调节中的关键作用。
内外均衡调节是开放经济政策制定的核心目标,蒙代尔-弗莱明模型为此提供了经典分析框架。该模型揭示:在固定汇率制度下,货币政策因需维持汇率稳定而丧失独立性,财政政策则通过乘数效应有效调节总需求;浮动汇率制度下则呈现相反特征,货币政策通过汇率传导机制影响净出口,进而实现经济内外均衡。习近平经济思想中的高水平对外开放战略,特别是双循环新发展格局,为开放经济下的内外均衡调节提供了中国方案。通过扩大内需战略与深化对外开放的协同推进,中国在提升国内大循环质量的同时,以制度型开放促进国际循环优化,例如探索数字经济新商业模式的市场准入措施,既增强了国内市场对全球要素的吸引力,又通过服务业 sector 开放提升了国际分工地位。
【核心考点解析】
1. 汇率决定因素:需综合供求关系、利率平价(短期)与购买力平价(长期)理论,结合中美关税政策等实际冲击分析汇率动态,如2024年美国半导体关税上调对人民币汇率的短期影响。
2. 国际收支平衡表构成:重点掌握经常账户(贸易差额、收入与经常转移)、资本与金融账户的核算规则,理解2025年中国出口增长6.1%背后的账户结构变化。
在全球化与逆全球化力量交织的背景下,开放经济理论的实践面临新挑战。美国对中国 legacy chips 启动301调查等保护主义措施,与比较优势理论揭示的贸易共赢逻辑形成冲突。历史经验表明,通过双循环新发展格局实现内外均衡,不仅需要发挥静态比较优势,更需培育动态竞争优势,在开放中提升经济体系的整体韧性。
第四章 经济学前沿理论与政策解读
当代经济学前沿理论正经历数字技术革命与可持续发展双重浪潮的深刻重塑。在微观领域,平台经济学重构了市场定义,将网络效应、算法定价与数据垄断纳入分析框架,研究双边市场最优佣金结构与反竞争行为识别;行为经济学融合神经科学实验,揭示有限理性在复杂决策中的系统性偏差,为助推政策设计提供微观基础;宏观层面,现代货币理论挑战传统财政货币边界,探讨主权货币国家在零利率下限环境下的政策空间,同时气候宏观经济学将碳约束嵌入DSGE模型,量化转型风险与绿色刺激的乘数效应。方法论突破体现在机器学习因果关系推断(如双重机器学习DML)与计算社会科学模拟上,使研究者能处理高维数据并模拟政策冲击的异质性响应。数据要素理论更开创性地提出数据非竞争性、价值异质性等新假设,推动产权、定价与治理规则重构。这些前沿理论不仅回应了人工智能替代、人口老龄化、地缘经济分裂等时代命题,更通过跨学科对话拓展了经济学解释力边界,形成数字经济、生态经济、健康经济等新兴分支,为政策制定提供了超越传统范式的分析工具。
前沿理论的政策价值在于其解释力与预见性的实践转化。政策解读作为理论通向现实的桥梁,要求研究者穿透政策文本的表象,揭示其经济学机理与传导路径。以双碳目标为例,政策解读不仅需测算碳税或碳交易的动态宏观经济成本(如估算碳价上升对PPI的传导弹性),更要运用机制设计理论评估配额初始分配的公平与效率,结合公正转型理论分析高碳产业地区就业冲击的补偿方案。在数字经济治理中,对《反垄断法》修订的解读需融合平台经济学的 killer acquisition模型与数据垄断的福利损害测度,预判分拆巨头或数据互操作政策对创新激励的复杂影响。货币政策的解读则借助前瞻性指引理论,分析央行沟通策略如何锚定长期通胀预期,防止滞胀风险自我实现。政策解读的精准性体现在三重维度:一是识别政策目标的权衡取舍,如促增长与防风险的动态平衡;二是模拟政策工具的异质性效应,利用微观计量刻画中小企业与大型企业在同一政策下的响应差异;三是评估政策实施的制度前提,判断有效市场条件是否满足以决定政府干预强度。最终,高质量的政策解读能将抽象理论转化为可操作的政策建议,为在多重约束下求最优解的中国式现代化经济实践提供理论罗盘。
4.1 数字经济、绿色经济相关经济学理论
4.1.1 数字经济的理论基础与实践发展
数字经济是以数据为关键要素、数字技术为核心驱动力的新型经济形态,其核心特征体现为数字产品的非竞争性与网络效应 。非竞争性特征使得数字产品可无限复制而边际成本趋近于零,如软件应用的多用户共享;网络效应则表现为用户数量增长带来的价值指数级提升,典型案例如社交平台的用户规模与平台价值正相关。与传统生产要素不同,数据要素的供给曲线呈现边际成本递减特性——随着数据采集量增加,单位数据的存储与处理成本下降;需求曲线则因数据的累积价值呈现边际效用递增,形成数据越用越值钱的经济学悖论。
《2025年数字经济发展工作要点》(2025年4月,国家发改委)进一步深化数据要素市场化配置改革,通过企业、行业、城市三级可信数据空间试点构建数据流通基础设施,目前已在金融、医疗等8个行业培育20个国家级试点单位。配合东数西算工程实施,2025年Q3国家枢纽节点算力集聚率达65%,贵州、内蒙古数据中心集群PUE值降至1.1以下,有力支撑数字经济核心产业增加值占GDP超10%的年度目标。中国通过数据要素市场化配置改革破解这一悖论,《2025年数字经济发展工作要点》明确以东数西算工程优化资源配置:利用西部地区能源与土地优势承接算力需求,东部地区聚焦数据加工与应用创新,2025年底实现60%以上新增算力在国家枢纽节点集聚,新建大型数据中心绿电占比超80%。这种空间重构使东中西部形成引擎-受益-输出的协同格局,2024年数字产业业务收入达35万亿元,直接从业人员超2060万人,印证了资源优化配置的经济效率。
4.1.2 绿色经济的外部性治理与转型路径
绿色经济的核心矛盾在于环境外部性问题,污染排放等负外部性导致市场失灵。依据庇古税理论,通过对污染者征税(如碳税)可将社会成本内部化;而科斯定理则强调产权界定与交易效率,如碳排放权交易市场。中国创新融合两种机制:全国碳市场自2021年启动以来覆盖电力行业2400余家企业,累计降低减排成本350亿元;绿色金融规模持续扩张,绿色债券、转型金融产品成为企业低碳转型的重要资金来源。
地方绿色金融创新形成特色路径:上海于2025年11月启动绿色外债试点,首批3家新能源企业获3亿元跨境融资,专项支持分布式光伏与储能项目;重庆农商行推出碳标签+转型金融模式,通过大足黑山羊产业碳足迹管理系统,实现养殖企业贷款利率与碳减排成效动态挂钩,使低碳农户平均融资成本降低85BP。
能源结构转型是实现绿色发展的关键路径。中国计划2030年非化石能源占一次能源消费比重达25%,2024年清洁能源消费占比已达28.6%,煤炭消费占比从2012年68.5%降至53.2%。具体路径包括:
1. 增量替代:加快沙戈荒新能源基地建设,2025年前建成第二、三批5000万千瓦风电光伏基地;
2. 存量优化:推进煤电低碳化改造,开展零碳园区、工厂试点;
3. 技术赋能:通过数字技术提升能源利用效率,2024年单位GDP能耗下降超3%。
【核心考点解析】
1. 数字经济特征:非竞争性(如软件复制成本为零)、网络效应(用户规模与价值正相关)。
2. 外部性治理工具:庇古税(碳税)通过价格机制调节,科斯定理(碳市场)依赖产权交易,中国实践中两者协同发力。
4.1.3 行为经济学的政策实践
行为经济学通过实证方法揭示非理性因素对经济决策的影响。北京大学2025年医保扶贫研究显示,脱贫农户因预期医保待遇终止导致次年医疗消费增长18.7%,印证损失厌恶理论在公共政策领域的作用;英国税务部门2024年短信提醒实验则发现,强调本地少数人未缴税的社交规范信息,使纳税遵从率提升12.3%,增收237万英镑财政收入。这类干预通过调整助推方式,以较低成本实现政策目标优化。
4.1.4 平台经济监管的制度创新
《互联网平台反垄断合规指引》(2025年11月)构建穿透式监管框架,明确算法共谋、数据二选一等8类高风险场景的认定标准。该指引要求平台企业建立合规审计机制,对大数据杀熟、骑手抽成等规则实施事前审查,2025年Q4重点平台整改完成率达92%,用户投诉量环比下降47%47。监管实践表明,通过规则透明化+过程可追溯的监管设计,能够在维护竞争活力的同时保障平台经济创新发展。
数字经济与绿色经济的协同发展体现在政策设计与产业实践中。数字经济领域,中国目标2025年核心产业增加值占GDP超10%,数据要素市场规模年均增速超15%;绿色经济领域,2035年将基本建立绿色低碳循环发展经济体系,节能环保产业规模达15万亿元。两者融合的典型案例是算力基础设施的绿色化——东数西算工程要求西部数据中心绿电占比超80%,实现数字发展与低碳目标的双赢。
从理论到实践的转化表明,数字技术的资源配置优化能力与绿色经济的外部性治理机制相结合,正在重塑传统经济增长模式。这种转型不仅体现在宏观政策层面,更通过企业数字化转型、绿色技术创新等微观实践,推动经济社会向可持续发展路径演进。
4.2 新时代中国宏观经济调控理论的创新与发展
习近平经济思想作为马克思主义政治经济学中国化时代化的最新理论成果,其理论体系以人民为中心的发展思想为根本立场,以创新、协调、绿色、开放、共享的新发展理念为战略指引,将高质量发展确立为新时代经济工作的首要任务 。这一思想体系通过深化对社会主义本质和市场经济规律的认识,实现了对马克思主义生产力理论和财富理论的时代性发展,为新时代宏观经济调控提供了系统性的理论指导。
新时代中国宏观经济调控理论在实践中形成了三大创新性转变:其一,从需求管理为主转向供给侧结构性改革,通过减税降费等制度性安排提升企业活力,破解供给体系质量不高的结构性矛盾 ;其二,从总量调控转向精准滴灌,运用结构性货币政策等工具实现对特定领域、薄弱环节的定向支持;其三,从短期稳增长转向长期新质生产力培育,重点布局人工智能、绿色低碳技术等前沿领域,推动经济发展动能的系统性转换 。这一转变过程体现了对马克思主义政治经济学逻辑起点的创新性发展,即从财富一般到商品一般的理论深化,以及从商品供求矛盾分析向社会主义社会主要矛盾分析的逻辑演进。
新质生产力培育构成了宏观调控创新的核心抓手。2025年第三季度货币政策执行报告显示,科技创新再贷款余额达5000亿元,LPR下调10BP至3.45%,引导金融资源向半导体、生物医药等领域倾斜;3.8万亿元专项债额度中,42%投向5G基站、工业互联网等新基建,形成精准滴灌的政策传导机制。习近平总书记强调,推动高质量发展最重要是加快高水平科技自立自强,积极发展新质生产力,这一论述明确了科技创新在经济结构优化升级中的核心地位。实践中,政策体系通过AI Plus应用推进、制造业数字化转型(如建设200个数字园区、1万个5G工厂)、数据密集型产业培育(无人驾驶、低空经济)等具体路径,将技术创新转化为现实生产力。
2024年中央经济工作会议提出的统筹培育新动能和更新旧动能,进一步丰富了宏观调控的政策协同机制。这一机制体现为五个必须统筹的方法论创新,即统筹有效市场和有为政府、总供给和总需求、培育新动能和更新旧动能、做优增量和盘活存量、提升质量和做大总量,形成了兼顾短期稳定与长期发展、总量平衡与结构优化的调控框架。在资本逻辑规制方面,中国通过社会主义市场经济体制化约算法的权力属性,以新质生产力消解资本逻辑的异化倾向,将数智时代的算法权力转化为人类解放的现实潜能,为全球范围内的劳动解放命题提供了实践解答。
【核心理论要点】
1. 供给侧结构性改革:通过制度创新(如减税降费)和要素优化配置,提升供给体系质量和效率,破解结构性失衡问题。
2. 新质生产力特征:以科技创新为核心驱动力,具有高科技、高效能、高质量特征,涵盖人工智能、绿色低碳等前沿技术领域,是引领未来发展的强大动能 。
在政策实践中,宏观调控创新始终围绕社会主义社会主要矛盾展开,既坚持马克思主义政治经济学的基本原理,又立足新时代中国特色社会主义的实践要求,形成了独具特色的理论逻辑和历史逻辑。从4+5+N区域协调发展战略体系构建,到碳市场建设中减排与发展的协同推进,再到三大体系(区域协调发展战略体系、国土空间体系、海洋经济体系)的系统布局,新时代宏观调控理论正在通过多维度政策协同,推动中国经济实现质的有效提升和量的合理增长。这一理论创新过程,不仅丰富了马克思主义广义政治经济学的内涵,更为发展中国家探索符合自身国情的现代化道路提供了重要借鉴。
一、经济学理论体系图谱构建
以习近平经济思想为指引,构建微观(个体决策)-宏观(总量调控)-前沿(新经济形态)三级逻辑体系。微观层面聚焦市场主体行为,包括需求与供给、消费者均衡、生产理论及市场结构分析;宏观层面围绕国民经济总量平衡,涵盖国民收入核算、经济增长模型、失业与通胀治理及宏观经济政策调控;前沿领域则关注数字经济(数据要素驱动、平台效应)、绿色经济(外部性治理、碳税政策)及新质生产力等理论创新 。该体系既覆盖《经济基础知识》公共科目要求的六大模块,又整合了中级经济师考试强调的供给侧结构性改革五个必须统筹等核心要义。
二、核心考点三级分类表
表3 核心考点
理论层级 | 核心概念 | 关键原理 | 典型应用场景 | 重要度标记 |
微观经济学 | 需求价格弹性、边际效用 | 消费者均衡条件(MRS=P1/P2)、利润最大化原则(MR=MC) | 垄断市场定价策略分析、企业短期生产决策 | ★★★ |
市场结构类型 | 完全竞争 vs 垄断效率对比 | 反垄断政策对平台企业的规制 | ★★★ | |
宏观经济学 | GDP核算、乘数效应 | IS-LM模型、索洛增长模型 | 财政政策与货币政策搭配使用 | ★★★ |
菲利普斯曲线 | 通胀与失业短期替代关系 | 滞胀时期的政策选择难题 | ★★ | |
前沿理论 | 数据要素、数字技术 | 网络外部性理论、绿色溢价 | 新质生产力对经济增长的贡献率分析 | ★★ |
三、分阶段备考策略
初级经济师备考需经历三个阶段:基础阶段(3-4个月)重点梳理数字经济、碳税政策等新增考点;强化阶段(2个月)聚焦财政政策与货币政策搭配市场结构效率比较等高频考点,通过近5年真题分析命题规律;冲刺阶段(1个月)进行机考系统模拟训练,重点突破案例分析题的复杂场景应对能力。高级经济师则需额外关注《高级经济实务》科目中的政策论述题,强化用索洛模型分析技术进步对中国经济增长的影响等理论应用类题型的训练。
四、高频考点速记
1. 微观经济学:边际替代率等于价格之比是消费者均衡的核心条件,需结合无差异曲线与预算线切点分析
2. 宏观经济学:财政政策乘数=1/(1-MPC),货币政策效果受LM曲线斜率影响
3. 前沿理论:习近平经济思想中的供给侧结构性改革需联系生产要素优化配置理论理解
五、典型复习思考题
1. 结合数字经济特征(数据要素、平台效应),论述如何运用市场结构理论规制平台企业的反垄断行为。
2. 运用IS-LM模型分析2025年中国央行降准政策对实体经济的传导路径,需考虑流动性陷阱的可能性。
3. 以五个必须统筹为框架,设计绿色经济转型中的财政政策工具组合(如碳税、补贴、绿色债券等)。
4. 对比分析完全竞争市场与垄断竞争市场的技术创新激励差异,解释新质生产力发展的市场条件。
5. 备考时建议每日分配2-3小时专攻经济学模块,通过概念图谱+真题演练+跨章节综合题三维训练法,强化理论体系的融会贯通。
第三部分:管理学
第一章 管理学基础理论
1.1 管理学的研究对象与学科性质
管理学是一门以组织管理活动为研究对象,探索管理本质、规律与方法的综合性交叉学科。其研究核心围绕 “如何有效配置组织资源,实现既定目标” 展开,具体涵盖组织运行中的决策机制、组织设计、领导行为、激励方式、控制流程等关键领域。
作为一门独立学科,管理学具有鲜明的综合性特征,融合了经济学、社会学、心理学、法学等多学科理论成果,形成独特的理论体系与研究方法。它既是研究管理普遍规律的理论科学,通过抽象概括形成系统的概念、原理与模型;又是注重实践应用的应用科学,所有理论均需通过实践检验并指导管理实践。同时,管理学的实践性决定了其动态发展属性,会随着社会经济发展、技术进步与组织形态演变持续丰富完善。
在新时代背景下,管理学既吸收借鉴国际先进管理经验,又注重挖掘中国传统管理智慧与当代企业管理创新成果,形成兼具普遍性与特殊性的学科特色,为管理实践提供坚实的理论支撑。
1.2 管理的定义、职能与核心要素
1.2.1 管理的定义
管理是管理者在特定组织环境中,通过计划、组织、领导、控制等一系列活动,协调组织资源与成员行为,以高效实现组织目标的动态过程。这一定义包含三层核心内涵:管理的本质是协调,需平衡组织内部各要素及组织与外部环境的关系;管理的核心是实现目标,所有活动均需围绕既定目标展开;管理的过程具有系统性,各项职能相互关联、动态衔接。
1.2.2 管理的核心职能
管理的职能是管理活动的具体表现形式,经过长期理论研究与实践总结,现代管理学将其概括为四大核心职能,构成了“计划 - 组织 - 领导 - 控制”的完整管理循环;四大职能相互关联、层层递进,也是一个动态循环。
计划职能是管理的首要职能,指管理者基于组织内外部环境分析,明确组织目标,制定实现目标的战略、策略与具体行动计划,为组织活动提供方向指引。
计划职能贯穿管理全过程,是后续组织、领导、控制职能的基础。
组织职能是为实现计划目标而进行的资源配置与结构设计活动,包括明确组织架构、划分部门与岗位、分配权责、协调组织内部关系等内容。有效的组织职能能使组织资源得到优化配置,形成整体合力。
领导职能强调管理者通过自身影响力,引导、激励组织成员共同实现目标。管理者需运用合适的领导方式,沟通协调成员关系,激发成员工作积极性与创造力,化解组织冲突,凝聚组织力量。
控制职能是确保组织活动按计划推进的保障机制,通过设定控制标准、监测实际绩效、对比分析偏差并采取纠正措施,使组织活动始终围绕目标有序开展。
1.2.3 管理的核心要素
管理活动的有效开展依赖五大核心要素的协同作用。其中,管理主体是实施管理的人或组织,管理客体是管理作用的对象(包括人、财、物等),管理职能是管理的具体手段(如计划、组织、领导、控制等),管理目标是管理活动要达到的结果,管理环境是影响管理的外部和内部因素。
管理目标是组织开展管理活动的出发点与落脚点,明确的目标能为组织成员提供行动指引,凝聚组织共识。管理环境包括内部环境(如:组织文化、组织结构)与外部环境(如:市场竞争、政策法规、技术变革),环境的动态变化要求管理活动具备适应性与灵活性。
管理方法是实现管理目标的工具与手段,包括行政、经济、法律、教育等手段,管理者需根据管理情境灵活选择适配的方法。
1.3 中外经典管理思想
1.3.1 中国传统管理思想
中国传统管理思想根植于中华优秀传统文化,蕴含丰富的管理智慧,主要体现在以下方面。儒家思想以“仁”为核心,强调“为政以德”,主张通过道德教化凝聚人心,在管理中注重以人为本、礼治与德治相结合,追求组织和谐稳定。
道家思想提出“无为而治”,强调顺应客观规律,不妄为、不扰民,在管理中体现为尊重组织发展规律,简政放权,充分发挥组织成员的自主性。
法家思想注重“法治”,强调以明确的规章制度规范行为,主张“不别亲疏,不殊贵贱,一断于法”,为现代管理制度建设提供了思想渊源。
墨家思想倡导“兼爱”“非攻”“尚贤”,主张不分亲疏的平等关爱,反对争斗,推崇贤能之人,体现了重视人才、倡导合作的管理理念。这些传统思想为当代中国管理实践提供了深厚的文化底蕴,与现代管理理论相互补充,形成独具特色的中国管理模式。
1.3.2 西方经典管理思想
西方经典管理思想的发展历程可分为三个重要阶段,形成了系统的理论体系。
古典管理理论阶段聚焦效率提升,为管理学奠定了理论基础。弗雷德里克・泰勒的科学管理理论通过动作时间研究、作业标准化、差别计件工资制等方法,将经验管理转变为科学管理,极大提升了生产效率。伯利恒钢铁搬运实验中,泰勒通过优化工人动作与休息时间,使日搬运量从 12.5 吨提升至 47 吨,实现了工人收入与企业效益的双赢。
亨利・法约尔的一般管理理论从企业整体视角出发,提出管理的五大职能(计划、组织、指挥、协调、控制)与十四条管理原则,其 “法约尔桥”理论为同级沟通提供了有效路径,适用于各类组织管理。
马克斯・韦伯的科层制理论提出“理想的行政组织体系”,强调分工明确、等级分明、规则严格、非人格化等特征,依赖法理型权力保障组织高效稳定运行,成为现代组织架构设计的重要参考。
行为科学理论阶段突破了“经济人”假设,转向对人的社会心理需求的关注。埃尔顿・梅奥通过霍桑实验提出人际关系学说,提出 “社会人”假设,发现非正式组织的存在及其对生产效率的影响,强调人际关系、领导方式与员工满意度的重要性。
亚伯拉罕・马斯洛的需求层次理论将人的需求划分为生理、安全、社交、尊重、自我实现五个层次,揭示了个体行为的内在驱动力,为员工激励提供了重要理论依据。
弗雷德里克・赫茨伯格的双因素理论区分了保健因素(与工作环境相关)与激励因素(与工作内容相关),指出只有激励因素才能真正激发员工内在动力。
道格拉斯・麦格雷戈的 X 理论与 Y 理论提出两种对立的人性假设,分别对应集权式与民主式管理风格,为管理方式选择提供了理论参考。
现代管理理论阶段呈现多元化发展趋势,形成了多种理论流派。系统管理理论将组织视为开放系统,强调组织内部子系统的协同作用与组织与外部环境的互动关系,注重整体优化而非局部改进。权变管理理论主张“没有最好的管理方式,只有最适合的方式”,认为管理效果取决于组织规模、环境不确定性、员工成熟度等情境因素,强调管理的灵活性与适应性。
1.4 备考核心考点与习题
1.4.1 核心考点梳理
管理学的研究对象、学科性质及新时代发展导向。
管理的定义与核心内涵,四大管理职能的具体内容与相互关系。
管理五大核心要素的构成及各自作用,管理者在组织中的核心职责。
中国传统管理思想的主要流派及核心观点,西方经典管理理论各阶段的代表人物、核心观点与实践应用。
科学管理理论与人际关系学说的本质区别,“经济人”与“社会人”假设的核心差异。
1.4.2 习题练习
(一)单选题
1. 管理学的研究核心是( )。
A. 个体行为规律的探索 B. 组织资源的优化配置与目标实现
B. 自然科学技术的应用 D. 社会伦理规范的制定
2. 管理的四大核心职能中,为后续职能提供基础的是( )。
A. 组织职能 B. 计划职能 C. 领导职能 D. 控制职能
3. 提出“理想的行政组织体系”(科层制)的管理学家是( )。
A. 泰勒 B. 法约尔 C. 韦伯 D. 梅奥
4. 霍桑实验的核心贡献在于提出了( )假设。
A. 经济人 B. 社会人 C. 自我实现人 D. 复杂人
5. 中国传统管理思想中,主张“为政以德”“以人为本” 的流派是( )。
A. 儒家 B. 道家 C. 法家 D. 墨家
(二)多选题
1. 管理学的学科性质主要体现为( )。
A. 自然科学属性 B. 社会科学属性
B. 交叉学科属性 D. 纯粹人文科学属性 E. 应用性属性
2. 管理的核心要素包括( )。
A. 管理主体 B. 管理客体 C. 管理职能 D. 管理目标 E. 管理环境
3. 古典管理理论的主要流派有( )。
A. 科学管理学派 B. 一般管理学派
B. 行政组织学派 D. 人际关系学派E. 权变理论学派
4. 行为科学理论的代表人物包括( )。
A. 梅奥 B. 马斯洛 C. 赫茨伯格 D. 麦格雷戈 E. 泰勒
5. 现代管理理论的主要特征有( )。
A. 系统性 B. 权变性 C. 创新性 D. 综合性 E. 实践性
(三)简答题
1. 简述管理的定义与四大核心职能的内涵。
2. 对比 “经济人” 假设与 “社会人” 假设的核心差异。
3. 简述中国传统管理思想主要流派的核心观点。
4. 古典管理理论对现代管理实践有哪些启示?
5. 简述管理学的学科性质及其具体体现。
第二章 计划职能核心理论
2.1 计划的内涵、类型与编制原则
2.1.1 计划的内涵
计划是管理者基于组织内外部环境分析,对组织未来一定时期内的目标及实现目标的途径、方法、资源配置等进行的预先规划与安排。它明确了组织“做什么”“为什么做”“谁来做”“何时做”“何地做”“怎么做”等关键问题,是组织活动的行动纲领。
计划具有鲜明的目的性,所有计划都围绕组织目标展开;具有前瞻性,需基于对未来环境的预测进行制定;具有普遍性,各级管理者都需开展计划工作;具有经济性,需兼顾资源投入与目标实现的效益平衡;具有灵活性,需预留调整空间以应对环境变化。
2.1.2 计划的类型
根据不同分类标准,计划可划分为多种类型。
按时间跨度可分为长期计划(通常 5 年以上)、中期计划(1-5 年)与短期计划(1 年以内),三者相互衔接,构成完整的时间计划体系。
按覆盖范围可分为战略计划(聚焦组织整体目标与发展方向,由高层管理者制定)、战术计划(围绕战略计划制定,聚焦部门具体目标与实施策略,由中层管理者制定)与作业计划(聚焦具体任务的执行细节,由基层管理者制定)。
按明确程度可分为具体计划(目标明确、方案具体,可直接执行)与指导性计划(目标模糊、方案灵活,为执行留有调整空间)。
按职能领域可分为生产计划、营销计划、人力资源计划、财务计划等,分别对应组织不同职能的发展需求。
2.1.3 计划的编制原则
计划编制需遵循以下原则:
1. 科学的原则,以确保计划的可行性与有效性。
2. 系统性原则,要求计划编制需统筹考虑组织内部各部门、各环节的协调配合,以及组织与外部环境的适应关系,形成系统完整的计划体系。
3. 可行性原则,要求计划目标需符合组织实际能力与资源条件,计划方案需经过充分论证,确保能够落地执行。
4. 灵活性原则,要求计划编制需预留调整空间,考虑未来环境的不确定性,制定备选方案以应对突发情况。
5. 重点性原则,要求计划编制需突出核心目标与关键任务,集中资源优先保障重点工作的完成,避免平均用力。
6. 效益性原则,要求计划编制需兼顾投入与产出,以最小的资源消耗实现最大的目标效益,注重短期效益与长期效益的平衡。
2.2 目标管理理论与实践逻辑
2.2.1 目标管理的内涵与核心特征
目标管理是由彼得・德鲁克提出的一种系统化、民主化的管理方法,它以目标为导向,通过组织成员共同参与目标制定、实施、考核与反馈,实现组织目标与个人目标的统一。其核心特征体现在以下方面:
目标明确性,所有目标都必须是具体的(Specific)、可衡量的(Measurable)、可实现的(Attainable)、相关的(Relevant)、有时限的(Time-bound),即 SMART 原则,避免模糊不清。
参与性,目标制定不是高层管理者的单方面行为,而是组织成员自上而下与自下而上相结合的共同参与过程,增强成员对目标的认同感与责任感。
系统性,组织目标被分解为部门目标、团队目标与个人目标,形成层级分明、相互关联的目标体系,确保个体目标与组织目标保持一致。
反馈性,在目标实施过程中,需定期进行绩效反馈与沟通,及时发现问题并调整改进,确保目标顺利实现。
自我管理性,组织成员在明确目标后,可自主制定实施计划、调配资源、控制进度,充分发挥主观能动性,实现自我激励与自我控制。
2.2.2 目标管理的实施流程
目标管理的实施是一个循环往复的过程,主要包括四个关键阶段。
目标制定阶段需结合组织战略与内外部环境,通过上下级共同协商确定组织整体目标,再逐层分解为部门目标、团队目标与个人目标,确保各层级目标与组织目标保持一致。
目标实施阶段,组织成员根据既定目标自主制定实施计划,管理者的角色从指挥者转变为支持者与协调者,为成员提供必要的资源支持与指导,及时协调解决实施过程中出现的问题。
绩效考核阶段,在目标完成后,按照预先设定的评价标准,对目标完成情况进行客观公正的考核,考核结果需与成员充分沟通,肯定成绩、指出不足。
反馈改进阶段,根据考核结果进行奖惩激励,同时总结经验教训,调整优化下一轮目标制定与实施过程,形成“制定 - 实施 - 考核 - 反馈 - 优化”的闭环管理。
2.2.3 目标管理的实践案例
某制造企业为提升生产效率与产品质量,推行目标管理模式。首先,企业高层结合行业趋势与市场需求,制定“年度生产效率提升 15%、产品合格率达到 99.8%”的整体目标。
随后,将整体目标分解为生产部门目标(优化生产流程、降低设备故障率)、技术部门目标(改进生产工艺、提升检测技术)、质检部门目标(完善质检流程、加强过程管控)等部门目标,再由各部门员工参与制定个人目标,如生产车间员工的“日产量提升 10%、废品率控制在 0.2% 以内”。
在实施过程中,企业为员工提供技能培训与设备支持,每周召开小组会议进行进度沟通,每月进行绩效反馈。年底考核时,企业整体生产效率提升 18%,产品合格率达到 99.9%,超额完成既定目标,员工收入也根据目标完成情况得到相应提升,实现了组织与个人的双赢。
2.3 战略管理理论
2.3.1 战略管理的内涵与重要性
战略管理是组织为实现长期生存与发展,基于内外部环境分析,制定并实施组织战略的全过程,包括战略分析、战略制定、战略实施与战略控制四个核心环节。
战略管理的核心价值在于明确组织发展方向,使组织在复杂多变的环境中保持竞争优势,实现可持续发展。它能帮助组织统筹协调短期利益与长期利益、局部利益与整体利益,有效配置资源,规避经营风险,应对市场竞争挑战。
在新时代背景下,企业战略管理要服从和服务于国家发展战略、区域发展战略,确保组织发展与国家经济发展、区域经济发展相契合。
2.3.2 战略分析工具
战略分析是战略管理的基础,通过对组织内外部环境的系统分析,明确组织的优势、劣势、机会与威胁。常用的战略分析工具包括 SWOT 分析法,通过分析组织内部的优势(S)与劣势(W),以及外部环境的机会(O)与威胁(T),形成 SO(利用优势抓住机会)、WO(利用机会弥补劣势)、ST(发挥优势规避威胁)、WT(规避威胁弥补劣势)四种战略组合。
PESTEL 分析法从政治(P)、经济(E)、社会(S)、技术(T)、环境(E)、法律(L)六个维度分析外部宏观环境,识别影响组织发展的宏观因素。
波特五力模型通过分析行业内现有竞争者的竞争程度、潜在进入者的威胁、替代品的威胁、供应商的议价能力、购买者的议价能力五个方面,评估行业竞争强度与盈利潜力,为战略制定提供依据。
2.3.3 战略层次与类型
组织战略按层次可分为公司层战略、业务层战略与职能层战略。
公司层战略是组织整体的发展战略,由高层管理者制定,聚焦“组织应该进入哪些业务领域”“如何配置资源”等核心问题,常见类型包括发展战略(如多元化、一体化)、稳定战略、收缩战略等。
业务层战略是针对特定业务领域的竞争战略,由中层管理者制定,聚焦“如何在特定市场中获得竞争优势”,常见类型包括成本领先战略(通过降低成本获得价格优势)、差异化战略(通过提供独特产品或服务形成竞争优势)、集中化战略(聚焦特定细分市场提供专业化产品或服务)。
职能层战略是各职能部门为支撑业务层战略与公司层战略而制定的具体战略,如营销战略、人力资源战略、财务战略等,聚焦“如何提升职能部门的工作效率与效果”。
2.4 决策理论
2.4.1 决策的内涵与类型
决策是管理者为实现组织目标,在充分收集信息的基础上,从多个备选方案中选择最优方案并付诸实施的过程。决策贯穿管理全过程,是管理的核心职能,任何管理活动都离不开决策。
根据不同分类标准,决策可划分为多种类型。
按决策范围可分为战略决策(影响组织长远发展的重大决策,如业务布局调整)、战术决策(为实现战略决策服务的中层决策,如部门流程优化)与作业决策(日常运营中的基层决策,如生产任务分配)。
按决策性质可分为程序化决策(重复出现的、有固定程序可循的决策,如办公用品采购)与非程序化决策(偶然发生的、无固定程序可循的决策,如应对突发危机)。
按决策条件可分为确定型决策(决策环境明确,结果可预测)、风险型决策(决策环境存在多种可能,结果可概率预测)与不确定型决策(决策环境模糊,结果无法预测)。
2.4.2 决策的原则与流程
决策需遵循科学的原则,以确保决策的有效性。
满意原则强调决策无需追求绝对最优,只需在现有条件下找到能满足组织需求的满意方案,兼顾决策效率与效果。
系统原则要求决策需统筹考虑组织内部各要素及组织与外部环境的关系,避免片面决策。
信息原则强调决策需基于充分、准确的信息,避免盲目决策。
风险原则要求决策需充分评估风险,在风险可控的前提下敢于决策,同时制定风险应对预案。
民主原则要求决策过程充分听取各方意见,集思广益,提高决策的科学性与可行性。
决策的基本流程包括七个环节:识别问题,明确决策的出发点与要解决的核心问题;收集信息,围绕问题收集内外部相关信息;制定备选方案,基于信息分析制定多个可行的备选方案;评估备选方案,从可行性、有效性、风险等维度对备选方案进行分析比较;选择最优方案,根据评估结果选择最适合的方案;实施方案,将决策方案转化为具体行动,配置必要的资源并明确责任分工;反馈调整,跟踪方案实施情况,及时发现问题并进行调整优化。
2.4.3 决策的方法
决策方法可分为定性决策方法与定量决策方法。
定性决策方法主要依赖管理者的经验、直觉与判断,适用于非程序化决策、不确定型决策等,常见方法包括头脑风暴法(通过集体讨论激发创意)、德尔菲法(通过匿名多轮咨询收集专家意见)、名义小组技术(小组成员独立思考后进行方案讨论)等。
定量决策方法借助数学模型与数据分析进行决策,适用于程序化决策、风险型决策等,常见方法包括确定型决策的线性规划法(优化资源配置)、风险型决策的决策树法(通过树状图分析各方案的期望收益)、不确定型决策的悲观决策法(小中取大)、乐观决策法(大中取大)、折中法等。
在实际决策中,定性方法与定量方法通常结合使用,既发挥定量方法的科学性,又兼顾定性方法的灵活性,提高决策质量。
2.5 备考核心考点与习题
2.5.1 核心考点梳理
计划的内涵、类型与编制原则,计划在管理中的核心作用。
目标管理的内涵、核心特征与实施流程,SMART 原则的具体内容。
战略管理的内涵、核心环节与战略分析工具的应用。
组织战略的层次划分与各层次战略的核心内容。
决策的内涵、类型、原则、流程与方法,不同决策方法的适用场景。
2.5.2 习题练习
(一)单选题
1. 计划的核心作用不包括( )。
A. 导向作用 B. 协调作用 C. 控制作用 D. 替代决策作用
2. 按计划的明确程度划分,目标模糊、方案灵活的计划属于( )。
A. 具体计划 B. 指导性计划 C. 战略计划 D. 作业计划
3. 目标管理中,目标制定应遵循的 SMART 原则中,“A” 代表( )。
A. 具体性B. 可衡量性C. 可实现性D. 相关性
4. 用于分析组织外部宏观环境的工具是( )。
A. SWOT 分析法 B. PESTEL 分析法 C. 波特五力模型 D. 决策树法
5. 下列属于非程序化决策的是( )。
A. 办公用品采购 B. 应对突发市场危机
B. 日常生产任务分配 D. 员工考勤管理
(二)多选题
1. 按时间跨度划分,计划可分为( )。
A. 短期计划 B. 中期计划
B. 长期计划 D. 战略计划 E. 作业计划
2. 计划编制的基本原则包括( )。
A. 系统性原则 B. 可行性原则
B. 灵活性原则 D. 重点性原则 E. 效益性原则
3. 目标管理的核心特征有( )。
A. 目标明确性 B. 参与性
B. 系统性 D. 反馈性 E. 自我管理性
4. 战略管理的核心环节包括( )。
A. 战略分析B. 战略制定C. 战略实施D. 战略控制E. 战略宣传
5. 定量决策方法适用于( )。
A. 程序化决策 B. 风险型决策
B. 不确定型决策 D. 信息完整的决策 E. 可量化的决策
(三)简答题
1. 简述计划的内涵与核心特征。
2. 简述目标管理的实施流程。
3. 对比 SWOT 分析法与 PESTEL 分析法的适用场景与核心内容。
4. 决策的基本过程包括哪些步骤?
5. 简述战略层次的划分及其核心内容。
第三章 组织职能核心理论
3.1 组织的定义、结构类型与设计原则
3.1.1 组织的内涵
组织是为实现特定目标,由两个或以上的人按一定规则与程序构成的有机整体。其核心要素包括明确的目标、分工协作的成员、规范的规则与程序、一定的资源配置。
组织的本质是通过分工协作提升整体效能,实现个体无法单独完成的目标。在新时代,组织需适应数字化、柔性化发展趋势,构建高效协同、灵活应变的组织形态,更好地服务于经济社会发展。
3.1.2 常见的组织结构类型
不同组织根据规模、业务特点、环境需求等因素,选择不同的组织结构类型,常见类型包括直线制结构,适用于小型组织,结构简单、权责明确、决策迅速,但缺乏专业化分工,管理者负担较重。
职能制结构按职能划分部门(如生产部、营销部、人力资源部),专业化程度高、资源利用效率高,但部门间协调难度大,易出现本位主义。直线职能制结构结合直线制与职能制的优点,既保持直线指挥的统一性,又发挥职能部门的专业参谋作用,是中小型组织的常用结构。
事业部制结构按产品、地区或客户划分事业部,各事业部拥有独立的经营自主权,适应多元化业务发展,但易导致资源重复配置、事业部间竞争过度。矩阵制结构同时按职能与项目划分部门,项目团队由不同职能部门的人员组成,灵活性强、协同性好,适用于复杂项目管理,但存在双重领导、协调成本高的问题。
网络型结构以核心组织为枢纽,通过合作协议与外部组织建立联系,实现资源共享与优势互补,结构灵活、成本较低,适用于创新型、资源有限的组织,但对核心组织的协调能力与控制能力要求较高。
3.1.3 组织设计的核心原则
组织设计是构建组织结构的过程,需遵循科学原则以确保组织高效运行。目标一致性原则要求组织结构设计需围绕组织目标展开,所有部门与岗位的设置都应服务于目标实现,确保组织整体目标与局部目标保持一致。
分工协作原则要求明确各部门与岗位的职责分工,同时强调部门间、岗位间的协作配合,避免分工过细导致的沟通壁垒与效率低下。权责对等原则要求明确每个岗位的权力与责任,确保权力与责任相匹配,既避免有权无责导致的滥用权力,又避免有责无权导致的工作受阻。
统一指挥原则要求每个下属只接受一个上级的直接指挥,避免双重领导或多头领导导致的指令混乱与执行困难。集权与分权相结合原则要求根据组织规模、业务特点、环境稳定性等因素,合理划分集权与分权的范围,既保证组织整体的统一性,又充分调动基层的积极性与灵活性。
柔性化原则要求组织结构设计预留调整空间,适应数字化时代环境快速变化的需求,如采用平台化、微粒化的组织形态,提升组织的应变能力。
3.2 组织变革与发展理论
3.2.1 组织变革的内涵与动因
组织变革是组织为适应内外部环境变化,对组织结构、流程、文化、人员等方面进行的调整与优化过程。其核心目的是提升组织适应能力与核心竞争力,实现可持续发展。
组织变革的动因主要包括外部动因与内部动因。外部动因包括市场竞争加剧、技术变革(如数字化、人工智能的发展)、政策法规调整、社会需求变化、经济环境波动等。内部动因包括组织目标调整、组织结构僵化、绩效下滑、人员结构变化、组织文化滞后等。
在数字化时代,组织面临的环境变化日益频繁,变革已成为组织生存与发展的必然选择,如传统企业向平台化、数字化转型,以应对市场竞争与技术变革的挑战。
3.2.2 组织变革的类型与内容
组织变革按变革范围可分为全面变革(涉及组织整体的系统性变革)与局部变革(针对特定部门或环节的变革)。按变革程度可分为渐进式变革(逐步推进、平稳过渡的变革)与激进式变革(快速、剧烈的变革)。
组织变革的核心内容包括结构变革,调整组织结构类型、部门设置、权责划分、管理幅度与管理层次等,如扁平化改革、事业部制重组。
流程变革优化组织的业务流程与管理流程,消除冗余环节、提升流程效率,如数字化流程再造、精益管理流程优化。
文化变革调整组织的价值观、经营理念、行为规范等,塑造适应变革需求的组织文化,如从封闭型文化向开放型文化转变、从层级型文化向协作型文化转变。
人员变革提升组织成员的技能、态度与行为,通过培训、激励等方式引导成员适应变革,如数字化技能培训、创新思维培养。
3.2.3 组织变革的过程与阻力管理
组织变革的过程通常遵循一定的规律,库尔特・勒温提出的“解冻 - 变革 - 再冻结”模型是经典的变革过程理论。解冻阶段的核心是打破组织原有的平衡状态,通过宣传变革的必要性、消除成员的抵触情绪,为变革创造条件。
变革阶段是实施具体变革措施的过程,包括调整组织结构、优化流程、塑造新文化等,需加强沟通协调,及时解决变革中出现的问题。再冻结阶段是巩固变革成果的过程,通过建立新的制度、规范与文化,使变革后的状态稳定下来,避免组织回归原有模式。
组织变革不可避免会遇到阻力,阻力主要来自个体层面(如害怕未知、习惯改变、利益受损、能力不足)与组织层面(如结构僵化、文化滞后、权力格局固化)。
管理变革阻力的有效方法包括加强沟通宣传,向成员清晰解释变革的原因、目标与好处,争取理解与支持;充分参与,让成员参与变革方案的制定与实施过程,增强归属感与认同感;提供支持与培训,为成员适应变革提供必要的资源支持与技能培训;合理激励,对积极参与变革、做出贡献的成员给予奖励;分步实施,将变革分解为多个小步骤逐步推进,降低变革的冲击性。
3.3 人力资源管理核心理论
3.3.1 人力资源管理的内涵与核心职能
人力资源管理是组织围绕人力资源的获取、开发、使用、保留等环节开展的一系列管理活动,其核心目标是吸引、激励、发展与保留优秀人才,实现人力资源的优化配置,支撑组织目标实现。
与传统人事管理相比,现代人力资源管理更强调以人为本,将人力资源视为组织的核心战略资源,注重人力资源与组织战略的协同匹配。
人力资源管理的核心职能包括人力资源规划,基于组织战略与业务需求,预测人力资源供需状况,制定人员招聘、配置、晋升、退休等规划。
招聘与选拔,通过多种渠道吸引潜在候选人,运用科学的选拔方法(如面试、笔试、测评)挑选符合岗位要求的人才。
培训与开发,根据组织需求与员工发展需求,开展入职培训、技能培训、管理培训等,提升员工能力与素质,促进员工职业发展。
绩效管理,建立科学的绩效评价体系,对员工的工作表现进行客观评估,为薪酬调整、晋升、培训等提供依据。
薪酬福利管理,设计合理的薪酬体系(如基本工资、绩效工资、奖金、股权)与福利制度(如社会保险、带薪休假、员工关怀),吸引与保留人才,激励员工积极工作。
员工关系管理,维护良好的劳资关系,处理员工投诉与纠纷,营造和谐的工作氛围,提升员工满意度与归属感。
3.3.2 人力资源规划与招聘选拔
人力资源规划是人力资源管理的基础性职能,其核心流程包括需求预测,通过分析组织战略、业务增长、人员流失等因素,预测未来一定时期内的人力资源需求数量与质量。
供给预测,分析组织内部现有人员的数量、质量、结构及流动趋势,同时评估外部劳动力市场的供给状况,预测人力资源供给能力。
供需平衡分析,对比人力资源需求与供给,识别供需缺口(供不应求或供过于求),并制定相应的平衡策略,如供不应求时采取招聘、晋升、培训等措施,供过于求时采取裁员、调岗、提前退休等措施。
招聘是获取人力资源的关键环节,需制定明确的招聘计划,包括招聘岗位、人数、任职资格、招聘渠道、招聘时间等。招聘渠道包括内部招聘(如内部晋升、岗位轮换)与外部招聘(如网络招聘、校园招聘、猎头招聘、招聘会)。
内部招聘能提升员工积极性、降低招聘成本、缩短适应期,但可能导致人才同质化;外部招聘能引入新鲜血液、拓宽人才视野、满足特殊岗位需求,但招聘成本高、适应期长。选拔过程需遵循公平、公正、公开的原则,运用简历筛选、笔试、面试、心理测评、背景调查等多种方法,全面评估候选人的能力、素质、经验与价值观,确保选拔出的人才符合岗位要求与组织文化。
3.3.3 培训开发与绩效管理
员工培训与开发是提升人力资源质量的核心手段,需遵循系统性、针对性、实用性的原则。培训需求分析是培训开发的前提,通过访谈、问卷调查、绩效分析等方式,识别组织层面、部门层面与员工个人层面的培训需求。
培训计划制定需明确培训目标、内容、方式、时间、师资、预算等,培训方式包括内部培训(如导师制、内部讲座)、外部培训(如公开课、研讨会)、在线培训(如网络课程、直播培训)、实践培训(如轮岗、项目实践)等。
培训效果评估是培训开发的重要环节,可通过反应评估(员工对培训的满意度)、学习评估(员工对知识技能的掌握程度)、行为评估(员工培训后的行为变化)、结果评估(培训对组织绩效的影响)四个层面进行,根据评估结果优化培训方案。
绩效管理是人力资源管理的核心环节,其核心目的是通过客观评价员工绩效,激励员工提升工作效率与质量,促进组织目标实现。绩效管理的流程包括绩效计划制定,上级与下级共同协商确定绩效目标与评价标准,确保目标清晰、可衡量。
绩效实施与监控,在绩效周期内,上级对下级的工作进行指导、支持与监控,及时反馈问题并提供改进建议。
绩效评估,按照既定评价标准,通过上级评价、下级评价、同级评价、自我评估、客户评价等多种方式,对员工绩效进行全面评估。
绩效反馈与面谈,上级与下级就绩效评估结果进行沟通,肯定成绩、指出不足,共同制定绩效改进计划。
绩效结果应用,将绩效评估结果与薪酬调整、晋升、培训、奖惩等挂钩,充分发挥绩效管理的激励作用。
3.3.4 薪酬福利与员工关系管理
薪酬福利管理的核心是设计公平、合理、具有竞争力的薪酬福利体系,既要吸引与保留优秀人才,又要控制人力资源成本。薪酬体系设计需遵循公平性原则(内部公平、外部公平、个人公平)、竞争性原则(薪酬水平不低于同行业同类岗位平均水平)、激励性原则(薪酬与绩效挂钩,鼓励优秀绩效)、经济性原则(薪酬水平与组织承受能力相匹配)。
薪酬结构通常包括基本工资(保障员工基本生活)、绩效工资(与绩效挂钩的浮动薪酬)、奖金(对特殊贡献的奖励)、津贴补贴(如交通补贴、住房补贴)、股权期权(长期激励)等。
福利制度包括法定福利(如养老保险、医疗保险、失业保险、工伤保险、生育保险、住房公积金)与企业自主福利(如带薪休假、节日福利、健康体检、员工食堂、子女教育补贴),丰富的福利能提升员工满意度与归属感。
员工关系管理的核心是构建和谐、平等、互助的劳资关系,营造积极向上的工作氛围。其主要内容包括劳动合同管理,规范劳动合同的签订、履行、变更、解除与终止,保障劳资双方的合法权益。
沟通管理建立畅通的沟通渠道(如员工大会、座谈会、意见箱、内部网络平台),及时倾听员工诉求,解决员工问题,增强员工与组织的沟通与信任。
冲突管理及时识别与化解员工之间、部门之间、员工与组织之间的冲突,避免冲突升级影响工作秩序与组织氛围。
员工关怀关注员工的工作与生活需求,如提供心理健康咨询、困难员工帮扶、职业发展指导等,让员工感受到组织的温暖,提升员工的忠诚度与敬业度。
3.4 备考核心考点与习题
3.4.1 核心考点梳理
组织的内涵、常见组织结构类型的特点与适用场景。
组织设计的核心原则,不同原则的具体应用要求。
组织变革的动因、类型、过程与阻力管理方法。
人力资源管理的核心职能,各职能的关键流程与方法。
薪酬体系设计的原则,绩效管理的流程与绩效结果的应用。
3.4.2 习题练习
(一)单选题
1. 适用于规模大、业务多元化的组织的组织结构是( )。
A. 直线制 B. 直线职能制 C. 事业部制 D. 矩阵制
2. 组织设计中,“每个下属只接受一个上级的直接指挥”体现的原则是( )。
A. 权责对等原则 B. 统一指挥原则
B. 分工协作原则 D. 柔性化原则
3. 组织变革的 “解冻 - 变革 - 再冻结” 模型的提出者是( )。
A. 库尔特・勒温 B. 彼得・德鲁克
B. 弗雷德里克・泰勒 D. 亨利・法约尔
4. 人力资源管理的核心环节是( )。
A. 招聘甄选 B. 培训开发 C. 绩效管理 D. 薪酬福利管理
5. 下列属于外部招聘优势的是( )。
A. 降低招聘成本 B. 引入新鲜血液
B. 缩短适应期 D. 提升内部员工积极性
(二)多选题
1. 常见的组织结构类型包括( )。
A. 直线制 B. 职能制 C. 直线职能制 D. 事业部制 E. 矩阵制
2. 组织设计的基本原则有( )。
A. 目标一致性原则 B. 权责对等原则
B. 统一指挥原则 D. 集权与分权相结合原则 E. 柔性化原则
3. 组织变革的驱动因素包括( )。
A. 技术进步 B. 市场需求变化
B. 竞争加剧 D. 组织内部矛盾 E. 政策法规调整
4. 人力资源管理的核心职能包括( )。
A. 人力资源规划 B. 招聘与甄选
B. 培训与开发 D. 绩效管理 E. 薪酬福利管理
5. 薪酬体系设计的原则包括( )。
A. 公平性原则 B. 竞争性原则
B. 激励性原则 D. 经济性原则 E. 合法性原则
(三)简答题
1. 简述矩阵制组织结构的优缺点。
2. 简述组织变革的基本过程与阻力管理方法。
3. 人力资源管理各核心职能之间的内在联系是什么?
4. 简述绩效管理的完整流程。
5. 组织设计需考虑哪些关键因素?
第四章 领导职能核心理论
4.1 领导理论
4.1.1 领导的内涵与核心要素
领导是管理者运用自身影响力,引导、激励组织成员为实现组织目标而共同努力的过程。与管理相比,领导更强调影响力、愿景引导与员工激励,而管理更强调计划、组织、控制与流程规范。
领导的核心要素包括领导者,是领导活动的主导者,需具备良好的品德、能力、知识与魅力;追随者,是领导活动的对象,需具备一定的素质与能力,愿意接受领导者的引导;影响力,是领导者影响追随者的能力,包括权力影响力(如职位权力、法定权力)与非权力影响力(如个人魅力、专业能力、情感纽带);目标,是领导活动的方向,领导者需带领追随者共同实现组织目标;环境,是领导活动的背景,领导者需根据环境变化调整领导方式。
在新时代,领导者需具备战略思维、创新思维、辩证思维、法治思维与底线思维,引领组织在复杂环境中实现高质量发展。
4.1.2 经典领导理论
经典领导理论的发展经历了多个阶段,形成了丰富的理论成果。特质理论是早期的领导理论,聚焦领导者的个人特质,认为具备特定特质(如智慧、自信、正直、责任感、沟通能力)的人更适合担任领导者。该理论为领导者选拔提供了参考,但忽视了环境因素与追随者的作用,且不同研究对领导特质的界定存在差异,缺乏统一标准。
行为理论关注领导者的具体行为,通过研究领导者的行为风格与下属绩效的关系,寻找有效的领导行为模式。最具代表性的是俄亥俄州立大学的双维理论,将领导行为分为结构维度(关注任务完成、明确权责)与关怀维度(关注下属需求、建立信任),认为高结构 - 高关怀的领导风格最有效。密歇根大学的研究将领导行为分为生产导向(关注任务效率)与员工导向(关注下属发展),认为员工导向的领导风格更能提升下属满意度与绩效。
权变理论突破了 “存在最佳领导风格” 的认知,主张领导效果取决于领导者、追随者与环境的相互作用,不同情境下需采用不同的领导风格。菲德勒权变领导模型认为,领导风格(任务导向或关系导向)是固定的,需通过调整情境(领导者与下属的关系、任务结构、职位权力)来匹配领导风格。
赫塞 - 布兰查德情境领导模型根据下属的成熟度(工作能力与工作意愿)将领导情境分为四种,对应四种领导风格:命令型(高任务 - 低关系)、说服型(高任务 - 高关系)、参与型(低任务 - 高关系)、授权型(低任务 - 低关系),领导者需根据下属成熟度动态调整领导风格。路径 - 目标理论认为,领导者的核心职责是为下属指明实现目标的路径,清除障碍,提供支持,领导风格需根据下属特征与环境因素调整,包括指导型、支持型、参与型、成就导向型四种风格。
4.1.3 现代领导理论
现代领导理论更注重领导力的多元化与动态性,变革型领导理论是其中的重要代表。该理论将领导分为交易型领导与变革型领导,交易型领导通过明确任务、奖惩机制引导下属完成目标,而变革型领导通过愿景激励、智力激发、个性化关怀等方式,激发下属的内在动力与创新精神,带领组织实现变革与突破。
变革型领导能提升下属的工作满意度、组织承诺与绩效,是新时代组织变革与创新的重要支撑。魅力型领导理论聚焦领导者的个人魅力,认为魅力型领导者具备强烈的愿景、坚定的信念、卓越的沟通能力与感染力,能吸引下属的追随与认同,激发下属的工作热情。
魅力型领导者通常能在危机时刻或组织变革阶段发挥重要作用,但需注意避免个人崇拜与权力滥用。 服务型领导(Servant Leadership)理论强调领导者的核心是服务他人,领导者的首要职责是满足下属的需求、促进下属的成长与发展,通过服务下属来实现组织目标。服务型领导注重倾听、共情、 治愈、赋能与社区建设,能营造信任、协作的组织氛围,提升组织凝聚力与可持续发展能力。
4.2 激励理论
4.2.1 激励的内涵与作用
激励是通过激发个体的内在动力,引导其行为指向组织目标的过程。其核心是满足个体的需求,调动个体的积极性、主动性与创造性。激励在管理中具有重要作用,能提升员工工作效率与绩效,通过激发员工潜能,使员工更高效地完成工作任务;能增强员工的组织归属感与忠诚度,减少员工流失;能促进员工个人发展,通过激励引导员工不断提升自身能力与素质;能营造积极向上的组织氛围,激发团队活力与创新精神。
在新时代,激励需更加注重个性化与多元化,满足不同员工的需求,如新生代员工对自我实现、工作生活平衡、个性化发展的需求。
4.2.2 内容型激励理论
内容型激励理论聚焦于“激励的内容是什么”,即个体的需求类型与结构,核心是通过满足个体需求来实现激励。马斯洛的需求层次理论将人的需求分为生理需求、安全需求、社交需求、尊重需求与自我实现需求五个层次,需求具有层级递进性,低层次需求满足后,高层次需求才会成为主导动机。
该理论为激励提供了分层思路,如对基层员工侧重满足生理与安全需求,对高层员工侧重满足尊重与自我实现需求。赫茨伯格的双因素理论将影响员工满意度的因素分为保健因素与激励因素,保健因素与工作环境相关(如薪资、公司政策、人际关系),改善保健因素能消除员工不满,但无法带来满意;激励因素与工作内容相关(如成就、认可、责任、晋升),只有激励因素才能真正激发员工的内在动力。
该理论启示管理者,不能仅靠提高薪资、改善福利等保健因素留人,更需通过丰富工作内容、给予认可与晋升机会等激励因素激发员工积极性。麦克利兰的成就需要理论认为,人的核心需求包括成就需要(追求卓越、实现目标)、权力需要(影响他人、控制环境)与亲和需要(建立良好人际关系),不同人对三种需求的强度不同。
管理者需根据员工的需求类型采取不同的激励方式,如对成就需要强的员工分配具有挑战性的任务,对权力需要强的员工给予更多的责任与权限。
4.2.3 过程型激励理论
过程型激励理论聚焦于“激励如何发生”,即个体行为的决策过程,核心是揭示需求转化为行为的心理机制。弗鲁姆的期望理论认为,激励力 = 效价 × 期望值 × 工具性,效价是个体对目标价值的主观判断,期望值是个体对实现目标可能性的估计,工具性是个体对实现目标后获得回报的信任程度。
该理论启示管理者,要提高激励效果,需让员工明确目标价值(提高效价)、增强员工对实现目标的信心(提高期望值)、确保回报与绩效挂钩(提高工具性)。亚当斯的公平理论认为,员工的激励程度取决于其对自身付出与回报的公平感,员工会将自己的付出 - 回报比与他人(或自己过去)的付出 - 回报比进行对比。
如果感到公平,员工会保持原有工作积极性;如果感到不公平(如付出多回报少),员工会通过减少付出、要求加薪、离职等方式恢复公平感。该理论启示管理者,要建立公平的薪酬体系、绩效评估体系与晋升机制,确保员工感受到公平对待。
洛克的目标设置理论认为,明确、具体、具有挑战性的目标能有效激发员工的工作积极性,目标设置需满足 SMART 原则,同时员工参与目标制定、获得目标反馈能进一步提升激励效果。该理论为目标管理提供了理论支撑,也为管理者制定激励目标提供了参考。
4.2.4 行为改造型激励理论
行为改造型激励理论聚焦于“如何调整个体行为”,即通过对个体行为的强化或惩罚来引导行为方向。斯金纳的强化理论认为,个体的行为是对外界环境刺激的反应,通过对行为结果的强化(正强化、负强化、惩罚、消退)可以调整行为发生的频率。
正强化是对符合期望的行为给予奖励(如奖金、表扬),以增加该行为的发生频率;负强化是通过消除或减少不愉快的刺激(如取消惩罚)来增加符合期望的行为;惩罚是对不符合期望的行为给予负面反馈(如批评、罚款),以减少该行为的发生频率;消退是对不符合期望的行为不予强化,使其逐渐消失。
该理论启示管理者,要善于运用正强化激励员工的积极行为,尽量避免使用惩罚,同时及时强化员工的良好行为,确保强化的及时性与有效性。班杜拉的社会学习理论认为,个体的行为不仅通过直接强化获得,还通过观察学习(模仿他人行为)获得。
管理者可以通过树立榜样(如优秀员工、领导者),让员工通过观察榜样的行为及其结果,学习积极的工作行为。同时,管理者自身的行为也会对员工产生重要的示范作用,需注重自身行为的规范性与示范性。
4.3 沟通理论
4.3.1 沟通的内涵与重要性
沟通是信息发送者通过一定的渠道,将信息传递给接收者,并获得反馈的过程。其核心要素包括信息发送者、信息、沟通渠道、信息接收者、反馈与沟通环境。
沟通在管理中具有不可替代的作用,是决策制定的基础,通过沟通收集必要的信息,确保决策的科学性;是协调组织关系的关键,通过沟通化解部门间、员工间的矛盾与冲突,促进协作配合;是激励员工的重要手段,通过沟通明确员工的工作目标、反馈工作绩效、倾听员工诉求,增强员工的归属感与积极性;是构建组织文化的载体,通过沟通传递组织的价值观、经营理念,凝聚组织共识。
在数字化时代,沟通的渠道更加多元化,但也面临信息过载、沟通壁垒等问题,有效沟通成为管理者的核心能力之一。
4.3.2 沟通的类型
根据不同分类标准,沟通可划分为多种类型。按沟通渠道可分为正式沟通与非正式沟通,正式沟通是通过组织规定的渠道进行的沟通(如会议、报告、公文、规章制度),具有权威性、规范性、准确性,但沟通效率较低;非正式沟通是通过组织规定渠道以外的方式进行的沟通(如私下交谈、小道消息、社交媒体),具有灵活性、及时性、亲和力,但信息易失真。
按沟通方向可分为上行沟通(下属向上级传递信息,如汇报工作、提出建议)、下行沟通(上级向下属传递信息,如发布指令、传达政策)与平行沟通(同级之间传递信息,如部门间协调、同事间交流),三种沟通方向需相互配合,确保信息传递的完整性与顺畅性。
按沟通方式可分为口头沟通(如面谈、会议、电话)与书面沟通(如邮件、报告、公文、备忘录),口头沟通灵活高效、能及时反馈,但信息易遗忘、缺乏凭证;书面沟通准确规范、有凭证可查,但沟通效率较低、缺乏灵活性。
按沟通是否有反馈可分为单向沟通(信息发送者向接收者传递信息,无需反馈,如演讲、广播)与双向沟通(信息发送者与接收者相互传递信息,有反馈互动,如面谈、讨论),双向沟通能确保信息准确传递、满足接收者需求,但沟通成本较高;单向沟通效率高,但信息易失真、接收者满意度低。
4.3.3 沟通的障碍与有效沟通技巧
沟通障碍是影响沟通效果的因素,主要包括发送者障碍(如表达不清、信息编码错误、知识经验不足)、接收者障碍(如倾听不认真、信息解码错误、偏见、情绪波动)、沟通渠道障碍(如渠道选择不当、信息过载、技术故障)与沟通环境障碍(如噪音干扰、文化差异、物理距离)。
克服沟通障碍、实现有效沟通的技巧包括明确沟通目标,沟通前明确“要传递什么信息”“要达到什么效果”,确保沟通围绕目标展开;清晰表达信息,使用简洁、准确、通俗易懂的语言,避免模糊不清、专业术语过多,同时结合肢体语言、语气语调增强表达效果;积极倾听,倾听是沟通的重要环节,接收者需专注倾听、不打断对方、适时回应(如点头、提问),理解对方的真实意图,避免主观臆断;选择合适的沟通渠道,根据沟通内容、对象、情境选择适配的沟通渠道,如重要信息选择正式沟通、紧急信息选择口头沟通;重视反馈,发送者需主动询问接收者的理解情况,接收者需及时反馈自己的想法与疑问,确保信息传递准确;尊重文化差异与个体差异,关注不同文化背景、性格特点的沟通对象的差异,调整沟通方式,避免因差异导致的沟通误解;控制情绪,沟通时保持冷静、理性,避免情绪波动影响沟通效果,尤其是在出现矛盾或分歧时,更需以平和的心态沟通解决。
4.4 备考核心考点与习题
4.4.1 核心考点梳理
领导的内涵与核心要素,领导与管理的区别与联系。
经典领导理论(特质理论、行为理论、权变理论)的核心观点与代表模型。
现代领导理论(变革型领导、魅力型领导、服务型领导)的核心特征。
激励的内涵与作用,主要激励理论(内容型、过程型、行为改造型)的核心观点与实践应用。
沟通的类型、沟通障碍的来源与有效沟通技巧。
4.4.2 习题练习
(一)单选题
1. 认为 “领导效果取决于领导者、被领导者与情境匹配” 的理论是( )。
A. 特质理论 B. 行为理论 C. 权变理论 D. 变革型领导理论
2. 双因素理论中,能真正激发员工内在动力的是( )。
A. 保健因素 B. 激励因素 C. 生理因素 D. 安全因素
3. 根据赫塞 - 布兰查德情境领导模型,当下属成熟度低(能力低、意愿高)时,应采用的领导风格是( )。
A. 命令型 B. 说服型 C. 参与型 D. 授权型
4. 公平理论的提出者是( )。
A. 弗鲁姆 B. 亚当斯 C. 斯金纳 D. 洛克
5. 沟通中因个体价值观、思维方式差异导致的障碍属于( )。
A. 语义障碍 B. 认知障碍 C. 情绪障碍 D. 渠道障碍
(二)多选题
1. 领导的核心要素包括( )。
A. 领导者 B. 被领导者 C. 影响力 D. 领导目标 E. 领导环境
2. 内容型激励理论包括( )。
A. 需求层次理论 B. 双因素理论
B. 成就需要理论 D. 公平理论 E. 期望理论
3. 权变理论的代表模型有( )。
A. 菲德勒权变领导模型 B. 赫塞 - 布兰查德情境领导模型
B. 路径 - 目标理论 D. 管理方格理论 E. 特质理论
4. 沟通的类型按方向可分为( )。
A. 上行沟通 B. 下行沟通
B. 平行沟通 D. 正式沟通 E. 非正式沟通
5. 变革型领导的核心行为包括( )。
A. 理想化影响力 B. 鼓舞性激励
B. 智力激发 D. 个性化关怀 E. 严格监督控制
(三)简答题
1. 简述领导与管理的区别与联系。
2. 简述期望理论的核心观点及其对管理实践的启示。
3. 沟通障碍的主要类型有哪些?如何实现有效沟通?
4. 对比交易型领导与变革型领导的核心差异。
5. 简述强化理论的核心观点及应用原则。
第五章 控制职能核心理论
5.1 控制的内涵及类型
5.1.1 控制的内涵与核心要素
控制是管理者根据既定计划与目标,对组织活动的实际进展进行监测、对比、分析,发现偏差并采取纠正措施,以确保组织活动按计划顺利推进、目标实现的过程。
控制是管理的重要职能,与计划、组织、领导职能密切配合,构成完整的管理循环。计划为控制提供依据,控制为计划的实现提供保障,没有控制的计划只是空中楼阁。
控制的核心要素包括控制标准,是衡量实际绩效的依据,通常基于计划目标制定,需明确、具体、可衡量;实际绩效,是组织活动的实际结果,需通过科学的测量方法获取准确数据;偏差分析,是对比控制标准与实际绩效,识别两者之间的差异(包括正偏差与负偏差),并分析偏差产生的原因(如计划不合理、执行不力、环境变化);纠正措施,是针对偏差产生的原因采取的调整行动,以消除偏差、确保目标实现。
在新时代,控制需适应数字化、动态化的管理环境,运用先进技术提升控制的精准性与时效性。
5.1.2 控制的重要性
控制在管理中具有不可替代的作用,是确保组织目标实现的最后一道屏障,通过及时发现并纠正偏差,避免组织活动偏离计划目标。
控制能提升组织活动的效率与效果,通过监测组织资源的使用情况,优化资源配置,减少浪费,提升工作效率;通过评估工作成果,改进工作方法,提升工作质量。
控制能增强组织的适应能力,通过监测外部环境变化与内部活动进展,及时调整计划与策略,应对环境变化带来的挑战。
控制能为决策提供依据,通过收集实际绩效数据与偏差信息,为后续的计划调整、决策优化提供真实可靠的参考。
控制能规范组织成员的行为,通过明确控制标准与奖惩机制,引导组织成员按计划开展工作,避免违规行为。
5.1.3 控制的主要类型
根据不同分类标准,控制可划分为多种类型。
按控制实施的时间可分为事前控制、事中控制与事后控制。事前控制又称预先控制,是在组织活动开始前进行的控制,通过制定标准、明确要求、排查风险,预防偏差的发生,如制定规章制度、进行员工培训、开展风险评估。事前控制能防患于未然,控制成本低、效果好,但需要充分的信息与科学的预测能力。事中控制又称现场控制,是在组织活动进行过程中进行的控制,通过实时监测、现场指导、及时纠正,确保活动按计划推进,如生产过程中的质量检验、会议过程中的进度把控、服务过程中的实时调整。事中控制能及时纠正偏差,避免偏差扩大,但对管理者的现场指挥能力与反应速度要求较高。事后控制又称反馈控制,是在组织活动结束后进行的控制,通过分析实际绩效、总结经验教训,为后续活动的改进提供依据,如绩效评估、项目总结、客户满意度调查。事后控制能总结经验、改进未来,但无法挽回已发生的损失,控制效果具有滞后性。
按控制主体可分为正式控制与非正式控制。正式控制是通过组织规定的制度、流程、奖惩机制进行的控制,如管理层的监督、绩效考核、规章制度约束,具有权威性与规范性。非正式控制是通过组织文化、团队规范、人际关系等进行的控制,如同事间的相互监督、组织价值观的引导、个人的自我约束,具有灵活性与隐蔽性。
按控制方式可分为集中控制与分散控制。集中控制是由组织高层统一制定控制标准、进行监测与决策,适用于小型组织或环境稳定的组织,控制效率高、统一性强,但灵活性差、对高层能力要求高。分散控制是由各部门或基层组织自主制定控制标准、进行监测与决策,适用于大型组织或环境复杂的组织,灵活性强、适应性好,但易出现控制标准不一致、协调成本高的问题。
按控制手段可分为直接控制与间接控制。直接控制是通过直接干预组织成员的行为来实现控制,如命令、监督、检查,控制直接、迅速,但易引起下属抵触。间接控制是通过调整制度、流程、激励机制等间接影响组织成员的行为,如优化薪酬体系、完善工作流程、塑造组织文化,控制温和、持久,但见效较慢。
5.2 控制的要求
5.2.1 准确性要求
控制的准确性是控制有效性的基础,要求控制标准明确具体、可衡量,避免模糊不清;要求实际绩效数据的收集与测量科学准确,采用可靠的测量方法与工具,确保数据真实反映组织活动的实际情况;要求偏差分析客观公正,避免主观臆断或片面分析,准确识别偏差的大小、方向与原因;要求纠正措施针对性强,基于偏差原因制定具体可行的措施,避免盲目行动。
不准确的控制会导致决策失误、资源浪费,甚至影响组织目标的实现,如错误的绩效数据会导致不公平的奖惩,模糊的控制标准会导致员工行为混乱。
5.2.2 及时性要求
控制的及时性要求管理者及时监测组织活动进展,及时收集实际绩效数据,避免数据滞后影响偏差判断;及时分析偏差,在偏差刚出现或尚未扩大时就识别并分析原因;及时采取纠正措施,避免偏差扩大导致更大的损失。
在数字化时代,环境变化日益迅速,组织活动的动态性增强,对控制的及时性要求更高。例如,在市场竞争激烈的行业,企业需及时监测市场需求变化与竞争对手动态,调整产品策略与营销策略,否则会错失市场机会。
5.2.3 适度性要求
控制的适度性要求控制范围合理,聚焦组织的核心目标与关键环节,避免控制过细导致的效率低下与成本增加,也避免控制过宽导致的重要环节失控;要求控制强度适中,既要确保组织活动不偏离目标,又要给予员工一定的自主空间,避免过度控制导致的员工积极性受挫;要求控制成本与控制收益相匹配,避免为追求完美控制而投入过高成本,确保控制活动的经济性。
适度控制的关键是找到控制与自主、成本与收益的平衡点,如对核心业务流程进行严格控制,对非核心业务给予更多的自主空间。
5.2.4 灵活性要求
控制的灵活性要求控制体系具备适应环境变化的能力,当外部环境或内部条件发生变化时,能及时调整控制标准、控制方法与纠正措施,避免控制体系僵化导致的控制失效。
例如,当市场需求突然发生变化时,企业需调整生产计划与控制标准,而不是僵化地按照原有标准进行控制;当新技术、新方法出现时,企业需更新控制工具与测量方法,提升控制效率。
灵活性要求管理者具备动态思维,密切关注环境变化,及时调整控制策略,确保控制始终适应组织发展的需求。
5.2.5 全员参与要求
控制不是管理者的单方面行为,而是需要组织全体成员共同参与的过程。组织成员是组织活动的执行者,熟悉具体工作流程与实际情况,其参与控制能提升控制的针对性与有效性。
全员参与要求明确组织成员在控制中的职责,如基层员工需及时反馈工作中的问题与偏差,中层管理者需监测部门工作进展并进行过程控制,高层管理者需制定控制战略与标准;要求建立畅通的沟通渠道,确保组织成员能及时传递偏差信息、提出改进建议;要求建立激励机制,对积极参与控制、有效发现并纠正偏差的员工给予奖励,激发员工参与控制的积极性。
5.3 控制的过程
5.3.1 制定控制标准
制定控制标准是控制过程的第一步,也是控制的基础。控制标准通常基于组织的计划目标制定,需遵循 SMART 原则,即明确具体(Specific)、可衡量(Measurable)、可实现(Achievable)、相关性(Relevant)、时限性(Time-bound)。
制定控制标准的步骤包括:明确计划目标,将组织整体目标分解为部门目标、团队目标与个人目标,确保控制标准与目标保持一致;选择关键控制点,识别对目标实现起决定性作用的环节或因素,如生产流程中的质量控制点、营销活动中的销售额控制点,聚焦关键控制点制定标准,提升控制效率;确定标准的具体内容,根据关键控制点的特点,制定量化或定性的标准,量化标准更便于测量与对比,如 “月度销售额达到 100 万元”“产品合格率不低于 99.5%”,定性标准需明确判断依据,如 “客户满意度良好” 需明确良好的具体指标(如投诉率低于 1%);修订与完善标准,根据环境变化、计划调整与实践反馈,及时修订控制标准,确保标准的科学性与适应性。
5.3.2 衡量实际绩效
衡量实际绩效是收集组织活动实际进展数据的过程,其核心是确保数据的准确性、及时性与完整性。衡量实际绩效的步骤包括选择合适的测量方法与工具,根据控制标准的类型选择对应的测量方法,如量化标准可采用统计报表、财务数据、传感器数据等,定性标准可采用问卷调查、访谈、观察等;确定测量频率,根据控制对象的特点与重要性确定测量频率,关键控制点需增加测量频率,如生产质量需实时监测,月度销售额需每月测量;收集实际绩效数据,按照测量方法与频率收集数据,确保数据真实、完整,避免数据造假或遗漏;整理与分析数据,对收集到的数据进行分类、整理与初步分析,将原始数据转化为可与控制标准对比的信息,如将每日生产数据汇总为月度生产报告。
5.3.3 分析偏差
分析偏差是对比控制标准与实际绩效,识别差异并分析原因的过程。分析偏差的步骤包括:对比标准与实际绩效,计算实际绩效与控制标准的差异程度与方向,明确偏差的大小(如销售额实际完成 80 万元,标准为 100 万元,偏差为 - 20 万元)与类型(正偏差或负偏差);判断偏差的重要性,不是所有偏差都需要采取纠正措施,需根据偏差的大小、影响范围、持续时间等判断偏差是否重要,如轻微的、偶然的偏差可能无需处理,严重的、持续的偏差需重点关注;分析偏差产生的原因,偏差产生的原因通常包括计划不合理(如标准过高或过低)、执行不力(如员工能力不足、态度不认真)、环境变化(如市场需求下降、政策调整)、资源不足(如资金短缺、设备故障)等,需通过调查研究、数据分析、沟通访谈等方式准确识别原因。
5.3.4 采取纠正措施
采取纠正措施是控制过程的最后一步,也是控制的核心目的。采取纠正措施的步骤包括:制定纠正措施,根据偏差产生的原因制定具体可行的措施,如计划不合理需调整计划与标准,执行不力需加强培训、监督或激励,环境变化需调整策略,资源不足需补充资源;评估纠正措施的可行性与效果,对制定的纠正措施进行论证,确保措施在技术、资源、时间等方面可行,同时预测措施实施后的效果;实施纠正措施,明确措施的执行主体、执行时间、执行步骤,确保措施有效落地;监测措施实施效果,跟踪纠正措施的实施过程,评估措施是否有效消除偏差,如偏差未消除或出现新的偏差,需及时调整措施。
5.4 控制的方法
5.4.1 预算控制
预算控制是通过编制预算并根据预算对组织资源的分配与使用进行控制的方法,是最常用的控制方法之一。预算控制的核心是将组织目标转化为预算指标,通过预算约束资源使用,确保资源投入与组织目标一致。
预算的类型包括经营预算(如销售预算、生产预算、采购预算、费用预算)、财务预算(如现金预算、利润预算、资产负债预算)与资本预算(如投资预算)。预算控制的步骤包括:编制预算,基于组织计划目标,结合历史数据与未来预测,编制详细的预算方案,确保预算的科学性与可行性;执行预算,在组织活动中严格按照预算分配资源、控制支出,避免超预算支出;监测预算执行情况,定期对比实际支出与预算,分析预算偏差,识别超预算或未达预算的项目;调整预算与采取措施,根据预算执行情况与环境变化,及时调整预算(如必要时进行预算追加或削减),对超预算项目分析原因并采取控制措施。
预算控制的优点是明确性强、可操作性强、能有效控制资源支出,缺点是编制成本高、灵活性不足,易出现 “预算松弛”(为避免超预算而故意高估支出或低估收入)。
5.4.2 质量控制
质量控制是确保产品或服务质量符合标准的控制方法,核心是通过一系列质量管理制度与流程,预防质量问题的发生,提升产品或服务质量。质量控制的常用方法包括全面质量管理(TQM),强调全员参与、全过程控制、全要素管理,以客户需求为导向,持续改进质量,核心原则包括以客户为中心、领导作用、全员参与、过程方法、系统管理、持续改进、基于事实的决策、互利的供方关系。
统计过程控制(SPC),运用统计方法监测生产过程中的质量波动,识别异常波动并及时调整,预防不合格品的产生,常用工具包括控制图、直方图、排列图等。六西格玛管理,通过减少过程变异、消除缺陷,实现质量的持续改进,追求 “百万分之三点四” 的缺陷率,核心流程包括定义(Define)、测量(Measure)、分析(Analyze)、改进(Improve)、控制(Control),即 DMAIC 流程。
质量控制的步骤包括:制定质量标准,明确产品或服务的质量要求,如性能、可靠性、安全性、外观等;建立质量控制体系,制定质量管理制度、流程与操作规范,明确各部门与岗位的质量职责;实施质量监测,采用合适的质量检测方法与工具,对原材料、生产过程、成品进行质量检测;分析质量问题,对检测中发现的质量缺陷进行分析,识别原因;采取改进措施,针对质量问题的原因采取纠正与预防措施,持续改进质量。
5.4.3 进度控制
进度控制是确保组织活动按计划时间完成的控制方法,核心是监测活动进展速度,及时调整,避免延误。进度控制的常用工具包括:甘特图,通过横道图直观展示各项任务的计划时间、起止时间与完成情况,便于监测进度与协调任务;网络计划技术(如关键路径法 CPM、计划评审技术 PERT),通过绘制网络图,识别关键路径(影响整体进度的关键任务序列),合理安排资源,优化进度计划,确保整体目标按时完成;里程碑计划,将项目或活动分解为多个关键里程碑,以里程碑的完成情况监测整体进度。
进度控制的步骤包括:制定进度计划,明确各项任务的起止时间、依赖关系、负责人与资源需求,形成详细的进度计划;监测进度进展,定期收集各项任务的实际完成情况,对比计划进度,识别进度偏差(如提前或延误);分析进度偏差原因,进度偏差的原因包括资源不足、任务难度超出预期、人员效率低下、外部环境干扰等;采取调整措施,针对偏差原因采取措施,如增加资源投入、优化任务分工、调整任务顺序、延长时间(如必要时),确保整体活动按时完成。
5.4.4 成本控制
成本控制是通过控制组织活动中的各项成本,实现成本优化与效益提升的控制方法,核心是在保证质量与进度的前提下,降低不必要的成本支出。成本控制的常用方法包括:目标成本法,以市场需求为导向,根据目标利润确定目标成本,将成本控制贯穿于产品设计、生产、销售全过程;标准成本法,制定各项成本的标准(如直接材料标准成本、直接人工标准成本、制造费用标准成本),对比实际成本与标准成本,分析成本差异并采取措施;作业成本法(ABC),以作业为基础,将成本分配到各项作业,再根据产品或服务消耗的作业量分配成本,准确核算成本,识别无效作业,优化成本结构。
成本控制的步骤包括:制定成本标准,基于历史数据、市场情况与组织目标,制定各项成本的控制标准;监测实际成本,收集组织活动中的各项成本数据,如原材料采购成本、人工成本、制造费用、管理费用等;分析成本差异,对比实际成本与标准成本,识别成本节约或超支的差异,分析差异产生的原因(如价格变动、用量变化、效率差异);采取成本控制措施,针对成本差异原因采取措施,如降低采购成本、提高生产效率、减少浪费、优化流程,实现成本控制目标。
5.5 备考核心考点与习题
5.5.1 核心考点梳理
控制的内涵、核心要素与重要性,控制与计划的关系。
控制的主要类型(按时间、主体、方式、手段分类)及其特点与适用场景。
控制的五大要求(准确性、及时性、适度性、灵活性、全员参与)的具体内涵。
控制的完整过程(制定控制标准、衡量实际绩效、分析偏差、采取纠正措施)的关键环节。
常用控制方法(预算控制、质量控制、进度控制、成本控制)的核心内容与应用步骤。
5.5.2 习题练习
(一)单选题
1. 控制过程的最后一个环节是( )。
A. 确立标准 B. 衡量绩效 C. 分析偏差 D. 纠正偏差
2. 能提前预防偏差发生的控制类型是( )。
A. 前馈控制 B. 现场控制 C. 反馈控制 D. 事后控制
3. 下列属于定量控制方法的是( )。
A. 现场观察 B. 预算控制 C. 报告分析 D. 绩效考核
4. 控制的适度性要求不包括( )。
A. 控制范围合理 B. 控制强度适中
B. 控制成本与收益匹配 D. 控制标准固定不变
5. 全面质量管理(TQM)的核心原则不包括( )。
A. 以客户为中心 B. 全员参与
B. 持续改进 D. 以利润为唯一目标
(二)多选题
1. 按控制实施的时间,控制可分为( )。
A. 前馈控制B. 现场控制C. 反馈控制D. 集中控制E. 分散控制
2. 控制的基本要求包括( )。
A. 准确性B. 及时性C. 适度性D. 灵活性E. 全员参与
3. 常用的控制方法有( )。
A. 预算控制B. 质量控制C. 进度控制D. 成本控制E. 人员控制
4. 前馈控制的优点包括( )。
A. 防患于未然 B. 控制成本低
B. 避免事后控制的滞后性D. 对管理者预见性要求高E. 针对性强
5. 有效控制体系的特征包括( )。
A. 明确的控制目标 B. 科学的控制标准
B. 畅通的信息反馈渠道 D. 灵活的控制方式 E. 合理的控制幅度
(三)简答题
1. 简述控制的内涵与核心作用。
2. 对比前馈控制、现场控制与反馈控制的特点与适用场景。
3. 简述控制的完整过程及其关键环节。
4. 简述预算控制的内涵与主要类型。
5. 如何实现有效的质量控制?
第六章 现代管理学前沿理论
6.1 数字化与柔性管理理论
6.1.1 数字化管理的内涵与核心特征
数字化管理是指利用数字技术(如大数据、人工智能、云计算、物联网、区块链等)对组织的业务流程、管理模式、决策方式进行重构与优化,实现管理的精准化、高效化、智能化的过程。其核心是通过数字技术打破信息壁垒,实现资源的优化配置与价值的最大化创造。
数字化管理契合“数字经济是全球未来的发展方向”的判断,是组织适应新发展格局、实现高质量发展的必然选择。其核心特征体现在以下方面:
数据驱动决策:摆脱传统经验决策的局限性,通过收集、清洗、分析组织内外部海量结构化与非结构化数据,挖掘数据背后的规律与趋势,为战略制定、运营优化、风险防控等提供客观精准的依据。例如,零售企业通过分析消费者购买行为数据,精准推送产品与服务,提升转化率。
流程数字化再造:对传统纸质化、人工化、碎片化的业务流程进行系统性重构,实现流程的在线化、自动化与标准化。消除冗余环节与沟通延迟,提升流程效率与协同能力,如企业通过数字化审批系统,将原本需要数天的审批流程缩短至数小时。
管理智能化升级:运用人工智能、机器学习等技术,实现管理活动的自动化与智能化。减少人为干预,提升管理的精准度与响应速度,如智能客服 24 小时响应客户咨询、智能考勤系统自动统计员工出勤情况、智能风控系统实时识别财务风险。
全域协同化连接:通过数字化平台打破组织内部的部门壁垒、层级界限,以及组织与外部客户、供应商、合作伙伴、监管机构之间的信息孤岛,实现实时连接与高效协同。构建“内外部一体化”的协同生态,如供应链数字化平台实现供应商、生产商、经销商的库存共享与订单协同。
动态实时化响应:数字技术使数据采集、分析、反馈实现实时化,管理者能够实时掌握组织运营动态、市场变化与客户需求,快速调整策略、应对突发情况,提升组织的环境适应性。
6.1.2 数字化管理的关键技术与应用场景
数字化管理的落地依赖多项关键技术的协同支撑,不同技术在管理场景中形成互补,推动管理效能的全方位提升:
大数据技术:具备海量数据存储、快速处理与深度分析能力,能够从复杂数据中提取有价值信息。应用场景包括:客户洞察(分析消费偏好、行为轨迹,实现精准营销)、生产优化(分析设备运行数据、生产工艺参数,提升生产效率与产品质量)、风险预警(分析财务数据、市场数据,识别经营风险与市场风险)。例如,某制造企业通过分析生产过程中设备振动、温度等数据,提前预判设备故障,将停机维修时间缩短 30%。
人工智能技术:涵盖机器学习、自然语言处理、计算机视觉、机器人流程自动化(RPA)等分支,模拟人类智能行为。应用场景包括:智能招聘(通过 AI 筛选简历、视频面试分析候选人适配度)、智能运营(RPA 机器人自动处理财务记账、发票审核等重复性工作)、智能决策支持(通过算法模型预测市场需求、优化资源配置)。某互联网企业运用自然语言处理技术分析用户评论数据,快速定位产品问题并推动迭代优化。
云计算技术:提供弹性、可扩展的计算资源与存储服务,降低组织数字化转型的技术门槛与成本。组织无需投入大量资金建设本地 IT 基础设施,可通过公有云、私有云或混合云模式,快速部署 ERP、CRM、HRM 等管理系统,实现资源共享与远程协作。例如,中小企业通过使用云办公平台,实现员工远程办公、文件共享与协同编辑,提升工作灵活性。
物联网技术:通过传感器、射频识别(RFID)、二维码等设备,将物理世界的人、机、物与网络连接,实现实时数据采集与状态监测。应用场景包括:智能制造(设备运行状态实时监测、预测性维护)、智慧物流(货物位置跟踪、温湿度监控)、智慧办公(智能门禁、环境监测与自动调控)。某物流企业通过在货物上安装 RFID 标签,实现货物从出库到签收的全流程可视化跟踪,降低丢件率与延误率。
区块链技术:具有去中心化、不可篡改、透明可追溯的特性,解决信任传递问题。应用场景包括:供应链溯源(商品生产、加工、运输、销售各环节信息上链,确保产品真伪可查)、财务管理(跨境支付、电子发票存证,提升交易安全性与效率)、知识产权管理(版权登记、侵权追溯,保护创新成果)。某农产品企业通过区块链技术实现有机蔬菜从种植基地到餐桌的全流程溯源,消费者扫描二维码即可查看种植环境、施肥用药情况,增强消费信任。
6.1.3 柔性管理的内涵与核心特征
柔性管理是相对于刚性管理(以规章制度为核心、强调强制约束)而言的新型管理模式,它以“人”为中心,遵循“以人为本、灵活应变、持续创新”的理念,通过非强制性手段引导组织成员的行为,实现组织目标与个人价值的统一。
柔性管理契合新时代员工需求多元化、组织环境复杂化的趋势,是提升组织凝聚力与创新力的重要路径。其核心特征体现在:
以人为本的核心导向:尊重组织成员的个性差异、情感需求与价值追求,关注成员的成长与发展。不再将员工视为“被动执行的工具”,而是作为“组织最宝贵的资源”,通过赋能、关怀与激励,激发员工的内在动力与创造力。例如,部分互联网企业实行“弹性工作制”,允许员工根据个人情况调整工作时间,兼顾工作与生活平衡。
灵活应变的适应能力:摒弃僵化的管理模式与固定的流程规范,能够快速响应内外部环境的变化(如市场需求波动、技术变革、政策调整)。灵活调整组织结构、业务流程、决策方式与激励机制,避免因循守旧导致的发展滞后。例如,面对突发的疫情冲击,许多餐饮企业快速调整业务模式,从线下堂食转向线上外卖与食材零售,实现逆势生存。
人性化的激励体系:突破传统单一的物质激励模式,构建精神激励与物质激励相结合、个性化与多元化的激励体系。关注员工的高层次需求,如自我实现、职业发展、认可与尊重,通过提供个性化发展机会、工作自主权、创新奖励、情感关怀等方式,满足不同员工的需求。例如,某科技企业为核心员工提供“创新项目孵化基金”,支持员工开展自主研发,对成功落地的项目给予股权奖励。
协同合作的组织形态:打破传统层级制的部门壁垒与等级界限,构建扁平化、网络化的组织形态。强调跨部门、跨团队的沟通与协作,鼓励员工主动参与决策、分享知识与经验,形成“上下联动、左右协同”的合作氛围。例如,华为的“铁三角” 模式,由客户经理、解决方案专家、交付专家组成项目团队,直接对接客户需求,实现高效协同。
持续创新的文化氛围:鼓励试错、宽容失败,营造开放、包容、创新的组织文化。打破思维定势,激发员工的创新意识与探索精神,推动产品、技术、流程与管理模式的持续优化。例如,谷歌允许员工将20%的工作时间用于自主探索感兴趣的项目,许多核心产品(如 Gmail)正是源于这一灵活政策。
6.1.4 柔性管理的实施路径与案例
(一)实施路径
构建扁平化组织结构:减少管理层次、精简中间环节,赋予基层员工更多的决策自主权,提升响应速度。例如,将传统的“金字塔式”结构调整为“平台 + 项目团队”的结构,让团队直接面对市场与客户。
建立柔性的人力资源管理体系:推行“个性化职业发展规划”,根据员工的兴趣与能力制定培训计划;实行“弹性工作制”“远程办公”等灵活的工作方式;采用“结果导向”的绩效考核,关注工作成果而非工作过程。
打造开放包容的组织文化:加强内部沟通与信任建设,通过员工大会、座谈会、内部社交平台等渠道,倾听员工诉求;鼓励员工提出不同意见与创新想法,对失败的创新项目给予理解与支持,避免“求稳怕错”的保守心态。
建立动态的决策机制:摒弃“自上而下”的单向决策模式,采用“上下联动”的民主决策方式,吸收一线员工、技术专家、客户代表等多方参与决策,提升决策的灵活性与适应性。
(二)案例分析:海尔的“人单合一”柔性管理模式
海尔集团作为传统制造企业向数字化、柔性化转型的典范,其“人单合一”模式核心是打破传统层级制,让员工直接面对用户(“单”),实现“员工自主经营、用户需求驱动”。
组织结构调整:海尔将原来的事业部、分公司拆分为数千个“自主经营体”(项目团队),每个团队独立核算、自负盈亏,拥有人事任免、薪酬分配、业务决策的自主权。管理层从“管理者”转变为“平台搭建者”,为团队提供资源支持与服务。
激励机制创新:团队的收益与用户价值直接挂钩,用户满意度越高、创造的价值越大,团队的薪酬待遇越好。同时,为员工提供“创业平台”,支持有能力的员工孵化新的业务板块,实现个人与组织的共同成长。
用户需求驱动:每个自主经营体直接对接用户需求,快速响应并迭代产品与服务。例如,针对农民用洗衣机来洗土豆、地瓜,泥巴糊将水管堵死了,以及耗电高的痛点,企业开发出排水管较粗的洗衣机型号,以适应农民既能洗衣服,又能清洗土豆、地瓜等根茎类作物的需求,从而提升产品适用性和能效。
实施效果:海尔通过“人单合一”模式,实现了从“大规模制造”向“大规模定制”的转型,员工创新积极性显著提升,产品迭代速度加快,用户满意度持续提高,连续多年稳居全球家电行业前列。
6.2 企业社会责任与伦理管理理论
6.2.1 企业社会责任(CSR)的内涵与核心维度
企业社会责任是指企业在追求股东利益最大化的同时,对利益相关者(员工、客户、供应商、社区、环境、政府等)承担的法律责任、道德责任与慈善责任。它突破了“企业唯一目标是盈利”的传统观念,强调企业是“社会公民”,需在经济发展、社会进步与环境保护之间实现平衡。
企业社会责任已成为企业高质量发展的内在要求,是企业融入国家发展大局、实现可持续发展的重要路径。其核心维度包括:
经济责任(基础责任):企业最基本的社会责任,包括合法经营、保障股东权益、提供优质产品与服务、创造就业机会、推动经济增长。只有实现盈利与可持续经营,企业才能更好地履行其他社会责任。例如,企业通过技术创新提升核心竞争力,实现营收增长,为员工提供稳定的就业与薪酬待遇,为国家缴纳税收。
法律责任(底线责任):企业必须遵守国家法律法规与行业规范,依法经营、依法纳税、保障员工合法权益(如劳动报酬、工作环境、社会保险)、维护消费者权益(如产品质量安全、公平交易)、遵守环境保护法规。法律责任是企业不可逾越的底线,例如,企业必须严格执行《环境保护法》,控制污染物排放,不得生产假冒伪劣产品。
道德责任(自愿责任):企业在法律要求之外,基于社会道德规范与公序良俗,主动承担的责任。包括诚信经营、公平对待供应商与合作伙伴、尊重员工人格、关爱弱势群体、参与公益慈善活动。例如,企业在供应链中坚持公平交易,不压榨中小供应商;在自然灾害发生后捐赠物资与资金,支持灾区重建。
环境责任(可持续发展责任):企业在生产经营过程中减少对环境的负面影响,推动绿色发展、循环发展、低碳发展。包括节约资源(水、电、燃气等)、减少污染物排放、处理废弃物、研发环保产品、推动产业链绿色转型。例如,新能源汽车企业研发低能耗、零排放的产品,传统制造业企业进行节能改造与清洁生产。
利益相关者责任(具体落地):针对不同利益相关者的专项责任,如对员工的责任(提供安全的工作环境、职业发展机会、公平的薪酬福利)、对客户的责任(提供安全优质的产品与服务、保障客户隐私)、对社区的责任(支持社区基础设施建设、参与社区公益活动、带动社区就业)、对供应商的责任(构建长期稳定的合作关系、推动供应商履行社会责任)。
6.2.2 企业社会责任的理论基础与实践价值
(一)理论基础
利益相关者理论:该理论认为,企业的生存与发展离不开股东、员工、客户、供应商、社区、政府等利益相关者的支持,企业不仅要对股东负责,还要对所有利益相关者承担责任。只有平衡各方利益,才能实现企业的可持续发展。
可持续发展理论:强调经济发展、社会进步与环境保护的协调统一,企业作为经济活动的核心主体,必须将可持续发展理念融入经营管理,在追求短期利益的同时,兼顾长期利益与社会整体利益。
企业公民理论:将企业视为 “社会公民”,拥有相应的权利与义务,企业在享受社会资源与发展机会的同时,必须履行对社会的责任,为社会发展做出贡献。
(二)实践价值
提升企业品牌形象与声誉:积极履行社会责任的企业能够获得消费者、投资者、政府与社会公众的认可,树立良好的品牌形象,增强品牌竞争力。例如,消费者更愿意购买环保、负责任企业的产品,投资者更倾向于投资社会责任表现优秀的企业。
增强企业核心竞争力:履行社会责任能够推动企业技术创新(如环保技术研发)、优化管理流程(如供应链负责任管理)、提升员工凝聚力(如关爱员工),形成差异化竞争优势。例如,企业通过绿色生产降低资源消耗与环境成本,提升盈利能力。
促进企业可持续发展:平衡各方利益关系,减少利益冲突与经营风险(如员工流失、消费者投诉、政府监管处罚),为企业长期稳定发展奠定基础。例如,重视员工权益的企业能够降低员工流失率,稳定人才队伍;重视环境保护的企业能够避免因环保违规导致的停产整顿风险。
助力社会和谐发展:企业通过创造就业、缴纳税收、公益捐赠、环境保护等行为,推动共同富裕、生态环境保护、社会公益事业发展,为国家经济社会发展做出贡献。
6.2.3 伦理管理的内涵与核心原则
伦理管理是指企业以道德规范与伦理准则为核心,制定并执行符合伦理要求的决策与行为,确保企业经营活动不仅合法,而且合乎道德。它是企业社会责任的核心组成部分,是企业可持续发展的精神内核。
在新时代,伦理管理要求企业坚守商业道德底线,反对不正当竞争、欺诈、腐败等不伦理行为,构建“诚信、公正、负责任”的经营理念。其核心原则包括:
诚信原则:这是伦理管理的核心,要求企业在经营活动中诚实守信,不隐瞒、不欺诈。对消费者如实宣传产品信息,不夸大功效、不销售假冒伪劣产品;对投资者如实披露经营状况与财务信息,不造假、不隐瞒风险;对合作伙伴信守合同,不违约、不欺诈。例如,某食品企业坚持“诚信经营”理念,如实标注产品成分与保质期,拒绝使用过期原料,赢得消费者长期信任。
公正原则:要求企业公平对待所有利益相关者,不歧视、不偏袒。在内部管理中,公平对待员工,保障员工获得公平的薪酬、晋升机会与发展空间,不搞“任人唯亲”;在外部合作中,公平对待供应商、经销商,遵循公平交易原则,不搞“霸王条款”;在市场竞争中,遵循市场规则,不搞不正当竞争(如低价倾销、商业诋毁、侵犯商业秘密)。
责任原则:要求企业对自身的决策与行为后果负责,无论是经济后果、社会后果还是环境后果。当企业行为对利益相关者或社会造成损害时,主动承担赔偿、整改等责任,不推诿、不逃避。例如,企业产品出现质量问题时,主动召回产品、赔偿消费者损失,并查找原因进行整改。
尊重原则:要求企业尊重利益相关者的人格、权利与意愿。尊重员工的人格尊严与职业选择,不强迫员工从事危险或不道德的工作;尊重消费者的知情权、选择权与隐私权,不侵犯消费者合法权益;尊重社区居民的生活环境与意愿,不随意污染环境、干扰居民生活。
透明原则:要求企业的经营活动公开透明,接受利益相关者与社会公众的监督。及时、准确地披露与利益相关者相关的信息(如产品质量、安全状况、社会责任履行情况),不隐瞒、不掩盖。例如,企业定期发布社会责任报告,公开环保投入、公益捐赠、员工权益保障等情况,接受社会监督。
6.2.4 企业伦理管理的实施路径与案例
(一)实施路径
建立企业伦理准则与制度:制定明确的伦理行为规范(如《企业伦理手册》),明确禁止欺诈、腐败、不正当竞争、环境污染等不伦理行为,将伦理要求融入招聘、培训、绩效考核、薪酬激励、晋升等管理流程,使伦理管理有章可循。
加强伦理教育与培训:定期对员工进行伦理道德培训,提升员工的伦理意识与判断能力,让员工理解伦理行为的重要性,掌握应对伦理困境的方法。例如,通过案例分析、情景模拟等方式,培训员工如何在利益诱惑面前坚守伦理底线。
构建伦理监督与问责机制:建立内部伦理监督部门(如伦理委员会),负责监督企业与员工的伦理行为,受理伦理投诉;建立伦理问责制度,对违反伦理准则的行为进行严肃处理(如警告、罚款、降职、解雇),形成 “违规必问责” 的氛围。
推动伦理文化建设:将伦理价值观融入组织文化,通过企业标语、内部宣传、榜样示范等方式,营造“诚信、公正、负责任”的伦理氛围,让伦理行为成为员工的自觉行动。例如,表彰伦理表现优秀的员工与团队,树立榜样。
加强利益相关者沟通:与员工、客户、供应商、社区等利益相关者保持密切沟通,倾听其对企业伦理行为的期望与诉求,及时回应并改进,形成伦理管理的外部监督压力。
(二)案例分析:同仁堂的 “炮制虽繁必不敢省人工,品味虽贵必不敢减物力”伦理实践
同仁堂作为拥有 300 多年历史的中药企业,始终坚守“诚信为本、药德为魂”的伦理理念,将伦理管理融入生产、经营、服务全过程。
伦理准则落地:坚守“炮制虽繁必不敢省人工,品味虽贵必不敢减物力”的古训,在中药炮制过程中严格遵循传统工艺与质量标准,不偷工减料、不降低标准。例如,制作“安宫牛黄丸”时,选用优质牛黄、麝香等原料,严格按照“研、配、炼、合”等复杂工艺操作,确保药品疗效与安全。
员工伦理培训:将“药德教育”纳入员工入职培训与日常培训,强调“医者仁心”,要求员工以患者健康为核心,不销售劣质药品、不误导患者。
质量伦理监督:建立全流程质量控制体系,从原料采购、炮制加工到成品检验,每个环节都有严格的质量标准与监督机制,确保药品质量符合伦理要求。例如,原料采购时对供应商进行严格审核,只选择优质原料产地与合规供应商;成品检验实行“双人核对、多级把关”,不合格产品坚决销毁。
社会责任履行:积极参与公益事业,如免费为老年人提供义诊、捐赠药品支持灾区与贫困地区医疗事业、开展中医药文化普及活动,践行“取之于社会、用之于社会”的责任理念。
实践效果:同仁堂凭借坚守伦理底线、重视产品质量与社会责任,树立了“百年老店”的良好品牌形象,赢得消费者长期信任,成为中医药行业的标杆企业,实现了经济效益与社会效益的统一。
6.3 供应链管理、项目管理核心理论框架
6.3.1 供应链管理(SCM)的内涵与核心特征
供应链管理是指对从原材料采购、生产加工、仓储运输到产品销售给最终客户的全过程进行统筹协调、优化配置,实现供应链各环节(供应商、制造商、分销商、零售商、客户)的高效协同,以最低的成本满足客户需求,提升供应链整体竞争力的管理活动。
供应链管理已成为保障产业链供应链稳定、提升国家经济安全与产业竞争力的重要支撑。其核心特征包括:
全域协同性:供应链管理打破单个企业的边界,强调供应链各节点企业的协同合作,包括信息协同(共享需求、库存、生产计划等信息)、资源协同(共享仓储、运输、生产设备等资源)、流程协同(优化采购、生产、销售等流程衔接),实现“1+1>2”的协同效应。例如,供应商与制造商共享生产计划,供应商根据制造商的生产进度精准供货,避免库存积压或短缺。
客户需求导向:以最终客户需求为起点,通过需求预测、快速响应等方式,确保供应链的产品与服务符合客户需求。从产品设计、生产计划到物流配送,都围绕客户需求展开,提升客户满意度与忠诚度。例如,电商平台根据消费者历史购买数据预测需求,提前将商品部署到离消费者最近的仓库,实现“次日达”甚至“当日达”的配送服务。
总成本最优:供应链管理的目标不是单个环节成本最低,而是供应链整体总成本最优(包括采购成本、生产成本、库存成本、运输成本、物流成本等)。通过优化资源配置、减少冗余环节、提升流程效率,实现供应链整体成本降低与效益提升。例如,通过集中采购降低原材料采购成本,通过联合库存管理减少库存积压成本,通过优化运输路线降低运输成本。
动态适应性:供应链面临的市场需求、原材料价格、政策法规、技术变革等环境因素不断变化,供应链管理需要具备动态适应能力,快速调整供应链策略、优化供应链结构,应对环境变化带来的风险与挑战。例如,面对原材料价格上涨,供应链通过寻找替代原料、与供应商签订长期协议、优化生产工艺等方式降低成本;面对突发疫情,供应链快速调整物流路线、切换生产产能,保障物资供应。
数字化与智能化:数字技术是供应链管理的重要支撑,通过大数据、物联网、云计算、区块链等技术实现供应链信息透明化、流程自动化、决策智能化。例如,通过物联网技术实现货物实时跟踪,通过大数据技术进行需求预测,通过区块链技术实现供应链溯源,提升供应链管理的精准度与效率。
6.3.2 供应链管理的核心理论与框架
(一)供应链管理的核心理论
集成化供应链管理理论:强调将供应链各环节(采购、生产、库存、物流、销售)视为一个有机整体,进行集成化管理,打破各环节之间的信息壁垒与利益冲突,实现供应链整体优化。该理论认为,只有通过集成化管理,才能提升供应链的协同效率与竞争力。
精益供应链理论:源于精益生产思想,核心是“消除浪费、持续改进”。通过优化供应链流程,消除冗余环节、库存积压、等待时间等浪费,提升供应链的效率与灵活性。精益供应链强调“以客户需求为拉动”,只在客户需要时生产与配送产品,减少库存成本。
敏捷供应链理论:核心是“快速响应市场变化”。强调供应链具备快速调整生产、配送、采购策略的能力,以应对市场需求的不确定性与快速变化。敏捷供应链通常采用模块化设计、柔性生产、快速物流等方式,提升响应速度。
绿色供应链理论:聚焦供应链的环境可持续性,要求供应链各环节减少资源消耗、降低污染物排放、推动循环利用,实现经济效益与环境效益的统一。绿色供应链包括绿色采购(选择环保原料与供应商)、绿色生产(清洁生产、节能降耗)、绿色物流(优化运输路线、使用环保包装、推广新能源运输工具)、绿色回收(产品回收与再利用)。
(二)供应链管理的核心框架
供应链战略规划:明确供应链的整体目标与发展方向,包括供应链网络设计(供应商布局、生产基地选址、仓储与配送中心布局)、供应链模式选择(如精益模式、敏捷模式、混合模式)、供应链合作伙伴选择与关系管理。例如,企业根据自身产品特点与市场需求,选择“全球化供应链”或“本地化供应链”模式。
供应链运作管理:涵盖供应链日常运营的核心环节,是供应链管理的落地执行部分:
采购管理:选择优质供应商,建立长期稳定的合作关系,制定合理的采购计划,控制采购成本与质量,确保原材料及时供应。
生产管理:根据需求预测与客户订单制定生产计划,优化生产流程,合理配置生产资源,确保产品质量与交货期。
库存管理:通过科学的库存控制策略(如经济订货量模型、安全库存设置、联合库存管理、供应商管理库存),平衡库存成本与缺货风险,实现库存最优。
物流与配送管理:优化物流网络,选择合适的物流方式(如公路、铁路、航空、海运),合理规划运输路线,提升物流效率,降低物流成本,确保产品及时送达客户手中。
客户关系管理:收集客户需求信息,提供优质的售前、售中、售后服务,提升客户满意度与忠诚度,建立长期稳定的客户关系。
供应链协同管理:通过建立信息共享平台、签订合作协议、建立联合团队等方式,实现供应链各节点企业的协同运作。包括需求协同(共享客户需求信息,联合进行需求预测)、生产协同(共享生产计划,协同调整生产产能)、库存协同(共享库存信息,联合管理库存)、物流协同(联合规划物流路线,共享物流资源)。
供应链风险管理:识别供应链面临的风险(如供应中断风险、价格波动风险、质量风险、物流风险、政策风险、自然灾害风险),评估风险发生的概率与影响程度,制定风险应对策略(如风险规避、风险降低、风险转移、风险承受),建立风险预警机制与应急响应预案,保障供应链的稳定运行。例如,企业通过多元化供应商策略(选择多个供应商)降低供应中断风险,通过购买供应链保险转移风险。
6.3.3 项目管理的内涵与核心特征
项目管理是指在项目的约束条件(时间、成本、质量)下,运用系统的理论、方法与工具,对项目从启动、规划、执行、监控到收尾的全生命周期进行管理,以实现项目预设目标的过程。
项目具有“临时性、独特性、目标明确性、约束性”的特点,项目管理区别于日常运营管理,强调一次性、系统性与灵活性。在新时代,项目管理广泛应用于企业新产品研发、重大工程建设、信息技术系统升级、市场推广活动等领域,是提升组织创新能力与执行能力的重要工具。其核心特征包括:
目标导向性:项目管理以实现明确的项目目标为核心,所有管理活动都围绕项目目标展开。项目目标通常包括时间目标(按时完成)、成本目标(在预算内完成)、质量目标(达到预设质量标准),三者相互约束,形成“项目铁三角”。例如,某建筑项目的目标是“在 2 年内、预算 5 亿元内,建成符合国家甲级标准的写字楼”。
全生命周期管理:项目管理覆盖项目从启动到收尾的全生命周期,包括启动阶段(明确项目需求、可行性分析、项目立项)、规划阶段(制定项目计划、分解项目任务、分配资源、制定进度与成本计划)、执行阶段(实施项目任务、协调资源、沟通协调)、监控阶段(监测项目进度、成本、质量,识别偏差并采取纠正措施)、收尾阶段(项目验收、成果交付、总结经验教训)。各阶段紧密衔接,形成完整的管理循环。
系统性与整体性:项目管理将项目视为一个系统,统筹考虑项目的各个要素(范围、时间、成本、质量、风险、资源、沟通等),注重各要素之间的协调与平衡,避免片面追求单一目标而忽视其他目标。例如,不能为了缩短项目时间而牺牲质量或超出预算,需要在三者之间找到平衡点。
约束性管理:项目管理在有限的约束条件下开展,核心约束包括时间约束(项目必须在规定时间内完成)、成本约束(项目预算有限)、质量约束(项目成果必须达到预设标准)。项目管理者需要在约束条件内优化资源配置,确保项目目标实现。例如,某软件开发项目预算有限,管理者需要合理分配人力与物力资源,在规定时间内完成软件研发并达到质量要求。
灵活性与适应性:项目执行过程中可能遇到各种不确定因素(如需求变更、资源短缺、技术难题、外部环境变化),项目管理需要具备灵活性,能够快速调整项目计划、资源配置与执行策略,应对突发情况。例如,某新产品研发项目在执行过程中发现市场需求发生变化,项目团队及时调整产品设计方案,确保项目成果符合市场需求。
6.3.4 项目管理的核心理论与框架
(一)项目管理的核心理论
项目生命周期理论:将项目划分为启动、规划、执行、监控、收尾五个阶段,每个阶段有明确的核心任务与交付成果。该理论认为,项目管理需要根据不同阶段的特点采取针对性的管理方法,确保各阶段工作有序推进,最终实现项目目标。
项目范围管理理论:核心是明确项目的工作范围(即项目需要完成的任务与交付的成果),并对范围进行有效控制,避免“范围蔓延”(项目范围未经批准擅自扩大)。包括范围规划(定义项目范围)、范围定义(分解项目任务)、范围确认(验收项目成果)、范围控制(监控范围变化)。
项目时间管理理论:聚焦项目进度控制,确保项目在规定时间内完成。核心工具与方法包括:工作分解结构(WBS,将项目分解为可管理的小任务)、甘特图(直观展示项目任务的时间安排与进度)、关键路径法(CPM,识别影响项目总进度的关键任务,优先保障关键任务的资源与进度)、计划评审技术(PERT,适用于不确定性较高的项目,通过估算任务的乐观时间、悲观时间与最可能时间,预测项目总工期)。
项目成本管理理论:核心是控制项目成本,确保项目在预算内完成。包括:成本估算(预测项目所需的总成本与各阶段成本)、成本预算(将总成本分配到各阶段与各任务)、成本控制(监控实际成本与预算的偏差,采取纠正措施)。常用方法包括:目标成本法、挣值管理(EVM,通过对比计划工作量、实际完成工作量与实际成本,评估项目成本与进度绩效)。
项目质量管理理论:确保项目成果达到预设的质量标准。包括质量规划(制定质量目标与质量标准)、质量保证(通过过程控制确保质量标准的执行)、质量控制(监测项目成果质量,识别质量问题并采取纠正措施)。常用工具包括 PDCA 循环(计划 - 执行 - 检查 - 处理)、因果分析图(鱼骨图,分析质量问题的原因)、控制图(监测质量波动)、抽样检验等。
项目风险管理理论:识别、评估与应对项目过程中的风险,减少风险对项目目标的影响。包括风险识别(列出项目可能面临的风险)、风险评估(评估风险发生的概率与影响程度,划分风险等级)、风险应对(制定风险应对计划,如规避、转移、减轻、接受)、风险监控(跟踪风险状态,调整应对措施)。
(二)项目管理的核心框架(PMBOK 指南框架)
十大知识领域:项目管理协会(PMI)发布的《项目管理知识体系指南》(PMBOK 指南)将项目管理划分为十大知识领域,涵盖项目管理的核心内容:范围管理、时间管理、成本管理、质量管理、资源管理、沟通管理、风险管理、采购管理、相关方管理、整合管理。其中,整合管理是核心,负责协调其他九个知识领域的工作,确保项目整体目标实现。
五大过程组:与项目生命周期对应,包括启动过程组(定义项目、授权开始项目)、规划过程组(制定项目管理计划)、执行过程组(完成项目管理计划中的工作)、监控过程组(跟踪、审查与调整项目进展)、收尾过程组(正式结束项目或阶段)。
工具与技术:每个知识领域与过程组都有对应的管理工具与技术,如工作分解结构(WBS)、甘特图、关键路径法、挣值管理、鱼骨图、头脑风暴法、德尔菲法等,帮助项目管理者高效开展管理工作。
6.3.5 供应链管理与项目管理的实践案例
供应链管理案例(一):ZARA 的快速响应供应链模式
ZARA 作为全球快时尚巨头,其核心竞争力源于快速响应的供应链管理模式,能够在15-30天内完成从设计、生产到门店上架的全流程,远快于行业平均水平(6-9个月)。
供应链战略:采用“快速响应、小批量、多频次”的战略,以应对时尚行业需求变化快、产品生命周期短的特点。
供应链协同:设计团队与门店保持密切沟通,及时收集消费者反馈与市场流行趋势,快速调整设计方案;生产环节采用“柔性生产”模式,部分生产基地位于欧洲,靠近市场,能够快速响应订单;物流环节采用“集中配送 + 快速运输”模式,全球门店统一由西班牙物流中心配送,通过航空运输确保产品快速上架。
数字化支撑:通过供应链信息系统实现设计、生产、物流、门店各环节的信息共享,设计团队实时掌握生产进度,门店实时反馈销售数据,物流中心实时跟踪货物运输状态,确保供应链高效协同。
实施效果:ZARA 通过快速响应供应链,能够及时推出符合市场需求的产品,减少库存积压,提升产品周转率,成为全球快时尚行业的领导者,门店遍布全球 100 多个国家与地区。
项目管理案例(二):北京大兴国际机场建设项目
北京大兴国际机场建设项目是国家重大工程,项目总投资约 800 亿元,建设周期 5 年(2014-2019 年),项目目标是建成“世界一流、国内领先”的国际航空枢纽,具备年旅客吞吐量 1 亿人次的能力。
项目规划:采用工作分解结构(WBS)将项目分解为航站楼建设、跑道建设、配套设施建设、弱电系统集成等多个子项目,每个子项目明确时间节点、成本预算与质量标准;运用关键路径法识别核心任务(如航站楼钢结构安装、飞行区跑道铺设),优先保障核心任务的资源配置。
项目执行与协同:项目涉及建设、设计、施工、监理等多家单位,通过建立联合项目管理团队,实现各参与方的协同合作;建立项目信息共享平台,实时跟踪项目进度、成本与质量,及时协调解决施工过程中的技术难题与资源冲突。
项目风险管理:识别项目面临的风险(如地质条件复杂、技术难度高、工期紧张),制定风险应对计划,如邀请国内外顶尖专家进行技术论证、采用模块化施工提升效率、设置缓冲时间应对工期压力。
项目监控:建立严格的质量控制与进度监控机制,定期开展项目评审,对比实际进度与计划进度、实际成本与预算成本,及时发现偏差并采取纠正措施。
实施效果:北京大兴国际机场如期建成并投入使用,项目质量达到国际领先水平,成为全球最大的单体航站楼,实现了“安全、质量、工期、成本”四大目标的平衡,彰显了中国重大工程的项目管理能力。
6.4 备考核心考点与理论逻辑梳理
6.4.1 核心考点梳理
数字化管理:内涵与核心特征;大数据、人工智能、云计算、物联网、区块链等关键技术的应用场景;数字化管理对组织管理模式的影响。
柔性管理:内涵与核心特征;与刚性管理的区别;柔性管理的实施路径。
企业社会责任(CSR):内涵与核心维度(经济责任、法律责任、道德责任、环境责任、利益相关者责任);理论基础(利益相关者理论、可持续发展理论);实践价值。
伦理管理:内涵与核心原则(诚信、公正、责任、尊重、透明);实施路径。
供应链管理:内涵与核心特征;核心理论(集成化、精益、敏捷、绿色供应链理论);核心框架(战略规划、运作管理、协同管理、风险管理)。
项目管理:内涵与核心特征;项目生命周期与五大过程组;十大知识领域(重点掌握范围、时间、成本、质量、风险管理);核心工具与技术(WBS、甘特图、关键路径法、挣值管理等)。
理论逻辑主线:数字化管理与柔性管理聚焦组织内部管理模式创新,企业社会责任与伦理管理聚焦组织外部价值创造,供应链管理与项目管理聚焦组织业务运作效率提升,共同构成适应新时代经济发展要求的管理学理论体系。
6.4.2 习题练习
(一)单选题
1. 数字化管理的核心技术支撑不包括( )。
A. 大数据分析 B. 人工智能 C. 物联网 D. 传统人工记录技术
2. 柔性管理的核心导向是( )。
A. 规章制度约束 B. 以人为本 C. 量化考核 D. 层级控制
3. 企业社会责任的基础责任是( )。
A. 经济责任 B. 法律责任 C. 道德责任 D. 环境责任
4. 供应链管理的核心目标是( )。
A. 单个企业成本最低 B. 供应链整体总成本最优
B. 生产速度最快 D. 库存最多
5. 项目管理中,用于识别影响总进度关键任务的工具是( )。
A. 甘特图 B. 关键路径法(CPM) C. 鱼骨图 D. 德尔菲法
(二)多选题
1. 数字化管理的核心特征包括( )。
A. 数据驱动决策 B. 流程数字化再造
B. 管理智能化升级 D. 全域协同化连接 E. 动态实时化响应
2. 企业社会责任的核心维度包括( )。
A. 经济责任 B. 法律责任
B. 道德责任 D. 环境责任 E. 利益相关者责任
3. 供应链管理的核心理论包括( )。
A. 集成化供应链管理理论 B. 精益供应链理论
B. 敏捷供应链理论 D. 绿色供应链理论 E. 传统采购管理理论
4. 柔性管理的实施路径包括( )。
A. 构建扁平化组织结构 B. 建立柔性人力资源体系
C. 打造开放包容的组织文化 D. 建立动态决策机制
E. 强化规章制度约束
5. 项目管理的核心要素(铁三角)包括( )。
A. 时间 B. 成本 C. 质量 D. 风险 E. 范围
(三)简答题
1. 简述数字化管理的内涵与核心价值。
2. 对比柔性管理与刚性管理的核心区别。
3. 简述企业伦理管理的核心原则。
4. 供应链协同的实现路径有哪些?
5. 简述项目管理的五大过程组。
第一章
(一)单选题
1. B 解析:管理学的研究核心是组织资源的优化配置与高效利用,以实现组织既定目标。A 选项属于心理学范畴,C 选项偏离管理学研究核心,D 选项属于伦理学范畴。
2. B 解析:计划职能是管理的首要职能,通过明确目标与路径,为组织、领导、控制职能提供基础,贯穿管理全过程。
3. C 解析:韦伯提出 “理想的行政组织体系”(科层制),强调分工明确、等级分明、规则严格等特征;泰勒是科学管理学派代表,法约尔提出一般管理理论,梅奥是行为科学理论代表。
4. B 解析:霍桑实验通过照明实验、福利实验等,提出 “社会人” 假设,认为员工行为不仅受经济利益驱动,还受人际关系、情感需求等因素影响。
5. A 解析:儒家思想以 “仁” 为核心,主张 “为政以德”“以人为本”;道家倡导 “无为而治”,法家强调 “法治”,墨家主张 “兼爱”“尚贤”。
(二)多选题
1. ABCE 解析:管理学兼具自然科学属性(定量分析方法)、社会科学属性(研究人际关系等社会现象)、交叉学科属性(融合多学科知识)与应用性属性(聚焦实践问题),并非纯粹人文科学。
2. ABCDE 解析:管理的核心要素包括管理主体(实施管理的人或组织)、管理客体(管理对象,如人、财、物等)、管理职能(计划、组织等手段)、管理目标(预期成果)、管理环境(内外部影响因素)。
3. ABC 解析:古典管理理论包括科学管理学派(泰勒)、一般管理学派(法约尔)、行政组织学派(韦伯);人际关系学派属于行为科学理论,权变理论学派属于现代管理理论。
4. ABCD 解析:梅奥(人际关系学说)、马斯洛(需求层次理论)、赫茨伯格(双因素理论)、麦格雷戈(X-Y 理论)均为行为科学理论代表人物;泰勒是古典管理理论代表。
5. ABCDE 解析:现代管理理论具有系统性(视组织为有机系统)、权变性(无普遍最佳管理方式)、创新性(适应环境变化)、综合性(融合多学科知识)、实践性(解决实际问题)等特征。
(三)简答题
1. 管理是管理者在特定组织环境中,通过计划、组织、领导、控制等一系列活动,协调组织资源与成员行为,以高效实现组织目标的动态过程。四大核心职能内涵:(1)计划:明确组织目标与实现路径,为组织活动提供方向;(2)组织:设计组织结构、配置资源、明确权责,形成整体合力;(3)领导:通过影响力引导、激励成员,凝聚组织力量;(4)控制:监控进展、纠正偏差,确保活动按计划推进。
2. “经济人” 假设认为员工行为仅受经济利益驱动,追求自身利益最大化,忽视情感与人际关系需求,对应古典管理理论的严格控制模式;“社会人” 假设认为员工是社会存在,行为受人际关系、情感需求、组织归属感等因素影响,强调人文关怀与员工参与,是行为科学理论的基础。
3. (1)儒家:以 “仁” 为核心,主张 “为政以德”“以人为本”,注重礼治与德治结合,追求组织和谐;(2)道家:倡导 “无为而治”,强调顺应客观规律,简政放权,发挥成员自主性;(3)法家:注重 “法治”,主张以规章制度规范行为,强调权责明确、奖惩分明;(4)墨家:倡导 “兼爱”“非攻”“尚贤”,重视人才、推崇合作共赢。
4. 古典管理理论强调标准化作业、明确权责分工、科学选人用人等理念,为现代管理提供了基础框架;其注重效率提升的目标导向,对现代企业优化生产流程、降低成本仍有指导意义;法约尔的管理原则与韦伯的科层制理论,为现代组织结构设计与管理制度建设提供了重要参考。
5. 管理学是兼具自然科学与社会科学属性的交叉学科,且具有强烈的应用性。(1)自然科学属性:运用定量分析方法(如运筹学、统计学)研究管理问题,强调规律性;(2)社会科学属性:研究组织中的人际关系、社会互动等社会现象,注重人文关怀;(3)交叉学科属性:融合经济学、社会学、心理学等多学科知识;(4)应用性属性:聚焦管理实践中的实际问题,提供可操作的理论与方法。
第二章
(一)单选题
1. D 解析:计划的核心作用包括导向、协调、控制、激励、规避风险,无法替代决策职能,决策是管理的核心,贯穿计划制定全过程。
2. B 解析:指导性计划目标模糊、方案灵活,为执行预留调整空间;具体计划目标明确、方案具体;战略计划与作业计划是按覆盖范围划分的类型。
3. C 解析:SMART 原则中,S(具体性)、M(可衡量性)、A(可实现性)、R(相关性)、T(时限性),“A” 代表可实现性,确保目标具有挑战性且符合实际。
4. B 解析:PESTEL 分析法从政治、经济、社会、技术、环境、法律六个维度分析外部宏观环境;SWOT 分析法兼顾内外部环境,波特五力模型分析行业竞争环境,决策树法是定量决策工具。
5. B 解析:非程序化决策是偶然发生、无固定程序可循的决策,如应对突发危机;A、C、D 选项均为重复出现的程序化决策。
(一)多选题
1. ABC 解析:按时间跨度,计划分为短期计划(1 年以内)、中期计划(1-5 年)、长期计划(5 年以上);战略计划与作业计划是按覆盖范围划分的类型。
2. ABCDE 解析:计划编制需遵循系统性(统筹协调)、可行性(符合实际)、灵活性(应对变化)、重点性(突出核心)、效益性(平衡投入产出)等原则。
3. ABCDE 解析:目标管理的核心特征包括目标明确性(符合 SMART 原则)、参与性(上下共同制定)、系统性(层级分解)、反馈性(定期沟通)、自我管理性(自主执行)。
4. ABCD 解析:战略管理的核心环节包括战略分析(内外部环境评估)、战略制定(方案设计与选择)、战略实施(落地执行)、战略控制(监控与调整),战略宣传不属于核心环节。
5. ABDE 解析:定量决策方法依赖数据与模型,适用于程序化、风险型、信息完整、可量化的决策;不确定型决策多采用定性与定量结合的方法。
(二)简答题
1. 计划是管理者基于内外部环境分析,对组织未来一定时期内的目标及实现途径、方法、资源配置等进行的预先规划。核心特征:(1)目的性(围绕组织目标);(2)前瞻性(基于未来预测);(3)普遍性(各级管理者均需开展);(4)经济性(平衡投入产出);(5)灵活性(应对环境变化)。
2. 目标管理的实施流程包括:(1)目标制定:上下共同协商确定组织、部门、个人层级目标;(2)目标实施:员工自主执行,管理者提供支持与协调;(3)绩效考核:按预设标准客观评估目标完成情况;(4)反馈改进:沟通考核结果,总结经验,优化下一轮目标管理。
3. SWOT 分析法适用于组织内外部环境综合分析,核心是梳理内部优势(S)、劣势(W)与外部机会(O)、威胁(T),形成战略组合;PESTEL 分析法适用于外部宏观环境分析,从政治、经济、社会、技术、环境、法律六个维度识别宏观影响因素,为战略分析提供基础。
4. 决策的基本过程包括:(1)识别问题(明确现状与目标差距);(2)确定决策目标(明确预期效果);(3)收集信息(获取内外部相关数据);(4)拟定备选方案(设计多个可行方案);(5)评估备选方案(分析可行性、有效性等);(6)选择最优方案(确定最终方案);(7)实施方案(配置资源、落实责任);(8)反馈调整(跟踪效果、纠正偏差)。
5. 组织战略按层次分为:(1)公司层战略:组织整体发展战略,聚焦 “进入哪些业务领域”“如何配置资源”,包括发展、稳定、收缩战略等;(2)业务层战略:特定业务领域的竞争战略,聚焦 “如何获得竞争优势”,包括成本领先、差异化、集中化战略等;(3)职能层战略:各职能部门的支持战略,如营销、人力资源、财务战略,聚焦 “提升职能效率”,支撑公司层与业务层战略。
第三章
(一)单选题
1. C 解析:事业部制按产品、地区或客户划分事业部,各事业部拥有独立经营自主权,适用于规模大、业务多元化的组织;直线制适用于小型组织,直线职能制适用于中等规模组织,矩阵制适用于项目型业务。
2. B 解析:统一指挥原则要求每个下属只接受一个上级的直接指挥,避免双重领导导致的指令混乱;权责对等原则强调权力与责任匹配,分工协作原则注重职责分工与配合,柔性化原则要求适应环境变化。
3. A 解析:库尔特・勒温提出组织变革的 “解冻 - 变革 - 再冻结” 模型,依次为打破原有平衡、实施变革、巩固成果;德鲁克提出目标管理,泰勒是科学管理代表,法约尔提出一般管理理论。
4. C 解析:绩效管理贯穿人力资源管理全过程,其结果为薪酬调整、晋升、培训等提供依据,是核心环节;招聘、培训、薪酬均为重要职能,但需以绩效管理为支撑。
5. B 解析:外部招聘能引入外部新鲜血液、拓宽人才视野;A、C、D 选项均为内部招聘的优势。
(二)多选题
1. ABCDE 解析:直线制、职能制、直线职能制、事业部制、矩阵制均为常见的组织结构类型,分别适用于不同规模与业务特性的组织。
2. ABCDE 解析:组织设计需遵循目标一致性(围绕组织目标)、权责对等(权力与责任匹配)、统一指挥(明确指挥链)、集权与分权相结合(平衡统一性与灵活性)、柔性化(适应变化)等原则。
3. ABCDE 解析:组织变革的驱动因素包括外部因素(技术进步、市场需求变化、竞争加剧、政策法规调整)与内部因素(组织目标调整、结构僵化、绩效下滑、内部矛盾等)。
4. ABCDE 解析:人力资源管理的核心职能包括人力资源规划(整体布局)、招聘与甄选(人才引进)、培训与开发(能力提升)、绩效管理(绩效评估)、薪酬福利管理(激励保障)。
5. ABCDE 解析:薪酬体系设计需遵循公平性(内部、外部、个人公平)、竞争性(高于或持平行业水平)、激励性(与绩效挂钩)、经济性(控制成本)、合法性(符合劳动法规)。
(三)简答题
1. 矩阵制组织结构的优点:(1)灵活性强,能快速响应项目需求;(2)资源共享,充分利用职能部门专业资源;(3)协同性好,促进跨部门合作与知识共享。缺点:(1)双重领导,员工需服从项目团队与职能部门,易出现指令冲突;(2)协调成本高,需频繁沟通协调;(3)稳定性差,项目结束后团队解散,员工归属感弱。
2. 组织变革的基本过程:(1)解冻阶段:识别变革需求,打破原有平衡,营造变革氛围;(2)变革阶段:制定并实施变革方案,调整结构、流程或文化;(3)再冻结阶段:巩固变革成果,固化新的组织状态。阻力管理方法:(1)加强沟通宣传,争取员工理解;(2)鼓励员工参与变革方案制定;(3)提供培训与资源支持;(4)建立激励机制,奖励积极参与者;(5)分步实施,降低变革冲击。
3. 人力资源管理各核心职能相互关联、形成闭环:(1)人力资源规划为其他职能提供方向,明确招聘、培训等需求;(2)招聘与甄选是人才入口,直接影响后续培训与绩效效果;(3)培训与开发提升员工能力,支撑绩效管理目标达成;(4)绩效管理是核心,其结果为薪酬调整、晋升提供依据;(5)薪酬福利管理激励员工,提升满意度与忠诚度,反向促进招聘、培训等职能的有效性。
4. 绩效管理的完整流程:(1)绩效计划制定:上下共同协商确定绩效目标与评价标准;(2)绩效实施与监控:员工执行任务,管理者提供指导与跟踪;(3)绩效评估:采用多种评价方式(上级、同级、自我等)客观评估绩效;(4)绩效反馈与面谈:沟通评估结果,分析问题并制定改进计划;(5)绩效结果应用:将结果与薪酬、晋升、培训等挂钩。
5. 组织设计需考虑的关键因素:(1)组织目标:围绕目标设置部门与岗位;(2)组织规模:规模越大,结构越复杂,需更多分权;(3)业务特性:业务单一适合简单结构,多元化业务适合事业部制或矩阵制;(4)环境稳定性:环境多变需柔性结构,环境稳定可采用刚性结构;(5)技术水平:技术复杂需专业化分工与协同结构;(6)人员素质:员工素质高可更多分权,素质低需更集中的指挥。
第四章
(一)单选题
1. C 解析:权变理论的核心观点是 “没有最佳领导方式,只有最适合的方式”,领导效果取决于领导者、被领导者与情境的匹配;特质理论聚焦领导者个人特质,行为理论关注领导行为风格,变革型领导理论强调激发员工变革意愿。
2. B 解析:双因素理论将影响因素分为保健因素(工作环境相关,消除不满但不带来满意)与激励因素(工作内容相关,如成就、认可,能激发内在动力);生理、安全因素属于需求层次理论。
3. A 解析:赫塞 - 布兰查德情境领导模型中,下属成熟度低(能力低、意愿高)时,需采用命令型(高任务 - 低关系)领导风格,明确指令与任务;说服型适用于能力低、意愿低,参与型适用于能力高、意愿低,授权型适用于能力高、意愿高。
4. B 解析:亚当斯提出公平理论,认为员工激励程度取决于付出 - 回报比的公平感;弗鲁姆提出期望理论,斯金纳提出强化理论,洛克提出目标设置理论。
5. B 解析:认知障碍源于沟通双方价值观、思维方式、知识背景的差异,导致对信息的解读不同;语义障碍是语言表达或理解差异,情绪障碍是情绪状态影响,渠道障碍是沟通渠道选择不当。
(二)多选题
1. ABCDE 解析:领导的核心要素包括领导者(主体)、被领导者(客体)、影响力(手段,含权力与非权力影响力)、领导目标(目的)、领导环境(背景),五者协同构成领导活动。
2. ABC 解析:内容型激励理论聚焦 “激励什么”(员工需求),包括需求层次理论、双因素理论、成就需要理论;公平理论、期望理论属于过程型激励理论。
3. ABC 解析:权变理论的代表模型包括菲德勒权变领导模型、赫塞 - 布兰查德情境领导模型、路径 - 目标理论;管理方格理论属于行为理论,特质理论是早期领导理论。
4. ABC 解析:沟通按方向分为上行沟通(下属向上级)、下行沟通(上级向下属)、平行沟通(同级之间);正式沟通与非正式沟通是按渠道划分的类型。
5. ABCD 解析:变革型领导的核心行为包括理想化影响力、鼓舞性激励、智力激发、个性化关怀;严格监督控制是交易型领导的行为特征。
(三)简答题
1. 区别:(1)核心职能:管理侧重计划、组织、控制,强调秩序与效率;领导侧重激励、沟通、引导,强调变革与创新。(2)关注对象:管理关注规章制度与流程;领导关注员工需求与动机。(3)行为方式:管理多采用命令、控制;领导多采用激励、授权。联系:(1)领导是管理的重要组成部分;(2)有效管理需要良好领导,有效领导离不开科学管理;(3)两者均以实现组织目标为核心,相互补充。
2. 期望理论的核心观点:激励力 = 效价 × 期望值 × 工具性。效价是目标对员工的价值,期望值是员工对实现目标的概率估计,工具性是员工对实现目标后获得回报的信任度。启示:(1)让员工明确目标价值(提高效价);(2)通过培训、资源支持增强员工信心(提高期望值);(3)确保回报与绩效挂钩(提高工具性);(4)个性化设计目标与回报,匹配员工需求。
3. 沟通障碍主要类型:(1)语义障碍(语言表达或理解差异);(2)认知障碍(价值观、思维方式差异);(3)情绪障碍(情绪状态影响);(4)渠道障碍(渠道选择不当);(5)组织结构障碍(层级过多、部门壁垒)。有效沟通方法:(1)明确沟通目标,清晰表达信息;(2)选择合适沟通渠道;(3)积极倾听,理解对方意图;(4)重视反馈,及时互动;(5)尊重个体差异,调整沟通方式;(6)控制情绪,保持理性。
4. 交易型领导与变革型领导的核心差异:(1)目标导向:交易型聚焦短期目标与任务完成,变革型聚焦长期发展与组织变革;(2)领导方式:交易型通过明确奖惩与任务要求形成 “交易” 关系,变革型通过愿景激励、智力激发激发员工内在动力;(3)对员工关注:交易型关注任务绩效,变革型关注员工成长与发展;(4)影响范围:交易型影响局限于任务层面,变革型塑造组织文化,影响更深远。
5. 强化理论的核心观点:个体行为是对外界刺激的反应,通过对行为结果的强化(正强化、负强化、惩罚、消退)可调整行为发生频率。应用原则:(1)正强化为主,及时奖励积极行为(如奖金、表扬);(2)负强化谨慎使用,通过消除不愉快刺激鼓励积极行为;(3)惩罚为辅,避免过度惩罚导致抵触情绪;(4)消退无效行为,对不符合期望的行为不予强化;(5)强化需与目标行为直接关联,确保针对性。
第五章
(一)单选题
1. D 解析:控制过程包括确立标准、衡量绩效、分析偏差、纠正偏差四个环节,最后一个环节是纠正偏差,通过采取措施消除偏差,确保组织活动回归计划轨道。
2. A 解析:前馈控制(事前控制)在活动开始前实施,通过预测风险、制定标准预防偏差;现场控制(事中控制)在活动进行中实施,反馈控制(事后控制)在活动结束后实施,均无法提前预防。
3. B 解析:预算控制通过量化的预算指标进行控制,属于定量控制方法;现场观察、报告分析、绩效考核均包含定性与定量结合的成分,并非纯粹定量控制。
4. D 解析:控制的适度性要求控制范围合理、强度适中、成本与收益匹配;控制标准固定不变违背灵活性要求,无法适应环境变化。
5. D 解析:全面质量管理的核心原则包括以客户为中心、全员参与、持续改进、过程方法等;以利润为唯一目标违背质量导向,不属于 TQM 原则。
(二)多选题
1. ABC 解析:按控制实施时间,控制分为前馈控制(事前)、现场控制(事中)、反馈控制(事后);集中控制与分散控制是按控制主体划分的类型。
2. ABCDE 解析:控制的基本要求包括准确性(标准明确、数据真实)、及时性(及时发现并纠正偏差)、适度性(范围与强度合理)、灵活性(适应环境变化)、全员参与(凝聚组织力量)。
3. ABCD 解析:常用控制方法包括预算控制(资源配置)、质量控制(产品或服务质量)、进度控制(任务时间)、成本控制(成本优化);人员控制是管理职能的一部分,并非独立控制方法。
4. ACE 解析:前馈控制的优点是防患于未然、避免滞后性、针对性强;B 选项错误,前馈控制对预见性与信息要求高,控制成本可能较高;D 选项是前馈控制的要求而非优点。
5. ABCDE 解析:有效控制体系应具备明确的控制目标(与组织目标一致)、科学的控制标准(可衡量、可操作)、畅通的信息反馈渠道(及时传递绩效信息)、灵活的控制方式(适应变化)、合理的控制幅度(避免过度控制)。
(三)简答题
1. 控制是管理者根据计划标准,衡量组织活动实际绩效,发现并纠正偏差,以确保组织目标实现的管理职能。核心作用:(1)保证计划执行,避免活动偏离目标;(2)及时纠正偏差,降低损失;(3)优化资源配置,提高利用效率;(4)适应环境变化,增强组织灵活性;(5)规范员工行为,提升组织绩效。
2. (1)前馈控制:特点是事前实施、预防偏差、控制成本低,适用场景为环境不确定性高、偏差损失大的情况(如产品设计阶段质量控制);(2)现场控制:特点是事中实施、及时纠正、对管理者要求高,适用场景为工作流程明确、操作标准化的活动(如生产车间工序控制);(3)反馈控制:特点是事后实施、总结经验、无法挽回损失,适用场景为无法进行前馈或现场控制的活动(如年度绩效评估)。
3. 控制的完整过程包括四个环节:(1)确立标准:根据计划目标制定明确、可衡量的控制标准(定量或定性),是控制的基础;(2)衡量绩效:收集实际绩效数据,确保数据准确及时;(3)分析偏差:对比标准与实际绩效,识别偏差大小、方向及原因(计划不合理、执行不力等);(4)纠正偏差:针对偏差原因采取针对性措施(调整计划、加强培训等),确保活动回归计划轨道。
4. 预算控制是通过编制、执行、分析预算,对组织资源分配与使用进行控制的定量方法。主要类型:(1)按内容分为经营预算(销售、生产、费用预算)、资本预算(投资预算)、财务预算(现金、利润预算);(2)按编制方法分为固定预算、弹性预算、滚动预算、零基预算。核心作用是明确资源分配优先级,监控资源使用,确保高效利用。
5. 实现有效质量控制的方法:(1)制定明确的质量标准,符合客户需求与行业规范;(2)建立全流程质量控制体系,覆盖原材料采购、生产加工、成品检验等环节;(3)推行全面质量管理(TQM),强调全员参与、持续改进;(4)运用科学的质量控制工具(如控制图、鱼骨图、抽样检验);(5)加强质量培训,提升员工质量意识与技能;(6)建立质量反馈机制,及时处理质量问题并持续优化。
第六章
(一)单选题
1. D 解析:数字化管理的核心技术支撑包括大数据分析、人工智能、物联网、云计算、区块链等现代技术;传统人工记录技术不属于数字化技术。
2. B 解析:柔性管理以 “人” 为中心,强调灵活应变、以人为本,通过非强制性手段引导员工;规章制度约束、层级控制是刚性管理的特征,量化考核并非柔性管理核心。
3. A 解析:企业社会责任的基础责任是经济责任,包括合法经营、盈利、创造就业等,是履行其他责任的前提;法律责任是底线责任,道德责任与环境责任是更高层次责任。
4. B 解析:供应链管理的核心目标是实现供应链各节点企业协同共赢,追求整体总成本最优,而非单个企业成本最低;生产速度与库存并非核心目标。
5. B 解析:关键路径法(CPM)通过绘制网络图识别影响项目总进度的关键任务,优先保障关键任务资源;甘特图直观展示进度,鱼骨图用于分析问题原因,德尔菲法是定性决策工具。
(二)多选题
1. ABCDE 解析:数字化管理的核心特征包括数据驱动决策(依赖数据分析)、流程数字化再造(优化传统流程)、管理智能化升级(运用 AI 等技术)、全域协同化连接(打破信息壁垒)、动态实时化响应(快速应对变化)。
2. ABCDE 解析:企业社会责任的核心维度包括经济责任(基础)、法律责任(底线)、道德责任(自愿)、环境责任(可持续)、利益相关者责任(针对员工、客户等)。
3. ABCD 解析:供应链管理的核心理论包括集成化、精益、敏捷、绿色供应链理论;传统采购管理理论仅关注单一企业采购环节,不属于现代供应链管理核心理论。
4. ABCD 解析:柔性管理的实施路径包括构建扁平化组织结构(减少层级)、建立柔性人力资源体系(弹性工作制等)、打造开放包容的文化(鼓励创新)、建立动态决策机制(快速响应);强化规章制度约束是刚性管理的做法。
5. ABC 解析:项目管理的 “铁三角” 核心要素是时间(进度)、成本(资源投入)、质量(成果标准),三者相互约束;风险与范围是重要要素,但不属于 “铁三角”。
(三)简答题
1. 数字化管理是利用数字技术(大数据、AI、物联网等)对组织业务流程、管理模式、决策方式进行重构优化,实现管理精准化、高效化、智能化的过程。核心价值:(1)提升决策科学性,基于数据避免经验主义;(2)提高管理效率,实现流程自动化;(3)增强组织协同,打破信息壁垒;(4)优化客户体验,精准对接需求;(5)驱动组织创新,挖掘新机会。
2. 柔性管理与刚性管理的核心区别:(1)管理基础:刚性管理以规章制度为核心,柔性管理以人文关怀为核心;(2)管理方式:刚性管理强调强制约束,柔性管理强调引导激励;(3)管理重点:刚性管理聚焦任务与流程标准化,柔性管理聚焦员工需求与组织创新;(4)适用环境:刚性管理适用于环境稳定、业务单一的组织,柔性管理适用于环境多变、业务复杂的组织。
3. 企业伦理管理的核心原则:(1)诚信原则:诚实守信,不欺诈、不隐瞒;(2)公正原则:公平对待利益相关者,不歧视、不偏袒;(3)责任原则:对自身行为后果负责,主动承担损害赔偿;(4)尊重原则:尊重他人人格、权利与意愿;(5)透明原则:经营活动公开透明,接受监督。
4. 供应链协同的实现路径:(1)建立战略合作伙伴关系,与核心供应商、客户形成长期稳定合作;(2)构建信息共享平台,实时共享需求、库存、生产计划等信息;(3)优化供应链流程,实现采购、生产、物流等环节无缝衔接;(4)建立利益共享与风险共担机制,平衡各方利益;(5)培育协同文化,增强合作信任。
5. 项目管理的五大过程组:(1)启动阶段:明确项目目标与可行性,立项并组建团队;(2)规划阶段:制定项目计划,包括范围、进度、成本、质量、风险等规划;(3)执行阶段:实施项目任务,协调资源、沟通协作,推进项目落地;(4)监控阶段:跟踪项目进度、成本、质量,识别偏差并采取纠正措施;(5)收尾阶段:项目验收、成果交付,总结经验并解散团队。
推荐参考书:
1. 《管理学:原理与方法》(第八版),周三多、陈传明、刘子馨、贾良定 编著,2024年7月出版,复旦大学出版社,ISBN:。
2. 《管理学:原理与方法-习题与案例指南》(第八版),周三多、贾良定 编著,2024年6月出版,复旦大学出版社,ISBN:。
3. 《管理学》(第15版)(工商管理经典译丛),[美] 斯蒂芬·罗宾斯,玛丽·库尔特 著,刘刚,梁晗,程熙鎔,唐寅 译,2022年3月出版,中国人民大学出版社,ISBN:9787300300795。
4. 《管理学学习指导》(第15版)(工商管理经典译丛),[美] 斯蒂芬·罗宾斯(Stephen P.Robbins) 著,刘刚,郑云坚,唐寅 等 译,2023年6月出版,中国人民大学出版社,ISBN:9787300318189。
5. 《供应链管理(第7版)》(工商管理经典译丛),[美] 苏尼尔·乔普拉 著,杨依依 译,中国人民大学出版社,ISBN:9787300295374。
6. 项目管理——战略管理的视角(第10版)(工商管理经典译丛),杰克·R.梅雷迪斯、(美)斯科特·M.谢弗、小塞缪尔·J.曼特尔 著,戴鹏杰、甄真 译,中国人民大学出版社,ISBN:9787300295343。
第四部分:市场营销学
第一章 市场营销学基础理论
1.1 市场营销的定义、核心概念与发展历程
1.1.1 市场营销的定义
市场营销作为一门兼具理论性与实践性的学科,其定义随着社会经济的发展和商业环境的变迁不断丰富与完善。在传统商业语境中,市场营销常被简单等同于 “推销” 或 “广告”,但这一认知仅触及了市场营销的表层行为,未能揭示其核心本质。现代营销学理论认为,市场营销是个人和群体通过创造、提供并同他人交换有价值的产品,以满足自身需求和欲望的社会过程与管理过程。这一定义包含三层核心内涵:首先,市场营销的核心是 “价值交换”,企业通过提供产品或服务,为消费者创造特定价值,进而换取消费者的货币支付、品牌认同等回报;其次,市场营销的本质是 “需求管理”,即识别、刺激、引导和满足消费者的潜在与现实需求;最后,市场营销是一个系统性的管理过程,涵盖市场调研、产品开发、定价、渠道建设、促销传播等一系列相互关联的活动,而非孤立的单一行为。
从学科属性来看,市场营销是一门交叉学科,融合了经济学、管理学、社会学、心理学、传播学等多学科的理论与方法。经济学为市场营销提供了供需关系、效用理论、竞争理论等基础分析框架;管理学为市场营销活动的规划、组织、执行与控制提供了系统性工具;社会学与心理学帮助企业理解消费者的社会行为、群体影响、认知模式与决策过程;传播学则为企业与消费者的沟通互动提供了有效的策略与路径。这一交叉属性使得市场营销能够全面、多维度地应对复杂的商业挑战,成为企业经营管理的核心职能之一。
1.1.2 市场营销的核心概念
市场营销的核心概念围绕 “价值创造与交换” 展开,形成了一个相互关联的逻辑体系,主要包括以下关键要素:
需求、欲望与需要:需要是指人类与生俱来的基本要求,如生理上的衣食住行、心理上的归属感与尊重等,是市场营销活动的起点;欲望是需要的具体化表现,受个人文化、社会环境、生活体验等因素影响,例如同样是满足 “需要”,有人渴望高端奢侈品,有人偏好性价比产品;需求则是指具有购买能力并愿意购买的欲望,是企业营销活动的直接目标。三者的关系可概括为:需要是基础,欲望是延伸,需求是具备实现条件的欲望。
目标市场:企业无法满足所有消费者的全部需求,因此需要通过市场细分,识别出具有共同需求特征的消费者群体,进而选择其中具有盈利潜力、符合企业资源与能力的群体作为目标市场。目标市场的选择决定了企业的产品定位、营销战略与资源配置方向,是市场营销活动的重要前提。
价值主张:价值主张是企业向目标市场传递的核心价值承诺,即企业通过产品或服务为消费者解决什么问题、带来什么利益。它是企业区别于竞争对手的关键,例如苹果公司的价值主张是 “创新设计与用户体验”,小米的价值主张是 “高性价比与科技普惠”。价值主张需要清晰、具体,能够精准击中目标消费者的核心需求。
产品与服务:产品与服务是价值主张的载体,是企业满足消费者需求的具体形式。产品不仅包括实体商品,还包括无形的服务、品牌、体验等;服务则强调与消费者的互动过程,注重及时性、专业性与个性化。在现代营销中,产品与服务的边界日益模糊,“产品 + 服务” 的组合成为企业提升竞争力的重要方式。
价值交换与关系营销:价值交换是市场营销的核心行为,即消费者以货币、时间、注意力等为代价,换取企业提供的产品或服务价值。而关系营销则强调在价值交换的基础上,建立并维护与消费者、供应商、合作伙伴等利益相关者的长期稳定关系,通过持续的价值创造与互动,实现企业与利益相关者的共赢。关系营销的核心是信任与承诺,能够帮助企业降低营销成本、提升客户忠诚度与口碑传播效应。
1.1.3 市场营销的发展历程
市场营销的发展历程与社会经济形态、技术进步、消费观念变迁密切相关,大致可分为以下五个阶段:
萌芽阶段(19 世纪末— 20 世纪 20 年代):这一阶段的社会背景是工业革命后期,生产力水平逐步提升,产品供给开始增加,但市场整体仍处于供不应求的状态。企业的核心任务是扩大生产规模、降低生产成本,营销活动尚未形成系统理论,主要表现为简单的推销与广告行为。此时的营销思想以 “生产为中心”,企业关注的是 “如何生产更多产品”,而非 “消费者需要什么产品”。这一阶段的代表理论是亚当・斯密的分工理论与泰勒的科学管理理论,强调生产效率的提升。
形成阶段(20 世纪 30 年代—50 年代):随着生产力的快速发展,产品供给逐渐超过需求,市场竞争开始加剧,消费者的选择空间扩大。企业开始意识到仅靠生产效率无法适应市场变化,需要关注消费者需求。这一阶段的营销理论开始萌芽,出现了以市场调研、产品差异化、品牌建设为核心的营销思想。1912 年,哈佛大学教授赫杰特齐出版了第一本以 “市场营销学” 命名的教科书,标志着市场营销学作为一门独立学科的诞生。20 世纪 50 年代,美国营销学家尼尔・鲍顿提出了 “市场营销组合” 的概念,为市场营销理论的系统化奠定了基础。
发展阶段(20 世纪 60 年代—80 年代):这一阶段是市场营销学的快速发展期,理论体系不断完善,核心思想从 “以产品为中心” 转向 “以消费者为中心”。1960 年,美国营销学家杰罗姆・麦卡锡提出了著名的 “4P 营销组合理论”(产品 Product、价格 Price、渠道 Place、促销 Promotion),成为市场营销实践的核心工具。同时,市场细分、目标市场选择与产品定位(STP 理论)的提出,进一步丰富了市场营销的理论体系。此外,随着全球化进程的加快,国际市场营销、服务营销等分支学科开始兴起,市场营销的应用场景不断拓展。
成熟阶段(20 世纪 90 年代—21 世纪初):这一阶段的社会背景是信息技术的快速发展、全球化程度的加深以及消费者需求的多样化与个性化。市场营销理论更加注重 “关系营销”“整合营销传播” 等理念,强调企业与利益相关者的长期合作关系,以及营销传播的统一性与一致性。1990 年,美国营销学家罗伯特・劳特朋提出了 “4C 营销理论”(消费者 Consumer、成本 Cost、便利 Convenience、沟通 Communication),将营销的重心从企业转向消费者,进一步深化了以消费者为中心的营销思想。同时,网络营销开始兴起,为市场营销提供了新的渠道与工具。
创新阶段(21 世纪初至今):在数字化、智能化技术的推动下,市场营销进入了创新发展的新阶段。大数据、人工智能、社交媒体、物联网等技术的广泛应用,使得企业能够更精准地洞察消费者需求、实现个性化营销、优化营销效率。这一阶段的市场营销理论呈现出 “数字化、智能化、生态化” 的特征,出现了 “大数据营销”“精准营销”“社交营销”“内容营销”“私域流量运营” 等新的营销理念与实践模式。同时,随着社会对可持续发展、社会责任的关注,绿色营销、社会营销等理念日益受到重视,市场营销的内涵进一步拓展,不仅追求企业经济效益,还注重社会价值与环境责任的实现。
1.2 市场营销观念的演变
市场营销观念是企业开展市场营销活动的指导思想,是企业在处理自身、消费者、社会三者利益关系时的根本态度与行为准则。随着社会经济的发展、市场环境的变化以及企业对消费者需求认识的深化,市场营销观念经历了从 “以企业为中心” 到 “以消费者为中心”,再到 “以社会价值为中心” 的演变过程,主要包括以下五种核心观念:
1.2.1 生产观念
生产观念是最早出现的市场营销观念,盛行于 19 世纪末至 20 世纪 20 年代。这一观念的核心思想是:消费者偏好那些价格低廉、易于获得的产品,企业的主要任务是扩大生产规模、提高生产效率、降低生产成本,以满足市场对产品数量的需求。
生产观念产生的背景是工业革命初期,生产力水平较低,产品供给不足,市场处于 “卖方市场” 状态,消费者的需求相对简单,主要关注产品的实用性与价格,对产品的品种、质量、个性化等方面要求不高。在这种市场环境下,企业的核心竞争力在于生产能力,只要能够生产出足够多的产品,就能够实现销售并获得利润。例如,这一时期的福特汽车公司通过流水线生产方式,大幅降低了 T 型车的生产成本,使得汽车价格大幅下降,满足了普通消费者对汽车的基本需求,成为生产观念的典型代表。
生产观念的优点是强调生产效率的提升,能够快速满足市场对产品数量的需求,降低产品价格,惠及更多消费者。但这一观念的局限性也十分明显:它忽视了消费者的个性化需求,认为 “只要产品价格低、容易获得,消费者就会购买”,导致产品品种单一、质量同质化;同时,它缺乏对市场需求变化的敏感度,当市场供给超过需求、消费者需求开始多样化时,生产观念便难以适应市场变化,容易导致产品积压、企业经营困难。
1.2.2 产品观念
产品观念是继生产观念之后出现的市场营销观念,盛行于 20 世纪 20 年代至 30 年代。这一观念的核心思想是:消费者偏好那些质量优良、性能卓越、功能齐全的产品,企业的主要任务是致力于产品的改进与创新,不断提高产品质量,打造 “优质产品”,而无需过多关注消费者的具体需求与市场推广。
产品观念产生的背景是随着生产力的发展,产品供给逐渐增加,市场竞争开始显现,消费者对产品质量的要求有所提高。企业意识到,仅靠扩大生产规模、降低价格已无法完全吸引消费者,优质的产品才是赢得市场的关键。在这种观念的指导下,企业将大量资源投入到产品研发、技术改进与质量控制中,追求 “产品至上” 的经营理念。例如,早期的日本索尼公司专注于电子产品的技术创新与质量提升,推出了一系列具有领先技术的产品,凭借优质的产品品质赢得了消费者的认可与市场份额。
产品观念的进步之处在于认识到产品质量对消费者购买决策的影响,注重产品的技术创新与品质提升,推动了产品质量的整体进步。但这一观念仍存在明显的局限性:它陷入了 “产品自恋” 的误区,认为 “只要产品质量好,就一定能卖出去”,忽视了消费者的实际需求与购买能力。事实上,消费者的需求是多样化的,不仅关注产品质量,还关注产品的价格、款式、功能是否符合自身需求,过于追求高端品质的产品可能因价格过高或功能冗余而难以被市场接受。此外,产品观念缺乏对市场需求变化的主动洞察,容易导致企业闭门造车,研发出的产品与市场需求脱节。
1.2.3 推销观念
推销观念盛行于 20 世纪 30 年代至 50 年代,是在市场供给超过需求、市场竞争日益激烈的背景下产生的。这一观念的核心思想是:消费者具有购买惰性,不会主动购买企业的产品,企业必须通过积极的推销与促销手段,刺激消费者的购买欲望,促使消费者产生购买行为。
推销观念的产生源于 “卖方市场” 向 “买方市场” 的转变,产品供给过剩导致企业面临产品积压的风险。在这种情况下,企业的核心任务不再是扩大生产或改进产品,而是通过各种推销手段将已生产的产品销售出去。推销观念认为,消费者的购买决策是被动的,需要企业通过广告、人员推销、营业推广等方式进行说服与刺激,才能促使其购买。例如,这一时期的许多企业纷纷组建庞大的销售团队,通过上门推销、广告轰炸等方式推广产品,强调产品的特点与优势,试图说服消费者购买。
推销观念的进步之处在于认识到市场竞争的存在,开始重视产品的推广与销售,通过积极的营销传播手段促进产品销售,缓解了产品积压的问题。但这一观念仍存在显著的局限性:它本质上仍然是 “以企业为中心”,关注的是 “如何将产品卖出去”,而非 “消费者需要什么产品”。推销观念将消费者视为被动的购买者,忽视了消费者的真实需求与意愿,容易导致 “强买强卖” 的推销行为,引发消费者的反感。此外,推销观念注重短期的销售业绩,缺乏对长期客户关系的维护,难以实现企业的可持续发展。
1.2.4 市场营销观念
市场营销观念是市场营销史上的一次革命,盛行于 20 世纪 50 年代至 90 年代,标志着市场营销思想从 “以企业为中心” 转向 “以消费者为中心”。这一观念的核心思想是:企业的一切经营活动都应以消费者需求为中心,通过满足消费者的需求与欲望来实现企业的盈利目标。
市场营销观念产生的背景是战后经济的快速复苏、消费者收入水平的提高、需求多样化与个性化趋势的显现,以及市场竞争的进一步加剧。在这种市场环境下,企业意识到,只有准确把握消费者的需求,提供符合消费者需求的产品与服务,才能在竞争中脱颖而出。市场营销观念强调 “以消费者为中心”,要求企业首先通过市场调研了解消费者的需求与欲望,然后根据消费者需求进行产品开发、定价、渠道建设与促销传播,最后通过满足消费者需求实现企业的利润目标。
市场营销观念的核心特征包括:一是注重市场调研,深入了解消费者需求;二是强调消费者导向,将消费者需求贯穿于企业经营的全过程;三是追求长期盈利,通过满足消费者需求建立长期客户关系,实现企业的可持续发展;四是重视整体营销,强调营销组合的协同作用,通过产品、价格、渠道、促销的有机结合,为消费者创造最大价值。例如,丰田汽车公司通过市场调研发现消费者对省油、可靠、性价比高的汽车需求,推出了符合这一需求的产品,迅速占领了市场份额;迪士尼乐园则通过打造沉浸式的娱乐体验,满足了消费者对快乐、梦幻的需求,成为全球主题公园的标杆。
市场营销观念的出现,彻底改变了企业的经营逻辑,推动了市场营销理论与实践的快速发展,成为现代市场营销的核心指导思想。它的局限性主要在于,在实践中部分企业过于关注消费者的短期需求,而忽视了长期的社会利益与环境责任,为后续社会营销观念的出现埋下了伏笔。
1.2.5 社会营销观念
社会营销观念兴起于 20 世纪 70 年代,是对市场营销观念的进一步拓展与升华。这一观念的核心思想是:企业的经营活动不仅要满足消费者的需求与欲望、实现企业的盈利目标,还应兼顾社会利益与环境责任,追求企业、消费者、社会三者利益的统一。
社会营销观念产生的背景是随着工业化进程的加快,环境污染、资源短缺、贫富差距等社会问题日益突出,消费者的环保意识、社会责任感不断增强,对企业的社会责任提出了更高的要求。在这种背景下,企业单纯追求消费者需求与企业盈利的营销观念已经难以适应社会发展的要求,需要在满足消费者需求的同时,关注社会利益与环境可持续性。
社会营销观念的核心特征包括:一是强调 “三重底线”,即企业在追求经济利益(盈利)的同时,要注重社会利益(如保障员工权益、支持公益事业、促进社会公平)与环境利益(如节能减排、低碳环保、可持续发展);二是注重长期价值,不仅关注短期的市场份额与利润,更重视企业的长期品牌形象与社会声誉;三是平衡多方利益,在企业、消费者、社会三者利益发生冲突时,寻求最优的平衡方案,实现共赢。例如,星巴克推行 “公平贸易咖啡” 计划,保障咖啡种植者的合理收入,同时注重门店的节能减排,践行环保责任;联合利华推出 “可持续生活计划”,致力于减少产品对环境的影响,同时帮助消费者实现可持续的生活方式,这些都是社会营销观念的典型实践。
社会营销观念是市场营销观念的重要发展,它将市场营销的内涵从企业与消费者的双边关系扩展到企业、消费者、社会三者的多边关系,推动企业在追求经济效益的同时,承担更多的社会责任。这一观念不仅符合社会发展的趋势,也有助于企业建立良好的品牌形象、提升消费者忠诚度,实现企业的可持续发展。
1.3 市场营销环境理论
市场营销环境是指影响企业市场营销活动及其目标实现的各种外部因素与内部因素的总和。外部环境是企业无法直接控制的因素,包括宏观环境与微观环境;内部环境是企业可以自主控制的因素,如企业的资源、能力、组织架构、企业文化等。市场营销环境具有动态性、复杂性、不确定性与关联性等特征,它既为企业提供了发展机遇,也带来了潜在威胁。企业必须深入分析市场营销环境,准确把握环境变化的趋势,调整自身的营销战略与策略,才能在复杂多变的环境中生存与发展。
1.3.1 市场营销宏观环境的构成
市场营销宏观环境是指影响整个市场体系、涉及范围广泛的外部因素,这些因素对企业的市场营销活动产生间接但深远的影响。宏观环境主要包括政治法律环境、经济环境、社会文化环境、技术环境、自然环境等五个方面,其构成如下:
1.3.1.1 政治法律环境
政治法律环境是指影响企业市场营销活动的政治因素与法律因素的总和,主要包括政治制度、政治稳定性、政府政策、法律法规等内容。
政治制度与政治稳定性是企业开展市场营销活动的基本前提。一个国家或地区的政治制度决定了市场的开放程度、经济政策的导向以及企业的经营环境。政治稳定则能够为企业提供稳定的经营预期,减少政策变动带来的风险;反之,政治动荡、政权更迭可能导致市场秩序混乱、政策频繁调整,给企业的生产经营与市场营销带来巨大不确定性。
政府政策对企业市场营销活动具有直接的引导与调控作用。政府的产业政策、税收政策、贸易政策、货币政策、消费政策等,都会影响企业的市场机会、经营成本与竞争格局。例如,政府对新能源汽车产业的补贴政策,推动了新能源汽车市场的快速发展,为相关企业带来了广阔的市场空间;政府对房地产行业的调控政策,则直接影响房地产企业的销售策略与市场需求。
法律法规是企业市场营销活动的行为准则,对企业的经营行为具有强制性约束作用。与市场营销相关的法律法规主要明确了企业在产品质量、广告宣传、市场竞争、消费者权益保护等方面的责任与义务,企业必须严格遵守,否则将面临法律制裁。同时,法律法规的变化也会影响企业营销战略的实施。
1.3.1.2 经济环境
经济环境是指影响企业市场营销活动的经济因素的总和,主要包括经济发展水平、收入水平、消费结构、通货膨胀率、利率、汇率等内容,是影响企业市场营销活动最直接、最重要的宏观环境因素。
经济发展水平是衡量一个国家或地区市场潜力的核心指标,通常用国内生产总值(GDP)、人均 GDP、经济增长率等指标来衡量。经济发展水平越高,消费者的收入水平、购买力越强,市场需求越旺盛,企业的市场机会越多。例如,发达国家的消费者对高端产品、服务产品的需求较高,而发展中国家的消费者更注重产品的实用性与性价比。同时,经济发展阶段也会影响市场结构与消费趋势。
收入水平是影响消费者购买力的关键因素,主要包括居民人均可支配收入、人均纯收入、家庭收入结构等指标。居民收入水平的提高,会直接提升消费者的购买力,推动消费需求从基本生活需求向享受型、发展型需求升级。
消费结构是指消费者在各类消费支出上的比例关系,反映了消费者的消费偏好与需求特征。随着经济发展与收入水平的提高,消费结构会不断升级,呈现出 “从生存型消费向发展型、享受型消费转变,从物质消费向服务消费转变,从大众化消费向个性化、品质化消费转变” 的趋势。消费结构的变化直接影响企业的产品研发与市场定位。
通货膨胀率、利率、汇率等经济指标的变化,会通过影响消费者的购买力、企业的融资成本、进出口贸易等,间接影响企业的市场营销活动。
1.3.1.3 社会文化环境
社会文化环境是指影响企业市场营销活动的社会因素与文化因素的总和,主要包括人口环境、社会阶层、价值观、生活方式、消费习俗、文化传统等内容。社会文化环境通过影响消费者的消费观念、消费行为与购买决策,间接影响企业的市场营销活动。
人口环境是社会文化环境的核心组成部分,主要包括人口规模、人口增长率、人口结构(年龄结构、性别结构、家庭结构、地域结构、教育结构等)。人口规模决定了市场的潜在需求总量,人口增长率影响市场需求的增长速度;年龄结构的变化会带来特定的市场机会,例如,老龄化社会的到来推动了养老产业、健康产业的发展,新生代消费者(如 Z 世代)成为市场的主力,其消费偏好与行为特征影响着市场趋势;家庭结构的变化(如核心家庭、单身家庭比例上升)影响着产品的设计与营销,例如,小包装产品、便捷化产品更受单身家庭欢迎;地域结构与教育结构则影响着消费者的消费观念与购买能力,不同地区、不同教育水平的消费者在消费偏好、品牌认知等方面存在显著差异。
社会阶层是指社会中根据收入、职业、教育水平、社会地位等因素划分的不同群体,同一社会阶层的消费者具有相似的消费观念、生活方式与购买行为,不同社会阶层的消费者则存在明显差异。例如,上层社会阶层的消费者更注重产品的品牌、品质与社会地位象征,而中层社会阶层的消费者更关注产品的性价比与实用性。企业需要根据目标市场的社会阶层特征,制定相应的产品定位与营销传播策略。
价值观是指人们对事物的是非、善恶、美丑的判断标准,是影响消费者购买决策的核心心理因素。不同的文化背景、社会环境会形成不同的价值观,进而影响消费者的消费行为。例如,在注重集体主义的文化中,消费者更倾向于购买符合社会主流价值观、被大众认可的产品;而在注重个人主义的文化中,消费者更强调个性化、自我表达,对个性化产品的需求更高。同时,价值观的变化也会影响消费趋势,例如,随着环保意识、健康意识的提升,消费者更倾向于购买绿色、健康、环保的产品。
生活方式是指人们在日常生活中形成的行为模式与消费习惯,受价值观、社会阶层、职业、收入等多种因素影响。不同生活方式的消费者具有不同的消费需求与购买偏好,例如,追求时尚、潮流的消费者更关注新产品、时尚品牌;注重健康、养生的消费者更倾向于购买健康食品、健身器材;喜欢休闲、娱乐的消费者则对旅游、影视、游戏等产品有较高需求。企业可以通过研究消费者的生活方式,识别出特定的消费群体,进而开发符合其生活方式的产品与服务。
消费习俗是指一个国家或地区在长期的历史发展中形成的独特的消费习惯与偏好,具有较强的稳定性与传承性。例如,中国的春节、中秋节等传统节日,形成了送礼、团圆消费等独特的消费习俗;不同地区的饮食习俗、服饰习俗等,也影响着当地消费者的产品选择。企业在开展市场营销活动时,需要尊重当地的消费习俗,甚至可以利用消费习俗创造市场机会,例如,节日促销、定制化节日产品等。
1.3.1.4 技术环境
技术环境是指影响企业市场营销活动的科学技术因素的总和,主要包括新技术的研发与应用、技术创新速度、技术普及程度、技术标准等内容。在数字化、智能化时代,技术环境对企业市场营销活动的影响日益深刻,成为推动市场营销创新与变革的核心动力。
新技术的研发与应用为企业提供了新的产品、新的渠道、新的营销工具与新的商业模式,极大地拓展了企业的市场机会。例如,人工智能技术的应用使得企业能够实现精准营销、智能客服、个性化推荐等功能,提升营销效率与消费者体验;大数据技术能够帮助企业深入洞察消费者需求、优化产品设计、预测市场趋势;互联网、移动互联网技术的普及,催生了电商平台、社交媒体、直播带货等新的营销渠道,改变了消费者的购物方式与企业的营销模式;物联网技术则推动了智能家居、智能穿戴等新产品的发展,创造了新的市场需求。
技术创新速度的加快,使得产品的生命周期不断缩短,市场竞争更加激烈。企业需要持续投入研发资源,保持技术创新能力,才能及时推出符合市场需求的新产品,避免被市场淘汰。同时,技术创新也会引发行业洗牌,新兴技术企业可能凭借技术优势快速崛起,传统企业如果不能及时跟上技术发展的步伐,可能面临被颠覆的风险。
技术普及程度影响着企业的营销渠道选择与营销方式创新。在技术普及程度较高的地区,消费者更习惯于通过线上渠道购物、获取信息,企业可以加大对数字化营销的投入;而在技术普及程度较低的地区,传统营销渠道仍具有重要作用。同时,技术普及也会降低市场进入门槛,使得中小企业能够通过互联网、社交媒体等渠道开展营销活动,与大企业展开竞争。
技术标准是指对技术产品的质量、规格、性能等方面的统一规定,对企业的产品研发与市场准入具有重要影响。企业的产品必须符合相关的技术标准,才能进入目标市场。同时,技术标准的制定与变化也会影响行业的竞争格局,掌握核心技术标准的企业往往具有更强的市场竞争力。
1.3.1.5 自然环境
自然环境是指影响企业市场营销活动的自然因素的总和,主要包括自然资源、生态环境、气候变化等内容。随着全球环境问题的日益突出,自然环境对企业市场营销活动的影响越来越受到重视,绿色营销、可持续营销成为企业的重要发展方向。
自然资源是企业生产经营的物质基础,包括可再生资源(如水资源、森林资源、太阳能等)与不可再生资源(如石油、煤炭、矿产等)。自然资源的分布、储量与供应状况,直接影响企业的生产成本与原材料供应稳定性。例如,石油价格的波动会影响交通运输、化工等行业的企业成本;水资源短缺会对农业、制造业等行业的企业生产产生限制。同时,随着自然资源的日益稀缺,企业需要加强资源节约与循环利用,开发新能源、新材料,以降低对传统自然资源的依赖。
生态环境是指自然环境的生态平衡状态,包括空气质量、水质、土壤质量、生物多样性等指标。生态环境的恶化会引发社会对环境保护的关注,推动相关环保政策的出台,影响企业的生产经营与市场营销活动。例如,政府对高污染、高耗能企业的限制,要求企业加大环保投入、改进生产技术,实现绿色生产;消费者对环保产品的需求增加,推动企业开发绿色产品、推广绿色营销。同时,企业的环保行为也会影响品牌形象,注重环保的企业更容易获得消费者的认可与社会的支持。
气候变化是指全球气候变暖、极端天气事件增多等气候异常现象,对农业、旅游业、交通运输业等行业的企业产生直接影响。例如,极端天气会影响农作物的产量,增加农业企业的经营风险;气候变暖会改变旅游目的地的吸引力,影响旅游企业的市场需求。企业需要关注气候变化带来的影响,调整生产经营策略与市场营销方案,降低气候风险。
1.3.2 市场营销微观环境的构成
市场营销微观环境是指与企业紧密相关、直接影响企业市场营销活动的各种外部因素,主要包括企业自身、供应商、营销中介、消费者、竞争者、公众等六个方面。这些因素与企业的市场营销活动直接互动,对企业的营销效果产生直接影响。
1.3.2.1 企业自身
企业自身是市场营销微观环境的核心,企业的资源、能力、组织架构、企业文化等内部因素,直接决定了企业市场营销活动的开展方式与效果。
企业资源是指企业拥有或控制的能够支持市场营销活动的各种有形与无形资源,包括资金资源、人力资源、技术资源、品牌资源、渠道资源等。资金资源决定了企业的营销预算规模,影响企业的广告投放、渠道建设、促销活动等营销行为;人力资源尤其是营销团队的专业能力、经验与执行力,直接影响营销计划的实施效果;技术资源决定了企业的产品研发能力与技术创新水平,是企业打造核心竞争力的关键;品牌资源是企业的重要无形资产,良好的品牌形象能够提升产品的市场认可度与消费者忠诚度;渠道资源则影响企业产品的市场覆盖范围与销售效率。
企业能力是指企业整合与运用资源开展市场营销活动的能力,主要包括市场调研能力、产品研发能力、营销策划能力、渠道管理能力、客户关系管理能力等。市场调研能力能够帮助企业准确洞察消费者需求与市场变化趋势;产品研发能力能够确保企业推出符合市场需求的产品;营销策划能力能够帮助企业制定有效的营销战略与策略;渠道管理能力能够保障产品的顺利流通与终端销售;客户关系管理能力能够帮助企业维护与消费者的长期稳定关系。
企业组织架构与企业文化也会影响市场营销活动的开展。合理的组织架构能够确保营销部门与其他部门(如生产部门、研发部门、财务部门)的有效协同,提高营销效率;积极向上、以消费者为中心的企业文化,能够引导员工树立正确的营销理念,激发员工的营销积极性与创造力。
1.3.2.2 供应商
供应商是指向企业提供生产经营所需原材料、零部件、设备、能源、服务等资源的企业或个人,是企业价值链的重要组成部分。供应商的供应能力、产品质量、价格水平、交货期、信用状况等因素,直接影响企业的生产经营与市场营销活动。
供应能力是指供应商满足企业资源需求的能力,包括供应规模、供应稳定性等。供应商的供应能力不足或供应不稳定,会导致企业生产中断、产品缺货,影响企业的市场供应与销售业绩;反之,供应商的供应能力强、供应稳定,能够保障企业的生产连续性与市场供应稳定性。
产品质量是供应商提供资源的核心指标,直接影响企业产品的质量与性能。如果供应商提供的原材料、零部件质量不合格,会导致企业产品质量下降,影响消费者对产品的信任与品牌形象;而优质的供应商资源能够帮助企业提升产品质量,增强产品的市场竞争力。
价格水平是影响企业生产成本的关键因素,供应商提供资源的价格高低直接决定了企业产品的成本结构与定价空间。供应商的价格优惠、性价比高,能够帮助企业降低生产成本,提高产品的价格竞争力;反之,供应商价格过高,会增加企业的成本压力,影响企业的盈利水平。
交货期与信用状况也会影响企业的生产经营与市场营销活动。交货期及时能够确保企业的生产计划顺利推进,避免因原材料短缺导致的产品供应延迟;供应商的信用状况良好,能够为企业提供更灵活的付款条件,缓解企业的资金压力。
1.3.2.3 营销中介
营销中介是指协助企业将产品或服务传递给最终消费者的中间机构或个人,主要包括经销商、零售商、批发商、代理商、物流企业、营销服务机构(如广告公司、公关公司、市场调研公司)、金融机构等。营销中介是企业营销渠道的重要组成部分,其效率与服务质量直接影响企业产品的市场覆盖范围、流通效率与消费者体验。
经销商、零售商、批发商、代理商等渠道中介,是企业产品从生产端到达消费端的关键环节。渠道中介的市场覆盖范围、销售网络、终端陈列能力、客户资源等,直接影响企业产品的市场渗透率与销售业绩。例如,大型零售商(如沃尔玛、京东)凭借广泛的销售网络与庞大的客户基础,能够帮助企业快速扩大市场覆盖;专业的代理商则能够利用其行业经验与客户资源,帮助企业开拓特定市场。同时,渠道中介的合作意愿、合作条件、销售政策执行力度等,也会影响企业的营销效果,企业需要与渠道中介建立良好的合作关系,制定合理的渠道政策,激励渠道中介积极推广产品。
物流企业负责产品的仓储、运输与配送,其物流效率、物流成本、配送范围与服务质量,直接影响产品的流通效率与消费者的购物体验。高效的物流服务能够确保产品及时送达消费者手中,提高消费者满意度;合理的物流成本能够帮助企业降低整体经营成本;广泛的配送范围能够扩大企业的市场覆盖。随着电子商务的发展,物流企业的重要性日益凸显,企业需要选择物流效率高、服务质量好的物流合作伙伴,优化物流配送体系。
营销服务机构为企业提供专业的营销支持服务,如广告公司帮助企业制定广告策略、制作广告作品、投放广告;公关公司帮助企业进行品牌形象塑造、危机公关处理;市场调研公司帮助企业开展市场调研、分析市场趋势。专业的营销服务机构能够为企业提供专业的营销工具与方法,提升营销活动的效果与效率,企业可以根据自身需求选择合适的营销服务机构,借助外部专业力量提升营销水平。
金融机构(如银行、保险公司)为企业的市场营销活动提供资金支持与风险保障。银行的信贷服务能够帮助企业解决营销资金短缺的问题,支持企业开展广告投放、渠道建设、促销活动等营销行为;保险公司的相关保险产品(如货物运输保险、产品质量保险)能够帮助企业降低营销过程中的风险。
1.3.2.4 消费者
消费者是企业市场营销活动的目标对象,是产品或服务的最终购买者与使用者。消费者的需求特征、购买行为、消费偏好、决策过程等因素,直接决定了企业市场营销活动的方向与效果,是企业营销决策的核心依据。
消费者的需求特征包括需求的多样性、个性化、动态性等。不同消费者的需求存在显著差异,即使是同一消费者,在不同时期、不同场景下的需求也会发生变化。企业需要通过市场调研,深入了解消费者的需求特征,进行市场细分,选择目标市场,开发符合目标消费者需求的产品与服务。
消费者的购买行为受多种因素影响,包括文化因素、社会因素、个人因素、心理因素等。文化因素(如价值观、消费习俗)决定了消费者的基本消费观念;社会因素(如家庭、朋友、社会阶层)影响消费者的购买决策;个人因素(如年龄、性别、职业、收入、生活方式)决定了消费者的消费偏好与购买能力;心理因素(如动机、感知、学习、态度)影响消费者的购买意愿与决策过程。企业需要分析消费者的购买行为影响因素,制定针对性的营销战略与策略,刺激消费者的购买欲望,促使消费者产生购买行为。
消费者的决策过程通常包括问题识别、信息搜索、方案评估、购买决策、购后评价等五个阶段。在问题识别阶段,消费者意识到自身需求与现实状态的差距;在信息搜索阶段,消费者通过内部记忆与外部渠道(如广告、亲友推荐、网络评价)收集产品信息;在方案评估阶段,消费者对备选产品进行比较与评价;在购买决策阶段,消费者做出购买选择;在购后评价阶段,消费者对购买的产品或服务进行评价,形成满意度与忠诚度,并影响后续的购买行为与口碑传播。企业需要针对消费者决策过程的不同阶段,制定相应的营销措施,例如,在信息搜索阶段通过广告、内容营销等方式向消费者传递产品信息;在购后评价阶段通过优质的售后服务提升消费者满意度,促进口碑传播。
1.3.2.5 竞争者
竞争者是指与企业提供相同或类似产品或服务、争夺同一目标市场的其他企业或组织。竞争者的数量、规模、市场份额、竞争策略、核心竞争力等因素,直接影响企业的市场地位与营销效果,是企业市场营销活动的重要影响因素。
竞争者的类型多种多样,根据竞争范围与程度的不同,可分为直接竞争者、间接竞争者与潜在竞争者。直接竞争者是指提供相同产品或服务、针对同一目标市场的企业,例如,可口可乐与百事可乐、苹果与三星等,直接竞争者之间的竞争最为激烈;间接竞争者是指提供类似产品或服务、满足消费者同一需求的企业,例如,航空公司与高铁公司、咖啡品牌与茶品牌等,间接竞争者之间存在一定的竞争关系;潜在竞争者是指目前尚未进入市场,但具备进入市场能力的企业或组织,潜在竞争者的进入会增加市场竞争强度,威胁现有企业的市场份额。
竞争者的竞争策略主要包括成本领先策略、差异化策略、集中化策略等。采用成本领先策略的企业通过降低生产成本,以低价优势吸引消费者;采用差异化策略的企业通过提供独特的产品或服务,满足消费者的个性化需求,形成竞争优势;采用集中化策略的企业专注于特定的目标市场,通过深耕细分市场获得竞争优势。企业需要分析竞争者的竞争策略,制定差异化的营销战略,避免同质化竞争,突出自身的竞争优势。
竞争者的核心竞争力是指竞争者在产品质量、技术创新、品牌形象、渠道网络、客户服务等方面的独特优势,是竞争者保持市场地位的关键。企业需要识别竞争者的核心竞争力,找出自身的优势与劣势,通过提升自身的核心竞争力,应对竞争者的挑战。例如,如果竞争者的核心竞争力是品牌形象,企业可以通过加强品牌建设、提升品牌知名度与美誉度来与之竞争;如果竞争者的核心竞争力是成本优势,企业可以通过优化供应链、降低生产成本来提升自身的价格竞争力。
1.3.2.6 公众
公众是指对企业的市场营销活动产生影响的各种社会群体或个人,主要包括金融公众、媒体公众、政府公众、公民行动公众、地方公众、一般公众、内部公众等。公众通过影响企业的品牌形象、社会声誉、政策环境等,间接影响企业的市场营销活动。
金融公众是指影响企业融资能力的金融机构与投资者,如银行、保险公司、证券公司、股东等。金融公众对企业的信任度与评价,直接影响企业的融资渠道与融资成本,进而影响企业的营销预算与投资能力。企业需要与金融公众建立良好的关系,提升企业的财务状况与信用水平,获得金融公众的支持。
媒体公众是指影响企业品牌形象与信息传播的新闻媒体、社交媒体平台、意见领袖等,如报纸、电视台、网络媒体、网红博主等。媒体公众具有广泛的传播影响力,能够快速传递企业的产品信息、品牌形象,也能够曝光企业的负面事件,对企业的声誉产生重要影响。企业需要与媒体公众建立良好的合作关系,通过媒体传播正面信息,塑造良好的品牌形象,同时积极应对媒体曝光的负面事件,做好危机公关。
政府公众是指与企业相关的政府部门与监管机构,如市场监管部门、税务部门、环保部门等。政府公众通过制定法律法规、政策规章、监管措施等,规范企业的市场营销行为,企业需要遵守政府公众的相关规定,积极配合政府部门的监管工作,树立良好的企业公民形象。
公民行动公众是指关注企业社会责任、环保行为、消费者权益保护等问题的社会组织与公众群体,如消费者协会、环保组织、行业协会等。公民行动公众通过舆论监督、维权行动等方式,影响企业的经营行为与品牌形象,企业需要重视公民行动公众的诉求,积极履行社会责任,加强消费者权益保护,推动可持续发展。
地方公众是指企业所在地的社区居民、地方组织等,地方公众的支持与认可对企业的生产经营与市场营销活动具有重要影响。企业需要积极参与地方社区的公益活动,改善社区环境,回馈地方公众,建立良好的邻里关系。
一般公众是指广大的社会公众,一般公众对企业的品牌认知与态度,影响企业的市场声誉与消费者的购买决策。企业需要通过各种营销传播活动,提升品牌知名度与美誉度,赢得一般公众的认可与信任。
内部公众是指企业的员工、股东等,内部公众的满意度与忠诚度,影响企业的凝聚力与执行力,进而影响市场营销活动的效果。企业需要重视内部公众的利益,加强员工培训与激励,提升员工的满意度与忠诚度,使员工成为企业品牌的积极传播者。
第二章 目标市场与定位理论
2.1 市场细分理论
2.1.1 市场细分的内涵与核心价值
市场细分是市场营销战略的基础环节,其核心内涵是指企业根据消费者在需求特征、购买行为、消费偏好等方面的差异,将整个市场划分为若干个具有相似需求属性的消费者群体的过程。每个消费者群体即为一个 “细分市场”,同一细分市场内的消费者具有高度同质化的需求,而不同细分市场之间则存在显著的需求差异。
市场细分的理论基础源于消费者需求的 “异质性”。在现代市场经济中,消费者的需求不再是单一、同质化的,而是呈现出多样化、个性化的特征。企业受限于自身资源与能力,无法满足所有消费者的全部需求,若盲目追求 “全面覆盖”,必然导致资源分散、营销效率低下,难以在市场竞争中形成优势。而通过市场细分,企业能够精准识别不同消费者群体的独特需求,明确市场机会所在,为后续的目标市场选择与市场定位奠定坚实基础。
市场细分的核心价值主要体现在以下四个方面:
发现市场机会:通过细分市场,企业能够挖掘出未被满足或未被充分满足的消费者需求。
优化资源配置:市场细分使企业能够聚焦于具有核心竞争力的细分市场,将有限的人力、物力、财力等资源集中投入,避免资源浪费。
提升营销精准度:针对不同细分市场的需求特征,企业可以制定差异化的营销战略,包括产品设计、定价策略、渠道选择、促销传播等,使营销活动更贴合目标消费者的需求,提高营销效果。
增强企业竞争力:通过精准把握细分市场的需求,企业能够打造具有差异化优势的产品与服务,形成独特的市场竞争力,有效抵御竞争对手的冲击。
2.1.2 市场细分的核心标准
市场细分的关键在于选择科学合理的细分标准,不同行业、不同产品的细分标准存在差异,但核心标准可归纳为地理因素、人口因素、心理因素、行为因素四大类,企业可根据自身产品特性与市场需求,选择单一标准或组合标准进行细分。
2.1.2.1 地理因素细分
地理因素是最基础、最常用的市场细分标准,其核心逻辑是消费者的需求特征与地理环境密切相关。地理因素主要包括以下细分维度:地理区域、气候条件、地形地貌等。
2.1.2.2 人口因素细分
人口因素是市场细分中应用最广泛的标准之一,其核心依据是人口统计特征的差异会直接影响消费者的购买力、消费偏好与购买行为。人口因素主要包括以下细分维度:年龄、性别、收入水平、职业、教育程度、家庭生命周期等。
2.1.2.3 心理因素细分
心理因素细分是指根据消费者的心理特征,如价值观、生活方式、个性特点、消费态度等,划分细分市场。心理因素直接影响消费者的消费偏好与购买决策,能够更精准地捕捉消费者的个性化需求,是市场细分的高级形式。心理因素主要包括以下细分维度:价值观、生活方式、个性特点、消费态度等。
2.1.2.4 行为因素细分
行为因素细分是指根据消费者的购买行为特征,如购买时机、购买频率、购买金额、使用习惯、品牌忠诚度等,划分细分市场。行为因素直接反映了消费者与产品、品牌的互动关系,是最能体现消费者实际需求的细分标准,对营销战略的制定具有直接指导意义。行为因素主要包括以下细分维度:购买时机、购买频率、购买金额、使用习惯、品牌忠诚度、购买决策角色等。
2.1.3 市场细分的科学方法
市场细分需要遵循科学的方法与流程,确保细分结果的有效性与实用性。常用的市场细分方法主要包括单一变量法、组合变量法、系列变量法等,企业可根据自身需求与数据条件选择合适的方法。
2.1.3.1 单一变量法
单一变量法是指选择一个核心细分标准(如年龄、性别、收入、购买频率等),将整个市场划分为若干个细分市场的方法。这种方法的核心逻辑是聚焦于消费者最显著的需求差异,通过单一维度的划分,快速识别主要细分市场。
例如,饮料企业以 “年龄” 为单一变量,将市场细分为儿童饮料市场、青少年饮料市场、成人饮料市场、老年饮料市场;手机企业以 “价格” 为单一变量,将市场细分为高端手机市场(价格 5000 元以上)、中端手机市场(价格 2000-5000 元)、低端手机市场(价格 2000 元以下);电商平台以 “购买频率” 为单一变量,将市场细分为高频购买用户市场、中频购买用户市场、低频购买用户市场。
2.1.3.2 组合变量法
组合变量法是指选择两个或两个以上的细分标准,将其组合起来对市场进行细分的方法。这种方法的核心逻辑是通过多维度的交叉分析,更精准地捕捉消费者的需求差异,划分出更具针对性的细分市场。组合变量法是目前市场细分中应用最广泛的方法,能够有效弥补单一变量法的不足。
例如,服装企业采用 “年龄 + 性别 + 生活方式” 的组合变量,将市场细分为 “年轻女性 - 时尚潮流型”“中年男性 - 商务简约型”“老年女性 - 舒适实用型” 等细分市场;护肤品企业采用 “肤质 + 年龄 + 消费能力” 的组合变量,将市场细分为 “年轻油性肌肤 - 中低端”“中年干性肌肤 - 中高端”“敏感肌 - 高端修复型” 等细分市场;旅游企业采用 “年龄 + 收入 + 旅游偏好” 的组合变量,将市场细分为 “年轻低收入 - 经济型自助游”“中年高收入 - 高端定制游”“老年中等收入 - 康养旅游” 等细分市场。
2.1.3.3 系列变量法
系列变量法是指按照一定的逻辑顺序,依次选择多个细分标准对市场进行逐步细分的方法。这种方法的核心逻辑是先通过宏观维度进行初步划分,再通过微观维度进行精准细分,层层递进,最终形成明确的细分市场。系列变量法兼具单一变量法的简洁性与组合变量法的精准性,适合复杂市场的细分。
例如,汽车企业的系列变量细分流程:第一步,以 “地理区域” 为标准,将市场细分为一线城市市场、二线城市市场、三四线城市市场、农村市场;第二步,在各地理区域市场中,以 “收入水平” 为标准,细分为高收入市场、中等收入市场、低收入市场;第三步,在各收入水平市场中,以 “购买用途” 为标准,细分为家用市场、商务市场、越野市场、新能源市场等;第四步,在各购买用途市场中,以 “品牌偏好” 为标准,细分为合资品牌偏好市场、自主品牌偏好市场、进口品牌偏好市场等。通过多步骤的系列细分,企业能够精准定位到 “一线城市 - 高收入 - 家用 - 合资品牌”“三四线城市 - 中等收入 - 商务 - 自主品牌” 等具体细分市场。
2.2 目标市场选择理论
2.2.1 目标市场的内涵与选择意义
目标市场是指企业在市场细分的基础上,根据自身的资源与能力、市场竞争状况、细分市场的盈利潜力等因素,选择的一个或多个具有战略价值的细分市场。目标市场是企业营销活动的核心对象,企业的产品开发、定价策略、渠道建设、促销传播等所有营销活动,都将围绕目标市场的需求特征展开。
目标市场选择是市场营销战略的关键环节,其核心意义在于:
明确营销方向:目标市场选择使企业能够聚焦于特定的消费者群体,明确 “为谁服务、满足什么需求”,避免营销活动的盲目性。
提升竞争优势:通过聚焦目标市场,企业能够集中资源打造针对性的产品与服务,形成差异化的竞争优势。
提高营销效率:针对目标市场的需求特征制定营销战略,能够使营销资源得到更高效的利用,提高营销投入的回报率。
保障企业可持续发展:选择具有盈利潜力、符合企业资源与能力的目标市场,能够为企业带来稳定的销售收入与利润,保障企业的长期可持续发展。反之,若目标市场选择不当,如选择竞争过于激烈、盈利潜力不足或与企业资源不匹配的细分市场,可能导致企业营销失败、经营困难。
2.2.2 目标市场的选择标准
企业在选择目标市场时,需综合考虑多个因素,确保目标市场具有战略价值与可行性。目标市场的核心选择标准主要包括以下六个方面:
2.2.2.1 市场规模与增长潜力
市场规模是指目标市场的消费者数量、购买能力、消费总量等指标,是企业盈利的基础。一个具有足够规模的目标市场,能够为企业带来稳定的销售收入,分摊固定成本,实现规模经济。例如,中国的智能手机市场因庞大的消费者基数与较高的购买力,吸引了全球众多手机品牌的进入。
增长潜力是指目标市场未来的发展趋势与增长速度,是企业长期盈利的关键。即使当前市场规模较小,但如果具有较高的增长潜力,也可能成为极具价值的目标市场。例如,新能源汽车市场在发展初期规模较小,但随着环保政策的推进、消费者环保意识的提升、技术的不断成熟,市场增长潜力巨大,成为众多企业争夺的核心目标市场。
企业在评估市场规模与增长潜力时,需结合行业报告、市场调研数据、宏观经济趋势等因素,预测目标市场的短期与长期发展前景,避免选择规模过小、增长乏力的细分市场。
2.2.2.2 市场竞争强度
市场竞争强度是指目标市场内现有竞争对手的数量、规模、市场份额、竞争策略、核心竞争力等因素。选择竞争强度适中的目标市场,能够降低企业的市场进入难度,提高成功概率。
若目标市场竞争过于激烈,市场份额已被少数头部企业垄断,新进入企业需要投入大量资源进行市场争夺,且难以形成差异化优势,盈利风险较高。例如,中国的传统家电市场(电视、冰箱、洗衣机等),已被海尔、美的、格力等头部企业占据主要市场份额,新进入企业的竞争压力极大。
若目标市场竞争过于薄弱,可能存在两种情况:一是市场需求尚未被唤醒,消费者认知度低,需要企业投入大量资源进行市场教育,培育市场成本较高;二是市场盈利潜力不足,缺乏吸引力,导致现有企业不愿进入。因此,企业应选择竞争强度适中、存在市场空白或竞争短板的细分市场,如通过差异化产品、创新营销模式等方式,在竞争中脱颖而出。
2.2.2.3 企业资源与能力匹配度
目标市场的选择必须与企业的资源与能力相匹配,企业需具备满足目标市场需求的核心竞争力。企业的资源与能力主要包括资金资源、技术资源、生产能力、营销能力、品牌资源、渠道资源等。
若企业选择的目标市场超出了自身的资源与能力范围,即使市场具有较大的盈利潜力,也难以实现有效的市场覆盖与需求满足,最终导致营销失败。
2.2.2.4 盈利潜力
盈利潜力是指目标市场能够为企业带来的利润空间,是企业选择目标市场的核心考量因素。盈利潜力主要取决于目标市场的价格水平、成本结构、利润率等指标。
目标市场的价格水平受消费者购买力、消费偏好、品牌溢价空间等因素影响,高购买力、注重品质的目标市场,价格水平与利润率通常较高;而注重性价比的目标市场,价格敏感度较高,利润率相对较低,但可通过规模效应实现盈利。
成本结构包括生产成本、营销成本、渠道成本、研发成本等,企业需综合评估进入目标市场的各项成本,确保目标市场的利润率能够满足企业的盈利目标。例如,进入下沉市场的企业,需控制生产成本与渠道成本,以适应下沉市场消费者的价格敏感度;而进入高端市场的企业,可适当提高研发成本与营销成本,通过品牌溢价实现高利润。
2.2.2.5 市场准入门槛
市场准入门槛是指企业进入目标市场所需满足的条件,包括政策法规、技术标准、资金要求、品牌资质等。市场准入门槛的高低直接影响企业进入目标市场的难度与成本。
政策法规门槛是指政府对特定行业或市场的监管要求,如医疗健康、金融服务、教育培训等行业,需要企业具备相应的资质认证、许可证等,准入门槛较高;技术标准门槛是指目标市场对产品技术性能、质量标准的要求,如高端电子设备市场对技术创新能力、质量控制标准要求较高;资金要求门槛是指进入目标市场所需的初始投资与运营资金,如汽车制造、房地产开发等行业,资金门槛较高。
企业需评估自身是否能够满足目标市场的准入门槛,避免选择准入门槛过高、超出自身能力范围的市场。同时,也可通过与行业内企业合作、技术引进、资质申请等方式,降低准入门槛,进入目标市场。
2.2.2.6 市场稳定性与风险
市场稳定性是指目标市场受宏观经济、政策法规、社会文化、技术变革等因素影响的程度,稳定的目标市场能够为企业提供可预期的经营环境。例如,日常消费品市场(食品、日用品等)受外部因素影响较小,市场稳定性较高;而房地产市场、金融市场受宏观经济政策影响较大,市场稳定性较低。
市场风险是指目标市场可能面临的各种不确定性因素,如政策变动风险、技术变革风险、竞争加剧风险、消费者需求变化风险等。企业需评估目标市场的风险水平,制定相应的风险应对策略。例如,进入新能源汽车市场的企业,需应对技术迭代速度快、政策补贴退坡、电池原材料价格波动等风险;进入海外市场的企业,需应对汇率波动、贸易壁垒、文化差异等风险。
企业应选择市场稳定性较高、风险可控的目标市场,避免选择风险过高、不确定性强的市场,确保企业营销活动的顺利开展。
2.2.3 目标市场选择的策略类型
企业在选择目标市场时,根据自身的资源与能力、市场竞争状况、细分市场的特征等因素,可采用三种基本策略:无差异营销策略、差异化营销策略、集中化营销策略。
2.2.3.1 无差异营销策略
无差异营销策略是指企业不考虑细分市场的需求差异,将整个市场视为一个统一的目标市场,推出一种产品、制定一套营销组合策略,满足所有消费者的需求。这种策略的核心逻辑是认为消费者的核心需求是同质化的,通过规模化生产、标准化营销,降低成本,提高市场覆盖率。
无差异营销策略的实施条件:市场需求具有高度同质性,消费者的核心需求差异较小,如日常消费品中的食盐、白糖等,消费者对产品的需求主要是基本功能,差异不大;企业具有强大的规模经济优势,能够通过规模化生产、标准化营销,降低生产成本与营销成本,以低价优势吸引消费者;企业具有广泛的市场覆盖能力,能够通过统一的营销渠道与促销策略,触达整个市场的消费者。
无差异营销策略的优势:成本优势显、市场覆盖范围广、操作简单;无差异营销策略的局限性:缺乏针对性、竞争风险高、适应能力差。无差异营销策略的典型案例:早期的福特汽车公司,推出单一型号、单一颜色的 T 型车,通过规模化生产降低成本,以低价策略占领市场,成为无差异营销策略的经典代表。但随着消费者需求的多样化,福特汽车的无差异策略逐渐失效,不得不转向差异化营销。
2.2.3.2 差异化营销策略
差异化营销策略是指企业选择两个或两个以上的细分市场作为目标市场,针对每个细分市场的需求特征,推出不同的产品、制定不同的营销组合策略,满足不同细分市场消费者的个性化需求。这种策略的核心逻辑是承认消费者需求的异质性,通过差异化竞争,提高消费者满意度与品牌忠诚度。
差异化营销策略的实施条件:市场需求具有显著的异质性,不同细分市场的消费者需求差异明显,如服装、化妆品、汽车等行业,消费者的需求在风格、功能、价格等方面存在较大差异;企业具有较强的资源与能力,能够支撑多产品、多营销方案的研发、生产与实施,如资金实力雄厚、技术研发能力强、营销团队专业等;细分市场具有足够的盈利潜力,每个目标市场都能够为企业带来稳定的销售收入与利润。
差异化营销策略的优势:满足个性化需求,针对不同细分市场的需求特征制定营销策略,能够提高消费者的满意度与忠诚度,增强品牌竞争力;分散经营风险,多个目标市场能够分散企业的经营风险,当某一细分市场需求下降或竞争加剧时,其他细分市场能够为企业提供稳定的收入来源;提高盈利水平,差异化产品能够形成品牌溢价,提高产品的利润率,同时多个目标市场能够扩大企业的整体销售收入。
差异化营销策略的局限性:成本较高,多产品研发、生产、营销需要投入大量的资源,导致生产成本与营销成本上升,若规模效应不足,可能影响企业的盈利水平;管理难度大,需要对多个目标市场进行精细化管理,协调不同产品的研发、生产、营销,对企业的管理能力要求较高;资源分散,若目标市场选择过多,可能导致企业资源分散,每个目标市场都难以形成核心竞争力。
差异化营销策略的典型案例:宝洁公司是差异化营销策略的代表企业,其在洗发水市场中,针对不同细分市场推出了多个品牌,如针对 “去屑” 需求的海飞丝、针对 “柔顺” 需求的飘柔、针对 “营养修复” 需求的潘婷、针对 “高端护理” 需求的沙宣等,每个品牌都有独特的产品定位与营销方案,覆盖了不同需求的消费者群体,占据了洗发水市场的较大份额。
2.2.3.3 集中化营销策略
集中化营销策略是指企业选择一个或少数几个细分市场作为目标市场,集中所有资源与能力,为目标市场提供专业化的产品与服务,力求在目标市场中占据领先地位。这种策略的核心逻辑是 “聚焦细分市场,打造局部优势”,适合资源有限的中小企业或想要在特定细分市场建立优势的企业。
集中化营销策略的实施条件:存在具有独特需求的细分市场,该细分市场未被大型企业充分覆盖,存在市场空白,如小众爱好市场、专业领域市场等;企业资源有限,无法支撑差异化营销策略,通过集中资源聚焦单一细分市场,能够形成局部竞争优势;目标细分市场具有足够的盈利潜力,能够为企业带来稳定的销售收入与利润,且市场竞争相对缓和。
集中化营销策略的优势:资源集中,优势明显,集中所有资源聚焦目标市场,能够打造专业化的产品与服务,形成核心竞争力,在目标市场中占据领先地位;营销精准,效率较高,针对单一目标市场的需求特征制定营销策略,能够提高营销的精准度与效果,降低营销成本;管理简单,决策高效,无需协调多个目标市场的营销活动,管理流程相对简单,能够快速响应市场变化,调整营销策略。
集中化营销策略的局限性:市场风险集中,过度依赖单一目标市场,若目标市场需求下降、竞争加剧或出现突发风险(如政策变动、技术变革等),企业的经营将受到严重影响;市场规模有限,单一细分市场的规模通常较小,可能限制企业的发展空间,难以实现规模化扩张;增长潜力不足,若目标市场的增长潜力有限,企业的长期发展将受到制约,需要及时拓展新的目标市场。
集中化营销策略的典型案例:大疆创新是集中化营销策略的成功代表,其聚焦 “消费级无人机” 这一细分市场,集中资源进行技术研发与产品创新,推出了一系列具有领先技术的无人机产品,占据了全球消费级无人机市场的主要份额。在建立了稳固的市场地位后,大疆创新才逐步向专业级无人机、云台相机等相关市场拓展。
2.3 市场定位理论
2.3.1 市场定位的内涵与核心价值
市场定位是指企业在目标市场中,通过塑造独特的产品形象、品牌形象与价值主张,使企业的产品或服务在消费者心中占据一个清晰、独特且有吸引力的位置,从而区别于竞争对手。市场定位的核心是 “差异化”,即通过突出企业与竞争对手的差异,让消费者能够快速识别并记住企业的产品或服务,进而产生购买意愿。
市场定位的内涵可从三个维度理解:
定位的对象是消费者的心智:市场定位并非对产品本身进行调整,而是对消费者的心智进行 “定位”,即通过营销传播活动,在消费者心中建立对企业产品或服务的特定认知。
定位的核心是差异化:市场定位的本质是塑造差异化优势,差异化可以体现在产品功能、品质、价格、品牌形象、服务体验、情感价值等多个方面。
定位的目的是影响消费者决策:市场定位的最终目的是让消费者在购买决策时,能够优先选择企业的产品或服务。通过清晰的市场定位,消费者能够快速识别产品的核心价值,明确产品是否符合自身需求,从而降低决策成本,提高购买意愿。
市场定位的核心价值主要体现在以下四个方面:
建立品牌差异化优势:在竞争激烈的市场中,清晰的市场定位能够帮助企业区别于竞争对手,形成独特的品牌识别,避免同质化竞争。
精准吸引目标消费者:市场定位能够向目标消费者传递明确的价值主张,让消费者快速识别产品是否符合自身需求,从而精准吸引目标客户群体,提高营销效率。例如,主打 “无硅油” 的洗发水品牌,通过定位精准吸引了关注头皮健康、追求天然成分的消费者。
提升品牌忠诚度与溢价能力:独特的市场定位能够引发消费者的情感共鸣,建立品牌与消费者之间的情感连接,提高消费者的品牌忠诚度。同时,差异化的品牌形象能够形成品牌溢价,让企业在定价时拥有更大的主动权,提高产品的利润率。
指导企业营销战略制定:市场定位是企业营销战略的核心,企业的产品开发、定价策略、渠道选择、促销传播等所有营销活动,都应围绕市场定位展开。
2.3.2 市场定位的核心原则
市场定位是一项系统性的营销工作,需要遵循科学的原则,确保定位的有效性与可行性。市场定位的核心原则主要包括以下六个方面:
2.3.2.1 差异化原则
差异化是市场定位的核心原则,也是市场定位成功的关键。企业的市场定位必须与竞争对手形成明显的差异,这种差异可以是产品功能、品质、价格、品牌形象、服务体验、情感价值等任何方面,且差异必须具有实际的营销价值,能够被消费者感知并认可。
2.3.2.2 消费者导向原则
市场定位的核心是在消费者心中建立独特的认知,因此必须以消费者需求为导向,确保定位符合目标消费者的需求特征、认知习惯与购买偏好。企业的市场定位不能脱离消费者实际需求,仅凭自身主观意愿制定,否则定位将无法被消费者接受,失去实际意义。
2.3.2.3 真实性与可信度原则
市场定位必须基于企业的实际资源与能力,确保定位的真实性与可信度,不能夸大其词或虚假承诺。消费者在购买产品或服务后,会对企业的定位进行验证,若定位与实际体验不符,将导致消费者的失望与不信任,损害品牌形象。
2.3.2.4 简洁清晰原则
消费者的心智容量有限,难以记住复杂、模糊的定位信息,因此市场定位必须简洁清晰,用简洁的语言、明确的核心价值,传递企业的定位主张,确保消费者能够快速理解与记忆。
2.3.2.5 可持续性原则
市场定位是一项长期的战略工作,需要具有可持续性,能够支撑企业的长期发展。企业的市场定位不能过于短期化,仅为了应对短期市场竞争或热点事件而制定,而应基于行业发展趋势、企业长期战略目标,制定具有稳定性与可持续性的定位。
2.3.2.6 竞争导向原则
市场定位的本质是应对市场竞争,因此必须以竞争为导向,明确企业与竞争对手的差异,找到竞争对手的薄弱环节,打造自身的竞争优势。企业的市场定位不能脱离竞争环境,仅凭自身需求制定,否则定位将无法在竞争中脱颖而出。
2.3.3 市场定位的方法与路径
2.3.3.1 市场定位的核心方法
市场定位的方法多种多样,企业可根据自身的资源与能力、目标市场特征、竞争环境等因素,选择合适的定位方法。常用的市场定位方法主要包括以下九种:
功能利益定位法:功能利益定位法是指以产品或服务的核心功能、实用价值为核心进行定位,强调产品或服务能够为消费者解决什么问题、带来什么实际利益。这种定位方法直接、直观,容易被消费者理解与接受,适用于产品功能明确、消费者需求集中在功能层面的市场。
案例:王老吉定位 “怕上火,喝王老吉”,强调产品 “降火” 的核心功能;海飞丝定位 “去屑实力派”,强调产品 “去屑” 的核心功能;沃尔沃汽车定位 “最安全的汽车”,强调产品 “安全” 的核心功能。
情感利益定位法:情感利益定位法是指以产品或服务能够为消费者带来的情感体验、心理满足为核心进行定位,强调产品或服务与消费者之间的情感连接。这种定位方法能够引发消费者的情感共鸣,提高品牌忠诚度,适用于消费者情感需求较强的市场,如美妆、服饰、礼品、旅游等行业。
案例:哈根达斯定位 “爱她,就带她去吃哈根达斯”,将产品与 “爱情、浪漫” 的情感体验关联;江小白定位 “青春小酒,表达瓶”,将产品与年轻群体的 “青春、情感表达” 关联;迪士尼乐园定位 “快乐魔法王国”,将产品与 “快乐、梦幻” 的情感体验关联。
价格定位法:价格定位法是指以产品或服务的价格水平为核心进行定位,通过价格差异区分目标市场,塑造品牌形象。价格定位法主要包括高端定价定位、中端定价定位、低端定价定位三种形式,适用于消费者价格敏感度较高、价格是重要购买决策因素的市场。
案例:奢侈品品牌(如 LV、Gucci)采用高端定价定位,塑造 “高端、稀缺、身份象征” 的品牌形象;大众品牌(如优衣库、无印良品)采用中端定价定位,塑造 “性价比、品质生活” 的品牌形象;平价品牌(如名创优品、拼多多)采用低端定价定位,塑造 “低价、实用” 的品牌形象。
品质定位法:品质定位法是指以产品或服务的高品质、高可靠性、高耐用性为核心进行定位,强调产品或服务的质量优势,吸引注重品质的消费者。这种定位方法适用于消费者对产品品质要求较高、品质是核心购买决策因素的市场,如家电、汽车、高端食品等行业。
案例:德国汽车品牌(如奔驰、宝马、奥迪)定位 “高品质、精湛工艺”,强调产品的制造工艺与可靠性;日本家电品牌(如松下、索尼)定位 “高品质、耐用”,强调产品的质量与使用寿命;高端食品品牌(如有机蔬菜、进口红酒)定位 “高品质、健康安全”,强调产品的原料与生产标准。
使用者定位法:使用者定位法是指以产品或服务的目标使用者为核心进行定位,明确产品或服务是为特定人群设计的,通过精准定位目标使用者,吸引该群体的消费者。这种定位方法能够让目标使用者产生 “这是为我设计的产品” 的归属感,提高品牌的认同感与忠诚度。
案例:耐克的 “JORDAN” 系列定位 “篮球爱好者”,苹果的 “Apple Watch Hermès” 系列定位 “高端商务人士”,乐高的 “乐高教育” 系列定位 “儿童与家长”,江小白定位 “年轻群体”。
竞争定位法:竞争定位法是指以竞争对手为参照,通过分析竞争对手的定位优势与劣势,明确自身与竞争对手的差异化竞争点,从而在消费者心智中建立独特认知的定位方法。这种方法的核心是 “借力打力”,通过与竞争对手的对比,突出自身优势,适用于市场竞争激烈、消费者对竞争对手已有明确认知的场景。
案例:七喜汽水在可乐市场被可口可乐、百事可乐垄断的背景下,采用 “非可乐” 的竞争定位,明确与两大可乐品牌的差异(不含咖啡因、口感清爽),吸引了不喜欢可乐味道或关注健康的消费者,成功开辟市场;宝马汽车在与奔驰的竞争中,针对奔驰 “豪华舒适” 的定位,突出 “驾驶乐趣” 的核心优势,形成 “奔驰代表舒适,宝马代表操控” 的差异化认知;拼多多在与淘宝、京东的竞争中,避开 “综合电商” 的正面竞争,定位 “下沉市场低价电商”,通过低价策略与社交裂变模式,吸引了价格敏感型消费者。
场景定位法:场景定位法是指以产品或服务的核心使用场景为核心进行定位,将产品与特定的生活场景、使用情境深度绑定,让消费者在面临该场景时第一时间联想到品牌。这种定位方法能够精准捕捉消费者在特定场景下的需求痛点,提高产品的场景关联性与使用频次,适用于场景化需求明确的产品或服务。
案例:红牛饮料定位 “能量补充饮料”,绑定 “熬夜加班、运动健身、长途驾驶” 等需要补充能量的场景,传递 “困了累了喝红牛” 的核心主张;海底捞火锅定位 “聚餐首选”,聚焦 “朋友聚会、家庭团圆、商务宴请” 等社交场景,通过优质服务强化场景认知;迷你 KTV(如友唱、咪哒)定位 “碎片化娱乐场景”,绑定 “商场等待、写字楼午休、校园休闲” 等短时间娱乐需求,成为线下即时娱乐的代表。
技术领先定位法:技术领先定位法是指以企业的核心技术、创新能力为核心进行定位,强调产品或服务在技术层面的独特性与领先性,吸引注重技术创新、追求高品质体验的消费者。这种定位方法适用于技术壁垒较高、技术创新是核心竞争力的行业,如电子科技、高端制造、生物医药等。
案例:特斯拉定位 “智能电动汽车技术领导者”,以自动驾驶技术、电池技术、智能座舱系统为核心优势,成为新能源汽车行业的技术标杆;华为手机定位 “国产科技旗舰”,突出麒麟芯片、影像技术、5G 通信等核心技术优势,与苹果、三星形成技术层面的竞争;大疆创新定位 “无人机技术领导者”,凭借领先的飞控技术、影像技术,占据全球消费级无人机市场的绝对主导地位。
价值主张定位法:价值主张定位法是指以企业向消费者传递的核心价值理念为核心进行定位,这种价值理念可以是生活态度、社会责任、品牌信仰等,通过引发消费者的价值认同,建立深层次的品牌情感连接。这种定位方法能够超越产品功能本身,塑造独特的品牌人格,适用于注重品牌文化与精神内涵的行业,如服饰、美妆、生活方式品牌等。
案例:无印良品(MUJI)定位 “简约、自然、环保的生活方式”,传递 “去繁就简、回归本质” 的价值主张,吸引了追求简约生活的消费者;Patagonia(巴塔哥尼亚)定位 “环保主义户外品牌”,强调 “可持续发展、保护自然” 的价值理念,通过环保材料使用、公益活动参与等方式,赢得了环保意识强烈的消费者的认同;江小白定位 “青春、真实、自我表达” 的价值主张,通过瓶身文案、校园营销等方式,与年轻消费者形成情感共鸣,塑造了 “懂年轻人的白酒品牌” 形象。
第三章 市场营销组合理论
市场营销组合理论(Marketing Mix)是市场营销学的核心框架,其本质是企业为实现营销目标,针对目标市场需求,对可控制的营销要素进行有机组合与动态优化的战略工具。其中,最具代表性的是杰罗姆・麦卡锡于 1960 年提出的 4P 理论,即产品(Product)、价格(Price)、渠道(Place)、促销(Promotion)四大维度。这一理论的核心价值在于,它将复杂的营销活动拆解为可操作、可调控的关键模块,同时强调四大要素的协同性 —— 任何单一要素的孤立运作都难以实现最佳营销效果,只有实现产品、价格、渠道、促销的精准匹配与动态平衡,才能最大化满足市场需求、提升企业竞争力。
从理论演进来看,传统 4P 理论并非一成不变。随着市场环境的复杂化、服务经济的兴起以及消费者需求的升级,学者们对其进行了拓展:1981 年布姆斯和比特纳提出 7P 理论,在 4P 基础上增加了人员(People)、过程(Process)、有形展示(Physical Evidence),更适用于服务类产品;此后,针对数字经济时代的特征,又出现了 4C(消费者、成本、便利、沟通)、4R(关联、反应、关系、回报)等理论视角,但这些理论并非对 4P 的否定,而是从不同维度(如消费者视角、关系视角)对营销组合逻辑的补充与完善。在当前的营销实践中,4P 依然是企业制定营销战略的基础框架,其他拓展理论则为其提供了更丰富的优化维度。
3.1 产品理论
产品是营销组合的核心,是企业与消费者建立连接的价值载体 —— 企业所有的营销活动都围绕产品展开,价格、渠道、促销的策略选择都必须以产品特性与价值定位为基础。产品理论的核心的是回答 “为目标市场提供什么样的产品 / 服务以满足其需求” 这一核心问题,主要包括产品定义与层次、产品生命周期、产品组合管理等核心内容。
3.1.1 产品的核心定义与层次结构
3.1.1.1 产品的广义范畴
传统认知中,产品常被等同于有形的实体商品,如手机、服装、食品等。但在现代市场营销视角下,产品的范畴被极大拓展,它是指企业向市场提供的、能够满足消费者某种需求或欲望的一切东西,包括实体产品、服务、体验、观念、信息、技术等多种形态。例如,苹果公司的 iPhone 不仅是一部实体手机(硬件产品),还包含 iOS 操作系统(技术产品)、App Store 服务(服务产品)、苹果门店的消费体验(体验产品),以及 “创新、简约、高端” 的品牌观念(观念产品)。
从需求满足的本质来看,消费者购买的并非产品本身,而是产品所承载的 “价值”—— 即产品能为消费者解决的问题、带来的利益或满足的情感需求。比如,消费者购买健身卡,核心需求不是 “一张卡片”,而是 “健康的身体、良好的体型”;购买奢侈品,核心需求不是 “一件商品”,而是 “身份的彰显、情感的满足”。这一认知是产品策略制定的核心前提:企业的产品开发与设计,必须从 “产品本身” 转向 “消费者价值”。
3.1.1.2 产品五层次模型
为更清晰地解析产品的价值构成,菲利普・科特勒提出了产品五层次模型,该模型从核心到外延,层层递进地揭示了产品的价值维度,为企业的产品设计与差异化竞争提供了重要指导:
核心利益(Core Benefit):产品最根本的价值,即消费者购买产品时真正想要获得的利益或解决的问题。这是产品存在的基础,也是企业需要首先明确的核心。例如,酒店的核心利益是 “提供住宿空间”,洗衣机的核心利益是 “清洁衣物”,教育产品的核心利益是 “获取知识或技能”,
基础产品(Basic Product):核心利益的载体,即消费者能够直接感知或使用的实体产品或基础服务。它是核心利益的具体呈现,具备基本的功能与形态。例如,酒店的基础产品包括 “房间、床、卫浴设施”,洗衣机的基础产品包括 “机身、洗涤桶、控制面板”,在线课程的基础产品包括 “视频课件、讲义、学习平台”。
期望产品(Expected Product):消费者在购买产品时,基于过往经验或行业标准,对产品应具备的属性与条件的默认期望。期望产品是消费者认为 “理所当然” 的部分,若无法满足,会直接导致消费者不满;若能超额满足,则可能成为差异化优势。例如,消费者对酒店的期望产品包括 “干净的床单、稳定的热水、免费 Wi-Fi”,对智能手机的期望产品包括 “清晰的屏幕、流畅的系统、较长的续航”,对外卖服务的期望产品包括 “按时送达、食物保温、包装完好”。
附加产品(Augmented Product):在基础产品与期望产品之外,企业提供的额外服务或利益,旨在提升产品的附加值与消费者体验。附加产品是产品差异化的重要来源,也是企业建立竞争壁垒的关键。例如,手机厂商提供的 “一年质保、免费贴膜、上门维修” 服务,电商平台的 “七天无理由退换、极速物流、会员积分”,餐厅的 “免费续杯、停车服务、生日礼遇” 等,都属于附加产品。
潜在产品(Potential Product):产品未来可能的发展方向或延伸价值,即企业通过创新的产品形态、服务模式或技术升级,为消费者提供的潜在利益。潜在产品反映了企业的创新能力与长远眼光,也是产品生命周期得以延长的重要保障。例如,智能手机从 “通话工具” 延伸出 “移动支付、智能家居控制、健康监测” 等潜在功能,电商平台从 “商品销售” 延伸出 “金融服务、内容生态、本地生活” 等潜在价值,咖啡品牌从 “售卖咖啡” 延伸出 “社交空间、文创产品、会员社群” 等潜在形态。
3.1.2 产品生命周期理论
任何产品都有其生命周期 —— 从进入市场到被市场淘汰,会经历一系列具有鲜明特征的阶段。产品生命周期理论(Product Life Cycle, PLC)的核心价值在于,它揭示了产品在不同阶段的市场特征、消费者行为与竞争格局,为企业制定动态的营销战略提供了依据。经典的产品生命周期分为导入期、成长期、成熟期、衰退期四个阶段,每个阶段都具备独特的属性,需要匹配差异化的营销组合策略。
3.1.2.1 产品生命周期的四阶段划分与特征
导入期(Introduction Stage):产品刚进入市场,消费者对产品缺乏认知,销量增长缓慢,企业利润较低甚至为负的阶段。
市场特征:市场规模小,潜在消费者多为 “创新者”(占市场总量的 2.5%),他们愿意尝试新事物,对价格不敏感;竞争格局宽松,可能只有少数企业进入;产品技术尚未成熟,可能存在性能不稳定、成本较高等问题;渠道覆盖有限,消费者获取产品的便利性不足。
财务特征:销量低,单位产品成本高(固定成本分摊比例大);营销费用高(需要大量投入进行市场教育);利润微薄或亏损,投资回报率低。
成长期(Growth Stage):消费者对产品的认知度快速提升,销量迅速增长,企业利润大幅上升的阶段。
市场特征:市场规模快速扩大,“早期采用者”(占市场总量的 13.5%)开始加入,消费者口碑传播效应显现;竞争加剧,更多企业看到市场机会并进入,产品同质化开始出现;产品技术逐渐成熟,性能优化,成本下降;渠道覆盖快速扩张,消费者获取产品的便利性提升。
财务特征:销量高速增长(增长率通常超过 10%),单位产品成本显著下降;营销费用占比下降,但绝对额可能增加;利润快速增长,投资回报率达到峰值。
成熟期(Maturity Stage):产品销量增长放缓并趋于稳定,市场竞争达到白热化,企业利润达到峰值后可能逐渐下降的阶段。
市场特征:市场规模达到最大,“早期大众” 和 “晚期大众”(合计占市场总量的 68%)成为消费主力,消费者需求趋于饱和;竞争格局稳定,市场份额高度集中,头部企业占据主导地位,中小企业难以突围;产品同质化严重,价格竞争成为主要手段;渠道覆盖全面,渠道竞争激烈,渠道成本上升。
财务特征:销量增长缓慢(增长率低于 5%),甚至出现停滞;单位产品成本降至最低,但由于价格竞争,单位产品利润下降;营销费用占比上升(需要投入更多资源维持市场份额);利润稳定或小幅下降,投资回报率趋于平稳。
衰退期(Decline Stage):消费者需求逐渐萎缩,销量持续下降,企业利润大幅下滑,产品即将退出市场的阶段。
市场特征:市场规模不断缩小,消费者转向替代产品,剩余消费者多为 “落后者”(占市场总量的 16%);竞争格局简化,部分企业退出市场,仅少数头部企业或利基企业留存;产品技术落后,企业不再进行大规模研发投入;渠道逐渐收缩,部分经销商停止销售该产品。
财务特征:销量持续下降(增长率为负);单位产品利润微薄,甚至出现亏损;营销费用大幅削减;投资回报率持续下降,企业开始考虑退出市场。
3.1.2.2 各阶段的核心营销战略
产品生命周期的核心启示是:营销战略必须与产品所处阶段相匹配,通过动态调整产品、价格、渠道、促销的组合,实现销量增长、利润提升或市场份额巩固的目标。
1. 导入期的营销战略:聚焦 “认知建立” 与 “市场教育”
产品策略:聚焦核心功能,简化产品形态,避免过度复杂的设计(降低研发与生产成本);根据市场反馈快速迭代,优化产品性能。例如,特斯拉 Model S 在导入期仅推出高端版本,聚焦 “长续航、智能化” 核心功能,避免产品线过于复杂。
价格策略:可选 “撇脂定价” 或 “渗透定价”。撇脂定价适用于技术壁垒高、目标客户为高端群体的产品(如苹果手机初期定价),通过高价格快速回收研发成本;渗透定价适用于市场潜力大、竞争门槛低的产品(如小米早期手机定价),通过低价格快速占领市场份额。
渠道策略:选择精准渠道,避免全面铺开(降低渠道成本)。例如,高端新产品可选择一线城市核心商圈的门店、线上官方渠道销售;技术类产品可与专业经销商、行业合作伙伴合作,精准触达目标客户。
促销策略:以 “市场教育” 为核心,通过广告、公关活动向消费者传递产品的核心价值与使用场景;利用 KOL、行业意见领袖进行口碑传播,吸引 “创新者” 尝试。例如,新能源汽车品牌在导入期通过参加行业展会、举办试驾活动、发布技术白皮书等方式,向消费者普及新能源汽车的优势。
2. 成长期的营销战略:聚焦 “销量增长” 与 “市场扩张”
产品策略:丰富产品线,推出不同版本、不同配置的产品,满足多样化需求(如手机品牌推出标准版、Pro 版、青春版);持续优化产品性能,提升产品质量,建立差异化优势。例如,华为手机在成长期不断升级摄像头技术、快充技术,同时推出不同价格段的产品,覆盖更多消费群体。
价格策略:根据市场竞争情况调整价格,若竞争加剧可适当降价,扩大市场份额;若产品差异化明显,可维持较高价格,保证利润。例如,小米手机在成长期通过 “性价比” 策略,适当降低价格,快速扩大市场份额;而苹果手机则凭借差异化优势,维持较高价格水平。
渠道策略:快速扩张渠道覆盖,增加线下门店数量、拓展经销商网络,同时优化线上渠道(如入驻电商平台、完善官方商城),提升消费者购买便利性。例如,OPPO、vivo 在成长期通过 “线下渠道下沉” 策略,覆盖二三线城市及县城市场,快速提升销量。
促销策略:聚焦 “品牌认知提升” 与 “销量刺激”,加大广告投放力度(覆盖电视、互联网、户外等多渠道),利用销售促进活动(如买赠、满减、会员权益)刺激消费者购买;同时加强口碑营销,鼓励现有用户分享体验,吸引 “早期采用者” 加入。
3. 成熟期的营销战略:聚焦 “市场份额巩固” 与 “利润维持”
产品策略:进行产品创新,通过包装升级、功能优化、场景拓展等方式延长产品生命周期(如可口可乐推出无糖版本、限量版包装);聚焦核心产品线,淘汰销量不佳的产品,降低成本。例如,农夫山泉在瓶装水市场成熟期,推出 “天然矿泉水”“婴儿水”“茶饮料” 等延伸产品,拓展产品边界。
价格策略:以 “竞争导向定价” 为主,通过折扣、促销等方式维持价格竞争力;同时推出高端产品线,提升产品附加值(如普通白酒品牌推出高端定制酒),弥补中低端产品的利润下滑。
渠道策略:优化渠道结构,提升渠道效率,降低渠道成本(如推进渠道扁平化,减少中间环节);加强与核心渠道商的合作,巩固渠道优势;探索新渠道(如社区团购、直播电商),寻找销量增长点。例如,传统快消品牌在成熟期通过入驻社区团购平台,触达下沉市场消费者,提升销量。
促销策略:加大销售促进力度(如节假日促销、捆绑销售、会员折扣),刺激重复购买;通过广告强化品牌形象,巩固消费者忠诚度(如可口可乐的 “快乐分享” 主题广告);利用公关活动(如公益活动、品牌联名)提升品牌美誉度,差异化竞争。
4. 衰退期的营销战略:聚焦 “成本控制” 与 “有序退出”
产品策略:收缩产品线,仅保留核心产品或利基产品(如功能手机品牌仅保留老年机产品线);停止产品研发投入,降低生产成本。
价格策略:采取 “收割定价”,维持最低价格水平,回收剩余利润;或直接降价清库存,快速退出市场。
渠道策略:收缩渠道,仅保留核心渠道(如线上渠道、少数核心经销商),降低渠道维护成本;停止对非核心渠道的投入。
促销策略:大幅削减营销费用,仅保留必要的促销活动(如清库存促销);不再进行品牌宣传,专注于剩余市场的利润收割。
3.1.3 产品组合管理
企业的产品往往不是单一的,而是由多个产品线、多种产品项目构成的产品组合。产品组合管理的核心是通过对产品组合的宽度、长度、深度、关联性进行优化,实现资源的合理配置,最大化企业的整体利润。
3.1.3.1 产品组合的关键指标
产品组合(Product Mix)是指企业生产或销售的全部产品线和产品项目的组合。为了清晰描述产品组合的结构,需要明确四个核心指标:
产品组合宽度(Width):企业拥有的不同产品线的数量。产品线(Product Line)是指一组密切相关的产品,它们满足同一类需求、售给同一类顾客群、通过同一类渠道分销,或属于同一价格范围。例如,宝洁公司的产品组合宽度包括洗发水、牙膏、洗衣粉、护肤品、纸巾等多个产品线;苹果公司的产品组合宽度包括手机、电脑、平板、手表、耳机等产品线。
产品组合长度(Length):企业所有产品线中包含的产品项目的总数。产品项目(Product Item)是指产品线中具有特定规格、型号、价格的单个产品。例如,宝洁公司的洗发水产品线包含海飞丝、飘柔、潘婷、沙宣等产品项目,若每个产品线平均有 5 个产品项目,8 个产品线则产品组合长度为 40。
产品组合深度(Depth):产品线中每个产品项目所包含的具体品种、规格、型号的数量。例如,海飞丝洗发水这一产品项目,包含去屑、控油、柔顺、防脱等不同功能,以及 300ml、500ml、750ml 等不同规格,这些具体品种和规格的数量即为该产品项目的深度;某产品线有 3 个产品项目,每个产品项目的深度为 4,则该产品线的总深度为 12。
产品组合关联性(Consistency):各产品线之间在最终用途、生产条件、分销渠道或目标顾客等方面的关联程度。关联性高的产品组合,有利于企业共享生产设备、技术、渠道资源,降低成本;关联性低的产品组合,有利于企业分散风险,拓展市场。例如,华为的手机、平板、电脑产品线,在目标顾客(年轻消费者、商务人士)、分销渠道(线上官方商城、线下门店)、技术(鸿蒙系统、芯片技术)等方面具有高度关联性;而多元化企业集团(如通用电气)的产品组合(航空、医疗、能源、金融)关联性较低。
3.1.3.2 产品组合优化策略
企业的产品组合并非一成不变,需要根据市场需求、竞争格局、企业资源等因素进行动态优化。常见的产品组合优化策略包括:
1. 产品组合扩展策略:通过增加产品线的宽度、长度或深度,扩大产品组合的范围,满足更多市场需求,提升企业的市场份额。
宽度扩展:增加新的产品线,进入新的市场领域。例如,小米从手机产品线扩展至智能家居、生活电器、穿戴设备等产品线,进入了多个新的市场领域;农夫山泉从瓶装水产品线扩展至茶饮料、果汁饮料、功能饮料等产品线,扩大了市场覆盖范围。
长度扩展:在现有产品线中增加新的产品项目。例如,可口可乐在碳酸饮料产品线中增加了无糖可乐、香草可乐、樱桃可乐等产品项目;华为在手机产品线中增加了 Mate 系列、P 系列、nova 系列、畅享系列等产品项目。
深度扩展:在现有产品项目中增加新的品种、规格或型号。例如,海飞丝在去屑洗发水产品项目中增加了男士专用、女士专用、儿童专用等品种,以及不同容量的规格;耐克在运动鞋产品项目中增加了不同配色、不同材质的款式。
2. 产品组合缩减策略:通过减少产品线的宽度、长度或深度,剔除盈利能力差、市场需求萎缩、与企业核心战略不符的产品,集中资源发展核心产品,提升企业的整体盈利能力。
宽度缩减:淘汰市场潜力小、盈利能力差的产品线。例如,通用电气在 20 世纪 80 年代剥离了家电、半导体等非核心产品线,聚焦航空、医疗、能源等核心产品线;李宁在 2012 年前后淘汰了部分盈利能力差的童装、户外用品产品线,聚焦运动服装、运动鞋等核心产品线。
长度缩减:剔除产品线中销量低、利润薄的产品项目。例如,宝洁公司淘汰了部分市场份额低、竞争力弱的洗发水产品项目,集中资源推广海飞丝、飘柔、潘婷等核心产品项目;苹果公司淘汰了 iPhone SE 等销量不佳的产品项目,聚焦 iPhone 14、15 系列等核心产品项目。
深度缩减:剔除产品项目中规格不合理、销量差的品种或规格。例如,某食品企业淘汰了部分销量低的小规格产品,集中生产大规格、高性价比的产品;某家电企业淘汰了部分功能落后、销量差的产品型号,集中生产智能化、节能化的产品型号。
3. 产品线延伸策略:在现有产品线的基础上,向高端、低端或双向延伸,拓展产品的价格区间,覆盖更多的目标顾客群体。
向上延伸:在现有产品线中增加高端产品项目,进入高端市场,提升品牌形象,增加利润。例如,丰田汽车在经济型轿车产品线的基础上,推出了高端品牌雷克萨斯,进入高端汽车市场;小米在性价比手机产品线的基础上,推出了小米 MIX Fold 系列高端折叠屏手机,进入高端手机市场。
向下延伸:在现有产品线中增加低端产品项目,进入低端市场,扩大市场份额。例如,宝马汽车在高端轿车产品线的基础上,推出了宝马 1 系、2 系等低端车型,进入经济型轿车市场;华为在 Mate 系列、P 系列高端手机产品线的基础上,推出了畅享系列、nova 系列等低端手机,扩大市场份额。
双向延伸:同时向高端和低端市场延伸,覆盖更多的价格区间和目标顾客群体。例如,三星手机在中端手机产品线的基础上,推出了 Galaxy S 系列、Z 系列高端手机,以及 Galaxy A 系列、M 系列低端手机,实现了全价格区间覆盖;海尔家电在中端家电产品线的基础上,推出了卡萨帝高端家电品牌和统帅低端家电品牌,覆盖了不同消费层次的顾客。
4. 产品线现代化策略:对现有产品线进行技术升级、功能优化、设计更新,提升产品的竞争力,适应市场变化。例如,诺基亚在功能手机时代,由于未能及时进行产品线现代化升级,逐渐被智能手机市场淘汰;而华为、小米等品牌通过持续的技术研发,不断对手机产品线进行现代化升级(如 5G 技术、人工智能、折叠屏技术),始终保持市场竞争力。
3.1.3.3 产品组合决策的影响因素
企业在进行产品组合决策时,需要综合考虑以下因素,确保决策的科学性与合理性:企业资源状况、市场需求变化、竞争格局、企业战略目标。企业的资金、技术、生产能力、营销资源等是产品组合决策的基础。市场需求是产品组合决策的核心导向。市场竞争状况对产品组合决策具有重要影响。产品组合决策必须与企业的整体战略目标相一致。
3.2 价格理论
价格是营销组合中唯一直接产生收入的要素,也是最灵活、最敏感的要素 —— 价格的微小调整可能直接影响产品的销量、利润和市场份额。价格理论的核心是回答 “如何制定合理的价格,既满足消费者的支付意愿,又实现企业的营销目标” 这一问题,主要包括定价目标、定价方法、定价策略等核心内容。
3.2.1 定价目标设定
定价目标是企业通过制定特定价格想要实现的营销目标,是定价策略的核心导向。企业的定价目标必须与整体营销目标、企业战略目标相一致,常见的定价目标包括利润导向目标、销量导向目标、竞争导向目标、品牌导向目标四大类。
3.2.1.1 利润导向目标
利润导向目标是企业以获取利润为核心的定价目标,是最常见的定价目标之一,主要包括:
最大利润目标:企业以获取当期最大利润为定价目标,通常通过制定较高的价格,利用产品的差异化优势或市场垄断地位,实现利润最大化。
目标利润率目标:企业以实现预设的利润率为定价目标,通常根据总成本和目标利润率计算目标价格,公式为:目标价格 = 单位总成本 ×(1 + 目标利润率)。例如,某企业的单位总成本为 100 元,目标利润率为 20%,则目标价格 = 100×(1+20%)=120 元。
3.2.1.2 销量导向目标
销量导向目标是企业以提升产品销量、扩大市场份额为核心的定价目标,通过牺牲短期利润换取长期市场优势,主要包括:
市场份额领先目标:企业以成为行业市场份额第一或达到预设市场份额比例为目标,通过低价策略吸引消费者,快速扩大销量。
销量增长目标:企业以实现一定的销量增长率为目标,通常适用于新产品推广、市场拓展阶段。
3.2.1.3 竞争导向目标
竞争导向目标是企业以应对市场竞争、维持市场地位为核心的定价目标,定价策略主要参考竞争对手的价格水平,主要包括:
跟随定价目标:企业跟随行业内主导企业或竞争对手的价格策略,维持价格水平的相对稳定,避免价格竞争。
防御定价目标:企业为抵御竞争对手的进攻,维持现有市场份额,采取的定价策略。
3.2.1.4 品牌导向目标
品牌导向目标是企业以塑造品牌形象、提升品牌价值为核心的定价目标,定价策略服务于品牌定位,主要包括:
高端品牌定价目标:企业通过制定高价,塑造高端、奢侈的品牌形象,吸引追求品质和身份的消费者。
价值品牌定价目标:企业通过合理定价,传递 “物有所值” 的品牌形象,吸引注重性价比的消费者。
3.2.2 核心定价方法
定价方法是企业制定价格的具体工具,根据定价的核心依据不同,可分为成本导向定价、需求导向定价、竞争导向定价三大类。企业需要根据自身情况、市场环境、产品特性等因素,选择合适的定价方法。
3.2.2.1 成本导向定价
成本导向定价是以产品成本为核心依据,加上一定的利润或加成,确定产品价格的方法。该方法的优点是计算简单、成本可控,能够保证企业获得一定的利润;缺点是忽略了市场需求、消费者支付意愿和竞争状况,可能导致价格与市场脱节。
成本加成定价法:以单位产品的总成本为基础,加上一定比例的加成率,计算产品价格的方法。公式为:产品价格 = 单位总成本 ×(1 + 加成率)。
示例:某企业生产一款产品,单位固定成本为 20 元,单位变动成本为 30 元,加成率为 40%,则单位总成本 = 20+30=50 元,产品价格 = 50×(1+40%)=70 元。
目标利润定价法:根据企业的总成本和预设的目标利润,计算产品价格的方法。公式为:产品价格 =(固定成本 + 目标利润)÷ 预计销量 + 单位变动成本。
示例:某企业生产一款产品,固定成本为 100 万元,单位变动成本为 40 元,预计销量为 10 万件,目标利润为 50 万元,则产品价格 =(100+50)÷10+40=15+40=55 元。
边际成本定价法:以单位产品的边际成本为基础,不考虑固定成本,仅根据边际成本确定产品价格的方法。边际成本是指每增加一单位产量所增加的成本,即单位变动成本。公式为:产品价格≥单位边际成本。
示例:某企业生产一款产品,单位固定成本为 30 元,单位变动成本为 20 元,当前市场需求不足,企业为了扩大销量,可将产品价格定为 25 元(高于单位变动成本 20 元),此时每销售一件产品,可覆盖 20 元变动成本,剩余 5 元用于分摊固定成本。
3.2.2.2 需求导向定价
需求导向定价是以消费者的需求和支付意愿为核心依据,结合产品的价值感知,确定产品价格的方法。该方法的优点是能够准确把握市场需求,定价更符合消费者预期;缺点是对市场调研要求较高,操作难度较大。
感知价值定价法:根据消费者对产品的感知价值,而非产品的实际成本,确定产品价格的方法。消费者的感知价值包括产品的功能、品质、品牌、服务等多个维度。
示例:某高端化妆品品牌,其产品的实际生产成本为 100 元,但由于品牌知名度高、产品设计独特、服务优质,消费者对其感知价值较高,企业可将产品价格定为 500 元,消费者仍愿意购买。
差别定价法:根据消费者的不同需求特征、购买时间、购买数量、购买渠道等因素,对同一产品制定不同价格的方法。差别定价的核心是 “不同消费者对同一产品的支付意愿不同”。具体有以下类别:
顾客差别定价:根据消费者的身份、收入水平等因素定价。例如,旅游景区对学生、老年人实行半价优惠,对普通游客实行全价;航空公司对商务旅客和休闲旅客制定不同的票价。
时间差别定价:根据产品的购买时间或使用时间定价。例如,电影院在工作日实行低价,在周末和节假日实行高价;酒店在旅游旺季提高房价,在淡季降低房价。
数量差别定价:根据消费者的购买数量定价。例如,超市对购买量大的消费者实行批量折扣,购买 10 件以上享受 8 折优惠;电信公司对手机流量实行阶梯定价,流量使用越多,单位流量价格越低。
渠道差别定价:根据产品的销售渠道定价。例如,同一品牌的服装在专卖店售价较高,在电商平台售价较低;某软件产品在官网售价较高,在第三方平台售价较低。
反向定价法:企业根据消费者的支付意愿和市场竞争状况,先确定产品的零售价格,再倒推产品的批发价格、出厂价格和生产成本的定价方法。公式为:出厂价格 = 零售价格 ×(1 - 零售毛利率)×(1 - 批发毛利率)。
示例:某企业计划推出一款新产品,通过市场调研了解到消费者能够接受的零售价格为 100 元,零售毛利率为 30%,批发毛利率为 20%,则批发价格 = 100×(1-30%)=70 元,出厂价格 = 70×(1-20%)=56 元。企业根据出厂价格,控制生产成本,确保产品的盈利能力。
3.2.2.3 竞争导向定价
竞争导向定价是以竞争对手的价格为核心依据,结合企业自身的竞争地位和产品差异化优势,确定产品价格的方法。该方法的优点是能够快速应对市场竞争,维持市场份额;缺点是忽略了产品成本和消费者需求,可能导致价格战。
随行就市定价法:企业跟随行业内大多数竞争对手的价格,制定与竞争对手相近的产品价格。该方法是完全竞争市场和垄断竞争市场中最常用的定价方法。
示例:农产品市场中,大米、小麦等产品的价格通常由市场供求关系决定,企业只能跟随市场价格定价;普通服装市场中,大多数品牌的产品价格相近,企业通常采用随行就市定价法。
密封投标定价法:企业在参与招标项目时,根据竞争对手的投标价格和自身的成本状况,制定投标价格的方法。该方法适用于招标采购、项目承包等场景。
示例:某企业参与一个政府项目的招标,通过分析竞争对手的实力和可能的投标价格,结合自身的生产成本和利润目标,制定了投标价格。投标价格过高可能导致中标概率降低,投标价格过低可能导致利润微薄甚至亏损。
竞争价格定价法:企业根据竞争对手的价格,结合自身的竞争地位和产品差异化优势,制定高于、低于或等于竞争对手价格的定价方法。具体如下:
高于竞争对手定价:企业具有明显的差异化优势,如产品品质更高、品牌知名度更广、服务更好等,可制定高于竞争对手的价格。例如,苹果手机的价格高于大多数安卓手机,因为苹果手机具有独特的 iOS 系统、强大的品牌影响力和优质的服务。
低于竞争对手定价:企业具有成本优势,或希望通过低价快速占领市场份额,可制定低于竞争对手的价格。例如,小米手机在成立初期,通过低价策略,快速占领性价比手机市场份额。
等于竞争对手定价:企业与竞争对手的产品差异化不明显,竞争地位相当,可制定与竞争对手相近的价格。例如,三星手机和华为手机的中高端产品价格相近,因为两者的产品品质、品牌影响力和市场地位相当。
3.2.3 实战定价策略
定价策略是企业在特定市场场景下,为实现营销目标而采取的灵活定价方式。定价策略通常基于定价方法,结合市场需求、竞争状况、消费者心理等因素,制定具有针对性的价格方案。常见的实战定价策略包括新产品定价、折扣与折让定价、心理定价、产品组合定价四大类。
3.2.3.1 新产品定价策略
新产品定价是企业在产品导入期和成长期,根据产品的技术含量、市场潜力、竞争状况等因素,制定的价格策略。常见的新产品定价策略包括撇脂定价、渗透定价、满意定价三种。
撇脂定价策略:企业在新产品推出初期,制定较高的价格,快速回收研发成本和投资利润,随着市场竞争的加剧和产品生命周期的推进,逐步降低价格的定价策略。该策略如同从牛奶中撇取奶油,先获取高额利润,再面向大众市场。
示例:苹果公司的 iPhone 系列手机,每次推出新品时,都采用撇脂定价策略,定价远高于同类产品。例如,iPhone 15 Pro Max 的起售价为 9999 元,通过高价策略,快速回收研发成本,获取高额利润。随着产品进入成熟期,苹果公司会逐步降低产品价格,或推出低价版本,扩大市场份额。
渗透定价策略:企业在新产品推出初期,制定较低的价格,快速吸引消费者,扩大市场份额,随着市场份额的提升和产品生命周期的推进,逐步提高价格的定价策略。该策略如同渗透到市场的各个角落,先占领市场,再获取利润。
示例:小米公司在成立初期,推出的小米手机采用渗透定价策略,以 1999 元的低价,提供高配置的产品,快速吸引价格敏感型消费者,扩大市场份额。随着品牌知名度的提升和市场份额的扩大,小米公司逐步推出高端产品,提高产品价格,提升盈利能力。
满意定价策略:企业在新产品推出初期,制定介于撇脂定价和渗透定价之间的中等价格,兼顾企业的利润目标和消费者的支付意愿,实现企业和消费者的 “双赢”。该策略也称为 “温和定价策略”。
示例:华为公司推出的 nova 系列手机,采用满意定价策略,定价在 2000-3000 元之间,兼顾产品品质和价格,吸引年轻消费者。该价格既能够保证企业的利润,又能够满足消费者对性价比的需求,实现了市场份额和利润的平衡。
3.2.3.2 折扣与折让定价策略
折扣与折让定价是企业为了刺激消费者购买、扩大销量、维持客户关系等目的,对产品价格进行一定比例的减免或优惠的定价策略。常见的折扣与折让定价策略包括现金折扣、数量折扣、交易折扣、季节折扣、推广折让等。
现金折扣:企业为了鼓励消费者提前支付货款,对在规定时间内付款的消费者给予一定比例的价格优惠。该策略能够加快企业的资金周转,降低坏账风险。
示例:某企业规定,消费者在产品交付后 10 天内付款,可享受 2% 的现金折扣;在 20 天内付款,可享受 1% 的现金折扣;超过 30 天付款,无现金折扣。例如,某产品的售价为 1000 元,消费者在 10 天内付款,实际支付价格为 1000×(1-2%)=980 元。
数量折扣:企业为了鼓励消费者大量购买产品,对购买数量达到一定标准的消费者给予一定比例的价格优惠。该策略能够扩大产品销量,降低单位产品成本。具体可分为:
累计数量折扣:消费者在一定时期内(如一个月、一个季度)累计购买产品的数量达到一定标准,给予价格优惠。例如,某超市规定,消费者一个月内累计购买某品牌洗发水达到 5 瓶,可享受 8 折优惠;累计购买达到 10 瓶,可享受 7 折优惠。
非累计数量折扣:消费者一次性购买产品的数量达到一定标准,给予价格优惠。例如,某服装品牌规定,消费者一次性购买 3 件服装,可享受 9 折优惠;一次性购买 5 件服装,可享受 8 折优惠。
交易折扣:企业为了鼓励中间商(如批发商、零售商)积极推广和销售产品,对中间商给予一定比例的价格优惠。该策略能够激励中间商扩大销售渠道,提升产品的市场覆盖率。
示例:某企业对批发商给予 20% 的交易折扣,对零售商给予 10% 的交易折扣。例如,某产品的出厂价格为 100 元,批发商的进货价格为 100×(1-20%)=80 元,零售商的进货价格为 100×(1-10%)=90 元。中间商通过销售产品获取差价利润。
季节折扣:企业为了调节产品的供需平衡,对在淡季购买产品的消费者给予一定比例的价格优惠。该策略能够消化淡季库存,维持生产的连续性。
示例:旅游景区在淡季(如冬季)对门票实行 5 折优惠,吸引消费者在淡季旅游;空调企业在冬季对空调产品实行 8 折优惠,消化库存,维持生产。
推广折让:企业为了鼓励中间商或零售商开展促销活动、推广产品,对其给予一定比例的价格优惠或费用补贴。该策略能够提升产品的促销效果,扩大产品的市场影响力。
示例:某饮料品牌为了鼓励零售商开展促销活动,规定零售商每销售一瓶饮料,给予 0.5 元的推广折让;某化妆品品牌为了鼓励中间商在电视、报纸等媒体上投放广告,给予广告费用 50% 的补贴。
3.2.3.3 心理定价策略
心理定价策略是企业利用消费者的心理特征,如价格感知、购买动机、消费习惯等,制定产品价格的定价策略。该策略能够影响消费者的购买决策,提升产品的销量和盈利能力。常见的心理定价策略包括尾数定价、整数定价、声望定价、招徕定价等。
尾数定价:企业将产品价格定为以尾数结尾的价格,如 9.9 元、99 元、199 元等,利用消费者对价格的心理感知,认为尾数价格比整数价格更便宜。
示例:某超市将一瓶饮料的价格定为 9.9 元,而不是 10 元;某服装品牌将一件 T 恤的价格定为 199 元,而不是 200 元。消费者通常会认为 9.9 元比 10 元便宜,199 元比 200 元便宜,从而刺激消费者购买。
整数定价:企业将产品价格定为整数,如 100 元、500 元、1000 元等,利用消费者对价格的心理感知,认为整数价格比尾数价格更高端、更优质。
示例:某高端手表品牌将一款手表的价格定为 10000 元,而不是 9999 元;某奢侈品品牌将一款包包的价格定为 5000 元,而不是 4999 元。消费者通常会认为整数价格的产品品质更高、品牌更高端,从而愿意支付更高的价格。
声望定价:企业将产品价格定得较高,利用消费者对品牌的声望和地位的追求,吸引消费者购买。该策略与撇脂定价策略类似,但更注重品牌声望的塑造。
示例:劳斯莱斯汽车、百达翡丽手表、香奈儿化妆品等奢侈品牌,都采用声望定价策略,定价远高于同类产品。消费者购买这些产品,不仅是为了产品的功能和品质,更是为了品牌所代表的声望和地位。
招徕定价:企业将某几种产品的价格定得较低,甚至低于成本,以吸引消费者进入门店,进而带动其他产品的销售。该策略也称为 “特价品定价策略”。
示例:某超市将鸡蛋、大米等生活必需品的价格定得较低,吸引消费者进入超市购物,消费者在购买特价品的同时,可能会购买其他产品;某家电卖场将某款空调的价格定得较低,吸引消费者进入卖场,进而推销其他型号的空调和家电产品。
3.3 渠道理论
营销渠道是连接企业与消费者的桥梁,是产品价值传递的关键路径。在市场竞争日益激烈的今天,渠道的效率和覆盖面直接影响企业的市场份额和盈利能力。渠道理论的核心是回答 “如何构建高效的渠道体系,将产品快速、准确地传递给目标消费者” 这一问题,主要包括渠道的核心定义与功能、渠道结构设计、渠道设计流程、渠道管理与优化四大核心内容。
3.3.1 营销渠道的核心定义与功能
3.3.1.1 渠道的本质
营销渠道(Marketing Channel),也称为分销渠道,是指产品从生产者向消费者转移过程中,所有参与产品流通的组织和个人的集合。渠道的本质是 “价值传递的路径”—— 企业通过渠道将产品的核心价值、功能利益、品牌形象等传递给消费者,同时将消费者的需求、反馈等信息传递给企业,形成双向的价值互动。
从渠道的构成来看,渠道成员包括生产者(企业)、批发商、零售商、代理商、物流服务商、消费者等。不同的渠道成员在价值传递过程中扮演不同的角色:生产者负责产品的研发、生产和品牌建设;批发商负责产品的批量采购、仓储和分销;零售商负责产品的终端销售和消费者服务;代理商负责产品的推广和销售代理;物流服务商负责产品的运输和配送;消费者是产品价值的最终接收者和反馈者。
渠道的本质决定了渠道的核心目标:以最低的成本,在最短的时间内,将产品传递给目标消费者,满足消费者的需求,同时实现企业的营销目标。例如,京东的物流渠道能够实现 “上午下单、下午送达” 的快速配送,满足消费者对便利性的需求;星巴克的门店渠道能够为消费者提供舒适的消费环境和优质的服务,传递品牌的 “第三空间” 价值。
3.3.1.2 渠道的核心功能
营销渠道在产品流通和价值传递过程中,发挥着不可替代的核心功能,这些功能能够降低交易成本、提高流通效率、提升消费者体验,具体包括以下几个方面:信息传递功能、产品分销功能、风险承担功能、服务支持功能、交易匹配功能、融资功能等。
3.3.2 渠道结构设计
渠道结构是指渠道的长度、宽度和类型的组合,不同的渠道结构会影响渠道的效率、成本和控制力。企业需要根据产品特性、市场需求、竞争格局、企业资源等因素,设计合理的渠道结构,实现产品的高效分销。
3.3.2.1 渠道长度决策
渠道长度是指产品从生产者到消费者转移过程中,所经过的渠道成员的数量。根据渠道长度的不同,渠道可以分为零级渠道、一级渠道、二级渠道、三级渠道等。
零级渠道(Direct Channel):产品从生产者直接转移到消费者手中,不经过任何中间商。零级渠道也称为直接渠道,是最短的渠道长度。
示例:企业通过官网直销、门店直销、电话销售、邮件销售等方式,直接向消费者销售产品。例如,戴尔电脑通过官网直销的方式,直接向消费者销售电脑;特斯拉通过门店直销的方式,直接向消费者销售汽车;小米通过小米商城、小米之家等直接渠道,向消费者销售手机和智能家居产品。
一级渠道(One-Level Channel):产品从生产者经过一个中间商(通常是零售商)转移到消费者手中。一级渠道是最常见的渠道长度之一。
示例:企业将产品销售给零售商,零售商再将产品销售给消费者。例如,可口可乐将产品销售给超市、便利店等零售商,零售商再将产品销售给消费者;耐克将产品销售给体育用品专卖店、百货商场等零售商,零售商再将产品销售给消费者。
二级渠道(Two-Level Channel):产品从生产者经过两个中间商(通常是批发商和零售商)转移到消费者手中。二级渠道是快消品行业最常见的渠道长度。
示例:企业将产品销售给批发商,批发商再将产品销售给零售商,零售商最后将产品销售给消费者。例如,农夫山泉将产品销售给区域批发商,批发商再将产品销售给超市、便利店等零售商,零售商将产品销售给消费者;娃哈哈将产品销售给全国批发商,批发商再将产品销售给地方零售商,零售商将产品销售给消费者。
三级渠道(Three-Level Channel):产品从生产者经过三个或更多中间商(通常是代理商、批发商、零售商)转移到消费者手中。三级渠道通常适用于国际市场或偏远地区的分销。
示例:企业将产品销售给代理商,代理商再将产品销售给批发商,批发商再将产品销售给零售商,零售商最后将产品销售给消费者。例如,某国际品牌进入中国市场,通过中国的代理商进行产品分销,代理商将产品销售给全国批发商,批发商再将产品销售给地方零售商,零售商将产品销售给消费者。
3.3.2.2 渠道宽度决策
渠道宽度是指产品在某一渠道层级上,所选择的渠道成员的数量。根据渠道宽度的不同,渠道可以分为密集分销、选择分销、独家分销三种类型。
密集分销(Intensive Distribution):企业在某一渠道层级上,选择尽可能多的渠道成员进行产品分销,使产品能够广泛覆盖市场,方便消费者购买。
示例:快消品行业的企业通常采用密集分销策略,如可口可乐、农夫山泉等品牌,在超市、便利店、小卖部、加油站等所有可能的销售渠道都进行产品布局,让消费者能够随时随地购买到产品;日用品行业的宝洁公司,在各大超市、百货商场、便利店等渠道都销售其洗发水、牙膏、洗衣粉等产品。
选择分销(Selective Distribution):企业在某一渠道层级上,选择部分符合条件的渠道成员进行产品分销,这些渠道成员通常具有较强的销售能力、良好的信誉和广泛的客户资源。
示例:电子产品行业的企业通常采用选择分销策略,如华为、小米等手机品牌,选择大型家电卖场、手机专卖店、电商平台等优质渠道进行产品销售,确保产品的销售质量和服务水平;服装行业的耐克、阿迪达斯等品牌,选择体育用品专卖店、高端百货商场等渠道进行产品销售,维护品牌的高端形象。
独家分销(Exclusive Distribution):企业在某一特定区域或市场上,只选择一个渠道成员进行产品分销,该渠道成员拥有产品的独家销售权。
示例:奢侈品行业的企业通常采用独家分销策略,如 LV、Gucci 等品牌,在某一城市或区域只选择一家高端百货商场或专卖店进行产品销售,维护品牌的稀缺性和高端形象;汽车行业的豪华品牌,如劳斯莱斯、宾利等,在某一区域只选择一家授权经销商进行产品销售,确保产品的销售服务和品牌形象。
3.3.2.3 渠道类型选择
渠道的功能特性与企业的渠道目标,企业可选择不同类型的营销渠道,常见的渠道类型包括直接渠道与间接渠道、线上渠道与线下渠道、垂直渠道系统、水平渠道系统、多渠道系统等。
1. 直接渠道与间接渠道
直接渠道(零级渠道):产品从生产者直接到消费者,无中间商参与。除了官网直销、门店直销外,还包括电话直销、邮件营销、人员推销等形式。
间接渠道(一级及以上渠道):产品通过中间商转移到消费者手中,是市场上最普遍的渠道类型。根据中间商的类型,间接渠道可分为批发渠道、零售渠道、代理渠道等。
2. 线上渠道与线下渠道
线上渠道:依托互联网技术,通过线上平台实现产品销售的渠道,包括官方商城、电商平台(淘宝、京东、拼多多)、社交媒体电商(微信小程序、抖音电商)、直播电商、社区团购平台等。线上渠道的核心优势是覆盖范围广、运营成本低、消费者购买便利、数据可追踪。
线下渠道:通过实体场所实现产品销售的渠道,包括门店(专卖店、便利店、超市)、百货商场、批发市场、展会、体验中心等。线下渠道的核心优势是消费者可直接接触产品、体验服务,信任度高,适合需要现场展示、试用或专业服务的产品。
线上线下融合渠道(O2O 渠道):将线上渠道与线下渠道结合,实现 “线上引流、线下体验、线上下单、线下配送” 的一体化服务。
3. 垂直渠道系统:由生产者、批发商、零售商等不同渠道层级的成员组成的一体化渠道系统,各成员通过契约、股权或管理关系,实现协同运作,提升渠道效率。垂直渠道系统的核心优势是减少渠道冲突,统一渠道策略,降低交易成本。具体可分为:
公司式垂直渠道系统:由同一公司控制所有渠道成员,实现生产与分销的一体化。例如,苏宁电器通过自营门店、线上商城、物流体系,实现从产品采购、销售到配送的全链条控制;阿里巴巴通过收购银泰商业、投资盒马鲜生,构建线上线下一体化的零售渠道系统。
契约式垂直渠道系统:不同渠道成员通过签订契约,明确权利与义务,实现协同合作。例如,特许经营模式(如麦当劳、肯德基),总部与加盟商签订特许经营协议,总部提供品牌、技术、管理支持,加盟商按照总部标准运营门店;批发商发起的自愿连锁(如美国的 IGA 超市联盟),批发商与独立零售商签订协议,为零售商提供采购、物流、营销等支持,零售商保持独立经营。
管理式垂直渠道系统:由行业内的主导企业(通常是生产者或大型零售商)协调渠道成员的行为,实现渠道协同。例如,宝洁公司通过强大的品牌影响力和营销资源,协调批发商、零售商的进货、促销、陈列等活动,确保渠道策略的统一执行;沃尔玛通过大规模采购能力,要求供应商按照其标准提供产品、配合促销活动,主导渠道运作。
4. 水平渠道系统:由同一渠道层级的多个企业(如多个生产者、多个批发商或多个零售商)组成的合作渠道系统,通过资源共享、优势互补,扩大市场覆盖范围,提升渠道竞争力。
示例:多家中小制造企业联合起来,共同组建销售公司,统一进行产品分销,降低分销成本;多个区域性零售商联合起来,成立采购联盟,提高采购议价能力,降低采购成本;滴滴出行与美团打车在部分城市合作,共享运力资源,提升打车成功率,扩大市场份额。
5. 多渠道系统:企业同时采用多种渠道(如直接渠道与间接渠道、线上渠道与线下渠道、不同类型的间接渠道)销售产品,覆盖不同的目标市场和消费场景。多渠道系统的核心优势是扩大市场覆盖范围,满足消费者的多样化购买需求,降低单一渠道的风险。
示例:小米采用多渠道系统,包括线上渠道(小米商城、电商平台)、线下渠道(小米之家、专卖店、授权店)、运营商渠道(与中国移动、中国联通、中国电信合作),覆盖不同消费群体和购买场景;耐克通过官网、电商平台、线下专卖店、百货商场专柜、体育用品店等多种渠道,实现全渠道覆盖,满足消费者的不同购买需求。
3.3.3 渠道设计流程
渠道设计是企业根据营销目标、市场需求、竞争状况等因素,构建高效渠道体系的过程。科学的渠道设计需要遵循一定的流程,确保渠道结构与企业战略、市场需求相匹配。渠道设计流程主要包括渠道目标设定、渠道环境分析、渠道结构决策、渠道成员选择、渠道方案评估与优化五个步骤。
3.3.3.1 渠道目标设定
渠道目标是企业通过渠道想要实现的营销目标,是渠道设计的核心导向。渠道目标必须与企业的整体营销目标、战略目标相一致,常见的渠道目标包括:市场覆盖目标、销量目标、效率目标、服务目标、品牌目标等。
3.3.3.2 渠道环境分析
渠道环境是影响渠道设计的外部因素,包括市场环境、竞争环境、政策环境、技术环境等。企业需要全面分析渠道环境,识别机会与威胁,为渠道结构决策提供依据。
3.3.3.3 渠道结构决策
渠道结构决策是渠道设计的核心环节,包括渠道长度决策、渠道宽度决策、渠道类型决策,企业需要根据渠道目标、环境分析结果,选择合适的渠道结构。渠道结构决策的核心是 “效率与成本的平衡”—— 在满足渠道目标的前提下,选择能够实现 “最低渠道成本、最高分销效率” 的渠道结构。例如,对于市场覆盖目标,若目标市场分散,可选择长渠道、密集分销;若目标市场集中,可选择短渠道、选择分销或独家分销;对于效率目标,可选择垂直渠道系统、线上线下融合渠道,提升渠道协同效率。除了渠道目标和环境因素外,产品特性、企业资源也会影响渠道结构决策。
3.3.3.4 渠道成员选择
渠道成员是渠道系统的核心组成部分,渠道成员的素质和能力直接影响渠道效率和服务质量。企业需要制定明确的渠道成员选择标准,筛选出符合要求的渠道成员。渠道成员选择标准可围绕经营实力、经营信誉、销售能力、合作契合度、合规能力等方面设定。通过行业协会、展会、市场调研、现有渠道成员推荐等方式,收集潜在渠道成员信息,形成候选人名单。根据选择标准,对候选人进行全面评估,包括实地考察、面谈、资料审核等。与符合要求的渠道成员签订合作协议,明确双方的权利与义务。
3.3.3.5 渠道方案评估与优化
渠道设计并非一劳永逸,企业需要定期对渠道方案进行评估,根据市场变化、渠道运作情况,及时调整优化渠道结构,确保渠道系统的高效运作。
3.3.4 渠道管理与优化
渠道管理是企业对渠道系统进行规划、组织、协调、控制的过程,其核心目标是确保渠道成员按照企业的渠道策略运作,实现渠道目标。渠道管理与优化主要包括渠道关系管理、渠道冲突管理、渠道绩效评估与激励三大核心内容。
3.3.4.1 渠道关系管理
渠道关系是指企业与渠道成员之间、渠道成员之间的互动关系。良好的渠道关系能够提升渠道协同效率,减少渠道冲突,实现企业与渠道成员的 “双赢”。渠道关系管理的核心是建立长期、稳定、互信的合作关系。
3.3.4.2 渠道冲突管理
渠道冲突是指渠道成员之间因利益分歧、目标差异、决策不一致等原因,产生的矛盾和对立行为。渠道冲突会影响渠道协同效率,损害渠道成员的利益,甚至导致渠道系统崩溃。渠道冲突管理的核心是识别冲突原因,采取有效的解决策略,化解冲突,维护渠道稳定。
3.3.4.3 渠道绩效评估与激励
渠道绩效评估是对渠道成员的运作效率、销售业绩、服务质量等进行全面评价的过程,其目的是了解渠道成员的表现,为渠道激励、渠道优化提供依据。渠道激励是通过制定激励政策,激发渠道成员的积极性和主动性,提升渠道绩效。
3.4 促销理论
促销是营销组合中负责 “沟通价值” 的核心要素,其本质是企业通过多种沟通方式,向目标消费者传递产品信息、品牌价值和促销活动,激发消费者的购买欲望,促进产品销售。在信息爆炸、消费者注意力稀缺的市场环境中,有效的促销策略能够帮助企业吸引消费者关注,建立品牌认知,提升产品销量。促销理论的核心是回答 “如何设计高效的促销组合,实现与消费者的有效沟通” 这一问题,主要包括促销的本质与核心目标、促销组合的构成与设计原则、主要促销工具的运作逻辑与策略、促销组合的协同与优化四大核心内容。
3.4.1 促销的本质与核心目标
3.4.1.1 促销的本质
促销(Promotion)的本质是 “企业与消费者之间的价值沟通”—— 企业通过特定的沟通渠道和方式,将产品的功能利益、品牌价值、促销信息等传递给目标消费者,同时收集消费者的反馈信息,形成双向沟通闭环。促销的核心不是 “低价推销”,而是 “价值传递”—— 通过沟通让消费者了解产品能为其带来的价值,从而激发购买意愿。
从沟通的角度来看,促销具有以下三个核心特征:
沟通对象的针对性:促销的沟通对象是明确的目标消费者,企业需要根据目标消费者的特征(如年龄、性别、消费习惯、信息获取渠道),选择合适的沟通方式和内容。
沟通内容的说服性:促销的沟通内容需要具有说服力,能够打动消费者,激发其购买欲望。沟通内容应聚焦产品的核心价值和差异化优势,如产品的功能、品质、价格优势、品牌故事等。
沟通方式的多样性:促销的沟通方式多种多样,包括广告、公关、销售促进、人员推销、直复营销、社交媒体营销等,企业可根据促销目标和资源状况,选择单一或组合的沟通方式。
3.4.1.2 促销的核心目标
促销的目标必须与企业的整体营销目标、品牌目标相一致,不同的市场阶段和营销场景,促销的核心目标也不同。常见的促销目标包括以下四类:
认知目标:向目标消费者传递产品或品牌信息,建立品牌认知,让消费者了解产品的存在、功能、特点和品牌定位。认知目标通常适用于产品导入期或品牌推广初期,核心是 “让消费者知道”。
态度目标:通过沟通传递产品价值和品牌理念,改变消费者对产品或品牌的态度,从 “了解” 转变为 “喜爱”“信任”,建立品牌偏好。态度目标通常适用于产品成长期,核心是 “让消费者喜欢”。
行为目标:激发消费者的购买欲望,促进消费者采取购买行动,提升产品销量。行为目标通常适用于产品成长期和成熟期,核心是 “让消费者购买”。
忠诚目标:通过持续的促销沟通和优质的消费体验,培养消费者的品牌忠诚度,促进重复购买和口碑传播。忠诚目标通常适用于产品成熟期,核心是 “让消费者持续购买”。
3.4.2 促销组合的构成与设计原则
促销组合(Promotion Mix)是指企业为实现促销目标,对广告、公关、销售促进、人员推销、直复营销等多种促销工具进行的有机组合与协同运用。不同的促销工具具有不同的特点和适用场景,企业需要根据促销目标、产品特性、目标消费者、市场环境等因素,设计合理的促销组合。
3.4.2.1 促销组合的核心构成
广告(Advertising):企业通过付费的方式,利用大众传播媒介(如电视、报纸、杂志、广播、互联网、户外媒体),向目标消费者传递产品或品牌信息的促销方式。
核心特点:传播范围广、信息传递速度快、形式多样、可重复传播、单向沟通(企业向消费者传递信息,消费者反馈有限)。
适用场景:品牌认知建立、产品信息传递、品牌形象塑造,适用于目标消费者广泛、产品同质化程度较高的情况。例如,快消品、家电、汽车等行业,常通过大规模广告投放,提升品牌知名度和产品销量。
常见形式:电视广告、报纸广告、杂志广告、广播广告、网络广告(如搜索引擎广告、社交媒体广告、视频广告)、户外广告(如广告牌、灯箱、地铁广告)、植入广告(如电影、电视剧植入)等。
公共关系(Public Relations, PR):企业通过非付费的方式,开展各种公关活动(如新闻发布会、公益活动、品牌联名、危机公关),建立和维护企业与公众(消费者、媒体、政府、行业协会等)之间的良好关系,提升品牌美誉度和企业形象。
核心特点:可信度高(消费者对第三方媒体报道、公益活动的信任度高于广告)、传播范围广、潜移默化影响消费者态度、长期效应明显。
适用场景:品牌形象塑造、品牌美誉度提升、危机处理、建立公众信任,适用于需要长期建立品牌资产的情况。例如,奢侈品品牌、科技品牌,常通过公益活动、行业论坛等公关活动,提升品牌形象;企业出现负面事件时,通过危机公关,维护品牌声誉。
常见形式:新闻发布、媒体专访、公益捐赠、慈善活动、品牌联名合作、行业研讨会、危机公关处理等。
销售促进(Sales Promotion):企业为刺激消费者即时购买、提升渠道成员积极性,而开展的短期激励活动(如折扣、满减、买赠、优惠券、抽奖、积分兑换等)。
核心特点:刺激性强、即时效果明显、短期性、针对性强(针对消费者或渠道成员)。
适用场景:销量快速提升、库存消化、新产品试销、渠道成员激励,适用于产品成熟期、市场竞争激烈的情况。例如,快消品行业的节假日促销、电商平台的大促活动、汽车行业的限时优惠等,都属于销售促进。
常见形式:消费者促销(如折扣、满减、买赠、优惠券、抽奖、免费试用、积分兑换)、渠道促销(如返利、批量折扣、促销补贴、独家代理权)。
人员推销(Personal Selling):企业通过销售人员与消费者进行面对面的沟通,介绍产品信息、解答消费者疑问、促成购买交易的促销方式。
核心特点:双向沟通(销售人员与消费者直接互动)、针对性强(可根据消费者需求调整沟通内容)、灵活性高、成交率高、成本高。
适用场景:高价值产品、技术复杂产品、定制化产品、B2B 市场,适用于目标消费者集中、需要专业服务的情况。例如,工业设备、高端家电、保险产品、房地产等行业,常采用人员推销的方式。
常见形式:上门推销、门店推销、会议推销、电话推销、网络直播推销(直播带货本质上是人员推销的线上形式)等。
3.4.2.2 促销组合的设计原则
设计有效的促销组合需要遵循以下四大原则,确保促销工具的协同性、针对性和高效性:
目标导向原则:促销组合的设计必须以促销目标为核心,不同的促销目标对应不同的促销工具组合。
目标消费者适配原则:促销组合的设计必须贴合目标消费者的特征,包括消费者的年龄、性别、消费习惯、信息获取渠道、购买决策过程等。
产品特性适配原则:促销组合的设计必须考虑产品的特性,包括产品的单价、技术含量、生命周期阶段、消费频率等。
协同增效原则:促销组合中的不同促销工具应相互配合、协同运作,实现 “1+1>2” 的效果。
3.4.3 主要促销工具的运作逻辑与策略
3.4.3.1 广告:构建品牌认知与形象
广告的核心运作逻辑是 “通过大众传播,传递统一、清晰的品牌信息,建立品牌认知,塑造品牌形象”。广告策略的关键是选择合适的广告媒介、设计有效的广告内容、制定合理的广告投放计划。
1. 广告媒介选择策略
媒介选择的核心依据:目标消费者的媒介接触习惯、媒介的覆盖范围与精准度、广告预算、广告目标。常见媒介的特点与适用场景:
电视媒介:覆盖范围广、受众基数大、视听结合、感染力强,适合建立品牌认知和塑造品牌形象,适用于大众消费品(如快消品、家电、汽车)。
互联网媒介(含社交媒体、视频平台、搜索引擎):覆盖范围广、针对性强(可基于用户画像精准投放)、互动性强、效果可衡量(如点击率、转化率)、成本灵活,适合各类产品,尤其是针对年轻消费者的产品。例如,抖音、快手的短视频广告,微信、微博的社交广告,百度、淘宝的搜索引擎广告,都具有精准投放和互动性强的优势。
户外媒介(广告牌、地铁、公交、灯箱):曝光度高、视觉冲击力强、覆盖特定区域或人群,适合本地品牌、区域性产品,或用于提升品牌曝光度。例如,一线城市核心商圈的广告牌,适合高端品牌塑造形象;地铁、公交广告,适合快消品、本地服务类产品。
纸媒媒介(报纸、杂志):针对性强(如行业杂志针对特定专业人群)、信息传递深入、保存时间长,适合 B2B 产品、专业产品、高端消费品。例如,财经类杂志的广告,适合金融产品、高端汽车;时尚类杂志的广告,适合美妆、奢侈品。
2. 广告内容设计策略
核心原则:简洁明了、突出核心卖点、引发消费者共鸣(情感共鸣或理性共鸣)。内容设计的关键要素如下:
核心卖点:广告内容应聚焦产品的 1-2 个核心卖点,避免信息过载。
情感共鸣:通过情感化的故事、场景或文案,引发消费者的情感认同。
理性说服:通过数据、事实、对比等方式,理性说服消费者。
品牌标识:广告中应突出品牌名称、标志、口号等品牌标识,强化品牌认知。
3. 广告投放策略
投放时机:根据产品生命周期、市场需求波动、节假日等因素,选择合适的投放时机。例如,新产品上市时集中投放,快速建立认知;节假日(如春节、国庆节)前加大投放,刺激节日消费;季节性产品在旺季前提前投放,抢占市场先机。
投放频率:根据广告目标和消费者记忆规律,确定合理的投放频率。投放频率过低,消费者难以记住品牌信息;投放频率过高,可能导致消费者反感。通常采用 “集中投放 + 持续投放” 的组合,如新产品上市初期集中投放,之后持续少量投放,维持品牌曝光度。
投放区域:根据目标市场的地理分布,选择合适的投放区域。例如,全国性产品在全国范围内投放,区域性产品聚焦目标区域投放,下沉市场产品重点在三四线城市及县域市场投放。
3.4.3.2 公共关系:塑造品牌美誉度与信任
公关的核心运作逻辑是 “通过非付费的第三方沟通,建立企业与公众的良好关系,塑造品牌美誉度和信任”。公关策略的关键是策划有影响力的公关活动、加强媒体关系管理、有效处理危机事件。
1. 公关活动策划策略
核心原则:贴合品牌定位、具有社会价值或话题性、能够吸引媒体和公众关注。常见公关活动类型主要有:
公益公关:通过参与或发起公益活动,传递品牌的社会责任感,提升品牌美誉度。例如,阿里巴巴的 “蚂蚁森林” 公益项目,用户通过低碳行为积累能量种树,既传递了环保理念,又提升了品牌形象;蒙牛的 “助学公益计划”,资助贫困地区学生上学,塑造了负责任的品牌形象。
品牌联名公关:与其他品牌、IP、名人或机构合作,开展联名活动,借助合作方的影响力,扩大品牌曝光度,提升品牌形象。例如,故宫与美妆品牌联名推出故宫主题化妆品,借助故宫的文化 IP,提升品牌的文化内涵;星巴克与网易云音乐联名推出 “乐评咖啡杯”,吸引年轻消费者关注。
事件公关:通过策划或参与具有话题性的事件,吸引媒体和公众关注,提升品牌曝光度。例如,苹果公司的新品发布会,每次都会引发全球媒体和消费者的关注,成为热门话题;杜蕾斯的节日营销事件,通过创意文案和话题策划,频繁登上热搜,提升品牌曝光度。
行业公关:通过参与行业论坛、举办技术研讨会、发布行业报告等方式,树立企业的行业权威地位。例如,华为参与全球通信行业论坛,发布 5G 技术白皮书,树立技术领先的品牌形象;腾讯举办互联网大会,邀请行业专家共同探讨行业发展趋势,提升行业影响力。
2. 媒体关系管理策略
核心目标:与媒体建立长期、稳定的合作关系,通过媒体报道,传递品牌正面信息,提升品牌曝光度和可信度。关键策略主要有:
建立媒体数据库:收集行业媒体、大众媒体、社交媒体 KOL 等媒体资源信息,分类管理,定期维护。
定期沟通互动:通过媒体沟通会、新品体验会、专访等方式,与媒体保持定期沟通,及时传递企业的产品信息、品牌动态、公关活动等。例如,企业举办新品发布会时,邀请核心媒体参与,提供详细的产品资料和专访机会。
提供有价值的新闻素材:向媒体提供具有新闻价值的内容,如企业的技术创新、公益活动、行业洞察等,提高媒体报道的意愿。例如,某科技企业发布行业趋势报告,媒体基于报告进行报道,既传递了企业的专业形象,又提升了品牌曝光度。
危机沟通准备:建立媒体危机沟通机制,当企业出现负面事件时,及时与媒体沟通,发布真实信息,引导舆论方向。
3. 危机公关处理策略
危机公关处理的核心原则:快速响应、坦诚透明、承担责任、积极补救。危机公关处理流程如下:
危机监测:通过媒体监测工具、社交媒体监测、消费者反馈等渠道,及时发现危机信号(如负面新闻、消费者投诉、社交媒体负面话题)。
快速响应:在危机发生后的 24 小时内,发布官方声明,表明企业对危机的重视和处理态度,避免舆论发酵。
坦诚透明:向公众公开危机的真相、原因和处理进展,避免隐瞒或误导公众。
承担责任:根据危机的性质和影响,承担相应的责任(如产品质量问题承担赔偿责任,服务问题承担改进责任)。
积极补救:采取有效的补救措施,解决危机带来的问题,挽回消费者信任。
后续跟进:危机处理后,持续关注舆论动态,向公众公布整改结果,通过公关活动重塑品牌形象。
3.4.3.3 销售促进:刺激即时购买与渠道激励
销售促进的核心运作逻辑是 “通过短期激励,打破消费者的购买惰性,刺激即时购买,同时激励渠道成员积极推广产品”。销售促进策略的关键是选择合适的促销工具、设计有吸引力的促销方案、控制促销成本与风险。
1. 消费者销售促进策略
消费者销售促进的核心目标是刺激消费者即时购买、提升产品试用率、促进重复购买、消化库存。常见促销工具及策略主要有:
价格类促销(折扣、满减、优惠券):最直接的促销工具,通过降低产品价格,刺激消费者购买。例如,超市的 “限时 8 折”“满 100 减 30”,电商平台的 “优惠券领取”,都是常见的价格类促销。
赠品类促销(买赠、捆绑销售):通过赠送赠品或捆绑销售,提升产品的附加值,刺激消费者购买。例如,“买手机送耳机”“买洗衣液送洗衣凝珠”,都是常见的买赠促销;“牙膏 + 牙刷” 捆绑销售,价格低于单独购买总和,吸引消费者购买。
体验类促销(免费试用、试吃、试驾):通过让消费者免费体验产品,降低购买风险,刺激后续购买。例如,化妆品品牌的 “免费试用装”,食品品牌的 “现场试吃”,汽车品牌的 “免费试驾”,都是常见的体验类促销。
互动类促销(抽奖、答题、打卡):通过互动活动,提升消费者的参与度和趣味性,刺激购买。例如,“购买产品参与抽奖,赢取手机、旅游套餐”,“关注公众号答题赢优惠券”,“连续打卡 3 天领取赠品”,都是常见的互动类促销。
积分类促销(会员积分、消费积分):通过积分积累和兑换,促进消费者重复购买,培养品牌忠诚。例如,超市的会员积分制度,消费者消费 1 元积 1 分,积分可兑换商品或优惠券;化妆品品牌的会员积分,积分可兑换新品、护理服务等。
2. 渠道销售促进策略
渠道销售促进的核心目标是激励渠道成员(批发商、零售商、代理商)积极采购、推广产品,提升渠道销量和市场覆盖范围。常见促销工具及策略主要有:
价格型激励:为渠道成员提供价格优惠,激励其增加采购量,包括批量折扣、功能折扣、返利(销量返利、利润返利)等。例如,批发商采购量达到 1000 件以上享受 20% 的批量折扣;零售商完成销售目标获得 5% 的销量返利。
实物型激励:向渠道成员提供实物奖励或支持,包括赠品、促销物料(海报、展架)、门店装修补贴等。例如,向零售商赠送产品展示架;为经销商提供门店装修补贴;采购产品附赠促销礼品。
销售支持型激励:为渠道成员提供营销支持,帮助其提升销售能力,包括培训支持、人员支持、广告补贴、联合促销等。例如,为经销商提供产品知识与销售技巧培训;派遣销售人员协助零售商开展促销活动;为渠道成员的广告宣传提供补贴。
合作型激励:与渠道成员建立长期合作关系,提供长期利益保障,包括独家经销权、区域保护、优先供货等。例如,授予经销商特定区域的独家经销权;承诺对渠道成员的销售区域进行保护,禁止窜货;为核心渠道成员提供优先供货权益。
3.4.3.4 人员推销:精准沟通的成交工具
人员推销是指企业通过销售人员与潜在客户进行面对面的沟通、洽谈,介绍产品或服务的特点与优势,解答客户疑问,促成交易的促销方式。人员推销是最直接、最具针对性的促销工具,能够实现与客户的深度互动与精准沟通。
1. 人员推销的核心类型
根据销售场景与客户类型的不同,人员推销可分为以下类型:
门店推销:销售人员在实体店、专卖店、商超专柜等线下门店,向进店客户介绍产品、演示功能、协助购买,如家电门店的导购、服装专卖店的销售人员。
上门推销:销售人员主动上门拜访潜在客户,进行产品介绍与推销,如保险推销员、保健品推销员、企业级软件销售人员。
会议推销:通过召开产品推介会、行业研讨会、客户座谈会等会议形式,集中向潜在客户介绍产品,如医疗器械推介会、企业服务解决方案研讨会。
电话推销:销售人员通过电话与潜在客户沟通,介绍产品信息,邀请客户进一步洽谈或购买,如电信运营商的套餐推销、金融产品的电话营销。
网络推销:通过视频通话、在线聊天等网络方式,与客户进行远程沟通,介绍产品,促成交易,如直播带货中的主播推销、企业客户的线上客户经理沟通。
2. 人员推销的核心流程(AIDA 模型)
引起注意(Attention):销售人员通过热情的问候、产品演示、问题提问等方式,吸引潜在客户的注意力,引发客户的兴趣。
激发兴趣(Interest):向客户介绍产品的核心优势、独特价值与使用场景,结合客户的需求,激发客户的购买兴趣。
创造欲望(Desire):通过强调产品能够解决客户的痛点、带来的利益(如节省成本、提升品质、获得便利),创造客户的购买欲望。
促成行动(Action):通过适当的促成技巧(如限时优惠、稀缺性强调、试用体验),推动客户做出购买决策,完成交易。
3. 人员推销的核心销售技巧
需求挖掘技巧:通过开放式提问(如 “您对产品有什么具体要求?”)、封闭式提问(如 “您更关注价格还是品质?”),了解客户的真实需求与痛点。
产品介绍技巧:采用 FABE 法则(Feature - 特点、Advantage - 优势、Benefit - 利益、Evidence - 证据),清晰、有说服力地介绍产品。
异议处理技巧:针对客户提出的价格、品质、售后等异议,通过倾听、理解、解释、提供解决方案等方式,化解客户疑虑。
谈判成交技巧:灵活运用价格谈判、增值服务、捆绑销售等技巧,与客户达成共识;把握成交信号(如客户询问付款方式、使用方法),及时促成交易。
客户关系维护技巧:交易完成后,通过跟进服务、定期回访、节日问候等方式,维护客户关系,培育客户忠诚,促进重复购买与口碑传播。
第四章 现代营销学前沿理论
在数字化浪潮席卷全球、消费需求升级、社会价值观念转变的多重背景下,现代营销学正经历着深刻的变革与重构。传统营销理论基于线下场景、大规模传播与单向沟通的逻辑,已难以适配当前复杂多变的市场环境 —— 消费者主权崛起,对个性化、体验感、社会责任的诉求日益强烈;技术创新推动营销渠道多元化、数据驱动精准化、互动方式场景化;企业间的竞争也从产品、价格的表层博弈,延伸至品牌价值、客户关系、服务质量与社会口碑的深层较量。
本章聚焦现代营销学的前沿理论体系,围绕数字营销、品牌管理、客户关系管理及新兴专项营销(服务营销、绿色营销、社会责任营销)四大核心板块,系统梳理各理论的核心内涵、框架体系、实践路径与应用案例。通过深入剖析这些前沿理论,不仅为企业破解营销困境、提升市场竞争力提供理论指导,也为营销学理论体系的丰富与发展注入新的活力。本章各节内容既相对独立又相互关联,共同构建起适应新时代市场特征的营销理论框架。
4.1 数字营销理论
4.1.1 数字营销理论的发展背景与核心特征
数字营销是指企业利用数字技术(互联网、移动终端、大数据、人工智能等)开展的营销活动,其本质是通过数字化渠道实现企业与消费者的精准对接、高效互动与价值共创。随着互联网普及率的提升、移动终端的普及以及大数据技术的成熟,数字营销已从传统营销的补充形式,转变为企业营销的核心战略。
数字营销的核心特征包括:一是精准性,依托大数据分析用户的消费习惯、兴趣偏好、行为轨迹,实现营销信息的精准推送;二是互动性,通过社交媒体、直播、短视频等渠道,构建企业与消费者的双向沟通机制,提升用户参与感;三是场景化,结合用户所处的时间、地点、场景,提供个性化的营销服务,增强用户体验;四是可衡量性,通过数据分析工具,实时监测营销活动的效果(如点击率、转化率、销售额等),实现营销资源的优化配置。
4.1.2 内容营销的核心框架与实践应用
4.1.2.1 内容营销的定义与核心价值
内容营销是数字营销的核心组成部分,指企业通过创造、发布有价值、相关性强且具有一致性的内容,吸引并留存目标受众,最终驱动受众产生购买行为或品牌认同的营销方式。与传统广告的 “硬推广” 不同,内容营销以 “软渗透” 的方式,通过满足用户的信息需求、情感需求或娱乐需求,建立企业与用户之间的信任关系,其核心价值在于 “以内容为载体,实现品牌与用户的价值共鸣”。
内容营销的核心价值主要体现在三个层面:一是品牌层面,通过优质内容传递品牌理念、价值观与核心优势,提升品牌知名度、美誉度与忠诚度;二是用户层面,为用户提供有用的信息或愉悦的体验,满足用户的个性化需求,增强用户粘性;三是业务层面,通过内容引导用户决策,提升产品或服务的转化率,促进销售额增长。
4.1.2.2 内容营销的核心框架
内容营销的核心框架可概括为 “5C 模型”,即:
目标受众(Customer):明确内容的目标用户群体,包括用户的年龄、性别、职业、消费习惯、兴趣偏好、痛点需求等,确保内容与用户需求高度匹配。
内容策略(Content Strategy):基于目标受众需求,制定内容的主题、形式、风格与发布节奏。内容主题需聚焦用户痛点或兴趣点,如行业知识、实用技巧、情感故事等;内容形式包括文章、图片、短视频、音频、直播、 infographic 等,需根据用户偏好与传播渠道特性选择;内容风格需保持一致性,如专业严谨、轻松幽默、温情治愈等;发布节奏需结合用户活跃时间,确保内容的时效性与持续性。
传播渠道(Channel):选择适合目标受众的传播渠道,实现内容的高效触达。主流传播渠道包括:一是自有渠道,如企业官网、微信公众号、视频号、抖音号、小红书账号等,用于沉淀用户、构建私域流量;二是第三方平台,如行业媒体、社交媒体平台、短视频平台、搜索引擎等,用于扩大内容传播范围;三是合作渠道,如 KOL/KOC 合作、跨界联名等,借助第三方影响力提升内容曝光度。
用户互动(Interaction):建立内容与用户的互动机制,促进用户参与、分享与反馈。互动形式包括评论、点赞、转发、收藏、留言问答、话题讨论、用户生成内容(UGC)等,通过互动增强用户的参与感与归属感,同时收集用户反馈,优化内容策略。
效果评估(Conversion):设定明确的效果评估指标,监测内容营销活动的成效。评估指标包括曝光量、阅读量、互动率、转发率、粉丝增长数、转化率、复购率等,通过数据分析工具(如微信指数、抖音后台数据、百度统计等)收集数据,分析内容的优势与不足,及时调整内容策略与传播渠道。
4.1.2.3 内容营销的实践案例
以小米为例,小米的内容营销以 “科技普惠、为发烧而生” 的品牌理念为核心,聚焦年轻科技爱好者群体。内容主题围绕手机、智能家居等产品的技术优势、使用技巧、行业动态展开,内容形式包括产品测评视频、技术解析文章、用户故事分享等。传播渠道以小米官网、微信公众号、抖音号、B 站等为核心,同时与科技类 KOL 合作,扩大内容传播范围。通过优质内容,小米不仅向用户传递了产品的核心价值,还构建了 “米粉” 社群,增强了用户粘性,推动了产品销量的持续增长。
4.1.3 社交媒体营销的核心框架与实践应用
4.1.3.1 社交媒体营销的定义与核心价值
社交媒体营销是指企业利用社交媒体平台(如微信、微博、抖音、小红书、LinkedIn等),通过发布内容、互动沟通、社群运营等方式,实现品牌推广、用户获取、销售转化的营销活动。社交媒体平台的核心优势在于用户基数大、互动性强、传播速度快,能够帮助企业快速触达目标受众,建立品牌与用户之间的情感连接。
社交媒体营销的核心价值包括:一是扩大品牌曝光,借助社交媒体的传播特性,实现内容的病毒式传播,提升品牌知名度;二是增强用户互动,通过评论、点赞、转发、私信等功能,实现企业与用户的实时沟通,了解用户需求,提升用户满意度;三是培育用户忠诚,通过社群运营、个性化服务等方式,增强用户的归属感与认同感,培养核心用户群体;四是促进销售转化,通过产品推荐、优惠活动、直播带货等形式,直接引导用户购买,提升销售业绩。
4.1.3.2 社交媒体营销的核心框架
社交媒体营销的核心框架可概括为 “4I 模型”,即:
趣味化(Interesting):社交媒体用户的核心需求之一是娱乐与放松,因此内容需具备趣味性,能够吸引用户的注意力。趣味化的形式包括幽默段子、搞笑视频、趣味测试、互动游戏等,通过轻松愉悦的内容引发用户的情感共鸣。
个性化(Individuality):针对不同用户群体的需求与偏好,提供个性化的内容与服务。例如,通过用户画像分析,向年轻用户推送潮流时尚的内容,向职场人士推送专业知识与职场技巧,实现 “千人千面” 的营销触达。
互动性(Interaction):互动是社交媒体营销的核心,需设计多样化的互动形式,鼓励用户参与。常见的互动形式包括话题讨论、有奖问答、投票评选、UGC 活动、直播互动等,通过互动提升用户的参与感与粘性。
整合性(Integration):将社交媒体营销与其他营销渠道(如线下活动、电商平台、广告投放等)整合起来,形成营销合力。例如,通过社交媒体发布线下活动预告,引导用户参与;通过电商平台链接,实现从内容曝光到销售转化的闭环。
4.1.3.3 社交媒体营销的实践案例
以海底捞为例,海底捞的社交媒体营销以 “服务至上、用户第一” 的品牌理念为核心,聚焦年轻消费群体。通过微博、抖音、小红书等平台,发布用户在门店的趣味体验视频、创意吃法教程、员工暖心服务故事等内容,引发用户的广泛关注与传播。同时,海底捞积极开展 UGC 活动,鼓励用户分享自己的用餐体验,并通过官方账号进行互动与转发,增强用户的参与感。此外,海底捞还通过社交媒体发布优惠活动、新品预告等信息,引导用户到店消费,实现了品牌推广与销售转化的双赢。
4.1.4 直播电商营销的核心框架与实践应用
4.1.4.1 直播电商营销的定义与核心价值
直播电商营销是指企业或主播通过直播平台(如抖音、快手、淘宝直播、视频号直播等),以实时直播的形式,向用户展示产品特点、介绍产品功能、解答用户疑问,并引导用户直接购买的营销方式。直播电商营销融合了内容营销、社交媒体营销与电商销售的优势,其核心价值在于 “实时互动、场景化体验、即时转化”,能够有效缩短用户决策路径,提升销售效率。
直播电商营销的核心价值主要体现在:一是场景化体验,通过直播的实时展示,让用户直观了解产品的外观、功能、使用效果,模拟线下购物的体验,降低用户的购买顾虑;二是实时互动,主播与用户可以实时沟通,解答用户的疑问,回应用户的需求,增强用户的信任感;三是即时转化,直播过程中通过优惠券、限时秒杀、拼团等营销活动,刺激用户的购买欲望,实现 “所见即所得” 的即时转化;四是品牌推广,通过主播的影响力与直播内容的传播,提升品牌的知名度与曝光度。
4.1.4.2 直播电商营销的核心框架
直播电商营销的核心框架可概括为 “人、货、场、效” 四大要素,即:
人(主播与用户):主播是直播电商的核心,需具备专业的产品知识、良好的沟通能力、较强的控场能力与个人魅力,能够吸引用户关注并建立信任。根据主播的来源,可分为品牌自播主播、达人主播、明星主播等,不同类型的主播适用于不同的营销目标与产品类型。用户则是直播电商的目标受众,需明确用户的需求、偏好与购买能力,通过精准定位实现高效触达。
货(产品):产品是直播电商的基础,需具备高性价比、强吸引力、适合直播展示的特点。产品选择需结合目标用户需求与直播场景,如美妆护肤产品适合通过试用来展示效果,食品饮料产品适合通过试吃来传递口感。同时,需制定合理的产品定价策略与促销活动,如限时折扣、满减优惠、买一送一、赠品等,刺激用户购买。
场(直播平台与场景):直播平台是直播电商的载体,需选择用户基数大、流量稳定、功能完善的平台,如抖音、快手、淘宝直播等。不同平台的用户群体与功能特性有所差异,需根据营销目标选择合适的平台。直播场景则需注重氛围营造,包括直播间的布置、灯光、背景音乐、主播的着装与话术等,通过场景化设计提升用户的观看体验。
效(效果评估与优化):效果评估是直播电商营销的关键,需设定明确的评估指标,包括观看人数、互动率(评论、点赞、转发)、转化率、销售额、客单价、复购率等。通过数据分析工具收集数据,分析直播活动的成效,找出存在的问题与不足,如主播表现、产品选择、促销活动、平台选择等,并及时进行优化调整,提升后续直播的效果。
4.1.4.3 直播电商营销的实践案例
以李佳琦直播带货为例,李佳琦作为顶级达人主播,其直播电商营销的核心优势在于 “专业 + 信任 + 氛围”。在 “人” 的层面,李佳琦具备专业的美妆护肤知识,能够精准介绍产品的成分、功效与使用方法,同时拥有较强的沟通能力与个人魅力,能够与用户实时互动,建立信任;在 “货” 的层面,李佳琦团队严格筛选产品,选择高性价比、口碑好的美妆护肤、食品饮料、家居用品等,同时制定极具吸引力的促销活动,如限时秒杀、大额优惠券、赠品等;在 “场” 的层面,李佳琦的直播间布置简洁专业,灯光柔和,背景音乐轻快,主播着装时尚,话术富有感染力,营造出热烈的购物氛围;在 “效” 的层面,李佳琦的直播观看人数 millions 级,转化率高,销售额屡创佳绩,不仅为品牌带来了巨大的曝光度与销售额,也成为直播电商营销的标杆案例。
4.2 品牌管理理论
4.2.1 品牌管理理论的发展背景与核心内涵
品牌是企业最具价值的无形资产之一,是企业与消费者之间建立信任关系的重要载体。随着市场竞争的日益激烈,产品同质化现象越来越严重,品牌已成为企业区别于竞争对手、吸引消费者的核心竞争力。品牌管理理论正是在这一背景下发展起来的,其核心内涵是通过对品牌的规划、塑造、传播、维护与优化,提升品牌的价值与影响力,实现品牌的可持续发展。
品牌管理理论的发展经历了多个阶段:早期的品牌管理理论主要聚焦于品牌识别与品牌形象的塑造,强调通过统一的品牌标识、广告宣传等方式,建立品牌的独特形象;中期的品牌管理理论注重品牌资产的积累与提升,提出了品牌资产的概念与评估方法,强调通过品牌忠诚度、品牌知名度、品牌联想等维度,提升品牌的价值;现代的品牌管理理论则更加注重品牌与消费者的互动与共鸣,强调品牌的情感价值与社会价值,关注品牌延伸、品牌危机管理等议题,以适应复杂多变的市场环境。
4.2.2 品牌资产的核心内涵与评估方法
4.2.2.1 品牌资产的定义与核心维度
品牌资产是指与品牌相关的、能够为企业带来持续竞争优势与经济利益的无形资产。美国营销学家戴维・阿克(David Aaker)提出的品牌资产 “五星模型” 是目前最具影响力的品牌资产理论,该模型认为品牌资产由五个核心维度构成:
品牌忠诚度(Brand Loyalty):指消费者对品牌的偏好与重复购买意愿,是品牌资产的核心。高品牌忠诚度的消费者会在购买决策中优先选择该品牌,愿意为品牌支付溢价,同时会主动推荐品牌给他人,为企业带来稳定的销售收入与口碑传播。
品牌知名度(Brand Awareness):指消费者对品牌的认知程度,包括品牌识别与品牌回忆。品牌知名度是品牌资产的基础,高品牌知名度能够增加消费者在购买决策中的选择概率,降低品牌的营销成本。
品牌联想(Brand Association):指消费者在提到品牌时所产生的所有联想,包括产品特性、品牌理念、使用场景、情感体验等。积极的品牌联想能够提升品牌的美誉度与差异化优势,帮助消费者建立对品牌的独特认知。
品牌品质感知(Perceived Brand Quality):指消费者对品牌产品或服务质量的主观评价,是消费者购买决策的重要依据。高品牌品质感知能够增强消费者的信任度,提升品牌的溢价能力。
品牌其他资产(Other Brand Assets):包括品牌的专利、商标、渠道关系、合作伙伴等,这些资产能够为品牌提供持续的竞争优势。
4.2.2.1 品牌资产的评估方法
品牌资产的评估方法主要分为两类:财务评估法与消费者评估法。
1. 财务评估法:主要从财务角度评估品牌资产的价值。常用的方法包括:
成本法:以品牌的历史投入成本为基础,加上品牌的增值部分,计算品牌资产的价值。该方法的优点是数据容易获取,计算简单;缺点是忽略了品牌的未来收益与市场竞争力。
市场法:通过比较同类品牌的市场交易价格,评估目标品牌的资产价值。该方法的优点是贴近市场实际,评估结果较为客观;缺点是同类品牌的交易案例较少,难以找到完全可比的品牌。
收益法:基于品牌未来的预期收益,通过折现率将其折算为现值,计算品牌资产的价值。该方法的优点是考虑了品牌的未来收益与风险,能够反映品牌的真实价值;缺点是对未来收益的预测与折现率的确定具有一定的主观性。
2. 消费者评估法:主要从消费者的角度评估品牌资产的价值。常用的方法包括:
品牌资产指数法(Brand Equity Index):通过问卷调查的方式,收集消费者对品牌忠诚度、品牌知名度、品牌联想、品牌品质感知等维度的评价,然后通过加权计算得出品牌资产指数。该方法的优点是能够直接反映消费者对品牌的态度与行为,评估结果具有较强的实用性;缺点是数据收集成本较高,样本选择对评估结果影响较大。
品牌关系质量法(Brand Relationship Quality):从品牌与消费者的关系角度,评估品牌资产的价值,包括信任、承诺、情感连接、满意度等维度。该方法的优点是关注品牌与消费者的长期关系,能够反映品牌的可持续竞争力;缺点是评估维度较为复杂,难以量化。
4.2.3 品牌延伸的核心内涵与策略
4.2.3.1 品牌延伸的定义与核心价值
品牌延伸是指企业利用已有的成功品牌名称,将其应用于新的产品或服务领域,以拓展市场份额、降低营销成本、提升品牌价值的战略行为。品牌延伸的核心价值在于:一是降低新产品的市场进入门槛,借助原有品牌的知名度与美誉度,快速获得消费者的认可;二是节约营销成本,减少新品牌的推广费用,提高营销效率;三是丰富品牌产品线,满足消费者的多样化需求,提升品牌的市场占有率;四是强化品牌形象,通过新产品的成功推广,进一步巩固品牌的核心价值与市场地位。
4.2.3.2 品牌延伸的核心策略
品牌延伸的策略主要分为以下几类:
产品线延伸(Line Extension):指在原有产品类别内,推出新的产品规格、口味、款式等,如可口可乐推出不同容量的瓶装可乐、苹果推出不同配置的 iPhone 手机。产品线延伸的优点是风险较低,能够充分利用原有品牌的渠道与用户资源;缺点是容易导致产品线过于复杂,影响品牌的核心定位。
品类延伸(Category Extension):指将原有品牌应用于新的产品类别,如耐克从运动鞋延伸至运动服装、运动器材,海尔从冰箱延伸至空调、洗衣机、热水器等家电产品。品类延伸的优点是能够拓展品牌的市场空间,提升品牌的综合竞争力;缺点是风险较高,若新的产品类别与原有品牌的核心价值不匹配,可能会损害原有品牌的形象。
品牌授权延伸(Brand Licensing Extension):指企业将品牌授权给其他企业使用,允许其在特定的产品或服务领域使用该品牌,如迪士尼将品牌授权给玩具、服装、文具等企业生产相关产品。品牌授权延伸的优点是能够快速扩大品牌的影响力,增加品牌的收入来源;缺点是需要加强对授权企业的管理,避免因产品质量问题损害品牌形象。
4.2.4 品牌危机管理的核心内涵、应对流程与策略
4.2.4.1 品牌危机管理的定义与核心价值
品牌危机是指由于企业自身行为、产品质量问题、外部环境变化等因素,导致品牌形象受到严重损害、消费者信任度下降、市场份额流失的突发事件。品牌危机管理是指企业在品牌危机发生前、发生中、发生后,通过一系列的预防、应对、修复措施,降低危机对品牌的损害,维护品牌的形象与价值的管理过程。
品牌危机管理的核心价值在于:一是快速响应危机,减少危机对品牌的负面影响,避免品牌资产贬值;二是维护消费者信任,通过积极的应对措施,向消费者传递企业的责任感与诚信态度,重建消费者对品牌的信任;三是提升品牌韧性,通过危机管理,总结经验教训,完善企业的管理体系,增强品牌应对风险的能力;四是转化危机为机遇,在危机处理过程中,展示企业的优势与担当,提升品牌的美誉度与社会形象。
4.2.4.2 品牌危机管理的应对流程
品牌危机管理的应对流程可分为四个阶段:
危机预防阶段:这是品牌危机管理的基础,核心是 “防患于未然”。企业需建立完善的品牌危机预警机制,包括:一是加强内部管理,规范企业行为,保证产品或服务质量;二是建立市场监测系统,实时关注消费者反馈、媒体报道、行业动态等,及时发现潜在的危机隐患;三是制定品牌危机应急预案,明确危机处理的组织架构、职责分工、应对策略与流程,确保危机发生时能够快速响应。
危机识别阶段:当危机隐患出现时,企业需快速识别危机的类型、性质、严重程度与影响范围。危机识别的关键是及时收集相关信息,包括消费者投诉、媒体报道、社交媒体评论等,通过数据分析与评估,确定危机的核心问题与发展趋势。
危机应对阶段:这是品牌危机管理的核心阶段,需遵循 “快速、真诚、透明、负责” 的原则。具体应对措施包括:一是快速响应,在危机发生后的黄金时间内(通常为 24 小时内)发布声明,表明企业对危机的重视与处理态度;二是真诚沟通,向消费者、媒体、合作伙伴等相关方坦诚说明危机的情况,不隐瞒、不推诿责任;三是采取有效措施解决问题,如召回问题产品、赔偿消费者损失、整改相关问题等;四是加强媒体公关,与主流媒体保持密切沟通,及时发布危机处理的进展情况,引导舆论走向。
危机修复阶段:危机得到控制后,企业需采取一系列措施修复品牌形象,重建消费者信任。具体措施包括:一是持续关注消费者反馈,及时回应消费者的疑问与诉求;二是加强品牌宣传,通过广告、公关活动、公益事业等方式,传递品牌的正面信息,提升品牌的美誉度;三是优化产品或服务,针对危机暴露的问题,进行整改与升级,提高产品或服务的质量;四是培育品牌忠诚度,通过会员服务、个性化营销等方式,增强与核心消费者的情感连接,重建消费者对品牌的信任与忠诚。
4.2.4.3 品牌危机管理的核心策略
责任担当策略:在危机发生后,企业应主动承担相应的责任,不逃避、不推诿,向消费者传递企业的责任感与诚信态度。例如,丰田汽车在 “刹车门” 事件中,主动召回问题车辆,向消费者道歉并提供赔偿,展现了企业的责任担当,有效降低了危机对品牌的损害。
透明沟通策略:保持危机处理过程的透明度,及时向消费者、媒体、合作伙伴等相关方发布危机的进展情况、处理措施与结果,避免谣言传播,引导舆论走向。例如,海底捞在 “老鼠门” 事件中,快速发布声明,承认问题并公布整改措施,通过透明沟通赢得了消费者的理解与信任。
快速响应策略:危机发生后,企业需在第一时间做出响应,制定应对方案并付诸实施,避免危机扩大化。例如,鸿星尔克在河南暴雨灾害中,快速捐赠 5000 万元物资,通过快速响应的公益行为,提升了品牌的知名度与美誉度。
情感共鸣策略:在危机处理过程中,关注消费者的情感需求,通过真诚的道歉、慰问等方式,与消费者建立情感共鸣,赢得消费者的谅解。例如,三星手机在 “爆炸门” 事件后,向消费者真诚道歉,并提供免费更换手机、赔偿损失等服务,努力修复与消费者的情感连接。
4.3 客户关系管理理论
4.3.1 客户关系管理理论的发展背景与核心内涵
在市场竞争日益激烈、消费者需求日益多样化的背景下,企业的营销重心已从 “以产品为中心” 转向 “以客户为中心”。客户关系管理(CRM,Customer Relationship Management)理论正是在这一背景下应运而生的,其核心内涵是企业通过利用信息技术、数据分析等手段,对客户关系进行全面的管理与维护,包括客户信息收集、客户需求分析、客户服务提供、客户价值提升等,以建立长期稳定的客户关系,实现客户价值与企业价值的双赢。
客户关系管理理论的核心特征包括:一是以客户为中心,将客户视为企业最重要的资产,一切经营活动都围绕客户需求展开;二是强调数据驱动,通过收集、分析客户数据,深入了解客户的需求、偏好、行为轨迹等,为客户提供个性化的产品与服务;三是注重长期合作,通过持续的客户服务与互动沟通,建立客户与企业之间的信任关系,培育客户忠诚,实现长期稳定的合作;四是跨部门协同,客户关系管理需要企业内部的销售、营销、客服、研发等多个部门协同合作,形成全方位的客户服务体系。
4.3.2 CRM 的核心内涵与系统架构
4.3.2.1 CRM 的核心内涵
CRM 的核心内涵可概括为 “以客户为中心,以数据为基础,以技术为支撑,以价值为目标”。具体包括以下几个方面:
客户信息管理:收集、整理、存储客户的基本信息(如姓名、性别、年龄、联系方式等)、交易信息(如购买产品、购买金额、购买频率等)、行为信息(如浏览记录、点击记录、互动记录等)、需求信息(如投诉建议、偏好需求等),建立全面的客户数据库。
客户需求分析:通过数据分析工具,对客户数据进行深入分析,挖掘客户的潜在需求、消费习惯、购买偏好等,为企业的产品研发、营销策划、服务优化提供依据。
客户服务管理:建立完善的客户服务体系,为客户提供全方位、个性化的服务,包括售前咨询、售中支持、售后服务等,及时回应客户的需求与投诉,提升客户满意度。
客户价值管理:通过客户价值评估,识别高价值客户,制定针对性的营销策略与服务方案,提升高价值客户的忠诚度与贡献度;同时,挖掘潜在客户,转化低价值客户,提升整体客户价值。
客户互动管理:通过多种渠道(如电话、短信、邮件、社交媒体、线下活动等)与客户进行互动沟通,建立良好的客户关系,增强客户的参与感与归属感。
4.3.2.2 CRM 的系统架构
CRM 系统是实现客户关系管理的技术支撑,其系统架构通常包括以下几个层面:
数据层:是 CRM 系统的基础,负责收集、存储、管理客户数据。数据来源包括企业内部的销售系统、营销系统、客服系统等,以及外部的社交媒体平台、第三方数据服务商等。数据层需要具备数据整合、数据清洗、数据存储、数据安全等功能,确保客户数据的准确性、完整性与安全性。
技术层:提供 CRM 系统的技术支撑,包括数据库管理系统、操作系统、网络技术、云计算技术、大数据分析技术、人工智能技术等。技术层需要具备高性能、高可靠性、高扩展性等特点,满足 CRM 系统的运行需求。
功能层:是 CRM 系统的核心,提供客户关系管理的各项功能模块,包括销售自动化模块(SFA)、营销自动化模块(MA)、客户服务自动化模块(CSA)、客户分析模块(CA)。
应用层:是 CRM 系统的用户界面,包括桌面端应用、移动端应用、Web 端应用等,方便企业内部员工(如销售人员、营销人员、客服人员、管理人员等)与客户进行交互与操作。应用层需要具备简洁易用、界面友好、响应迅速等特点,提升用户体验。
4.3.3 客户价值评估的核心内涵与方法
4.3.3.1 客户价值评估的定义与核心维度
客户价值评估是指企业通过对客户的历史交易数据、行为数据、需求数据等进行分析,评估客户为企业带来的当前价值与未来潜在价值的过程。客户价值评估的核心目的是识别高价值客户,为企业的营销策略制定、资源配置、服务优化提供依据,实现客户价值的最大化。
客户价值评估的核心维度包括:
当前价值(Current Value):指客户在当前时期为企业带来的直接经济利益,主要通过客户的购买金额、购买频率、客单价等指标来衡量。
潜在价值(Potential Value):指客户在未来时期可能为企业带来的经济利益,主要通过客户的增长潜力、交叉购买潜力、推荐购买潜力等指标来衡量。
忠诚度价值(Loyalty Value):指客户因对品牌的忠诚而为企业带来的长期利益,主要通过客户的重复购买率、推荐率、对价格的敏感度等指标来衡量。
信用价值(Credit Value):指客户的信用状况对企业的影响,主要通过客户的付款及时性、欠款情况等指标来衡量。
4.3.3.2 客户价值评估的主要方法
1. RFM 模型:是客户价值评估中最常用的方法之一,通过三个指标来评估客户价值:
R(Recency):客户最近一次购买的时间,最近一次购买时间越近,客户价值越高。
F(Frequency):客户在一定时期内的购买频率,购买频率越高,客户价值越高。
M(Monetary):客户在一定时期内的购买金额,购买金额越高,客户价值越高。
通过对 R、F、M 三个指标进行评分与加权计算,将客户分为高价值客户、中价值客户、低价值客户等不同等级,为企业制定差异化的营销策略提供依据。
2. 客户价值矩阵法:将客户的当前价值与潜在价值作为两个维度,构建客户价值矩阵,将客户分为四类:
高当前价值、高潜在价值:核心客户,是企业最有价值的客户群体,需重点维护与培育。
高当前价值、低潜在价值:重要客户,为企业带来稳定的当前收益,需保持其忠诚度。
低当前价值、高潜在价值:潜在客户,具有较大的发展潜力,需通过针对性的营销策略,提升其当前价值。
低当前价值、低潜在价值:一般客户,对企业的贡献较小,可采取低成本的维护策略。
4.3.4 客户忠诚培育的核心内涵、影响因素与策略
4.3.4.1 客户忠诚的定义与核心价值
客户忠诚是指客户在多次购买决策中,持续偏好并选择某一品牌或企业的产品与服务,愿意为品牌支付溢价,同时主动推荐品牌给他人的行为与态度。客户忠诚是客户关系管理的核心目标,其核心价值在于稳定销售收入、降低营销成本、提升品牌竞争力、促进企业创新。
4.3.4.2 客户忠诚的影响因素
客户忠诚的影响因素主要包括以下几个方面:
产品或服务质量:这是客户忠诚的基础,优质的产品或服务能够满足客户的需求,提升客户的满意度,进而培育客户忠诚。
客户服务质量:良好的客户服务能够及时回应客户的需求与投诉,解决客户的问题,提升客户的体验感,增强客户的信任度。
品牌形象:积极的品牌形象能够传递品牌的核心价值与价值观,与客户建立情感连接,提升客户的品牌认同感与忠诚度。
价格合理性:合理的价格策略能够满足客户的性价比需求,避免因价格过高或过低影响客户忠诚。
客户关系管理:有效的客户关系管理能够为客户提供个性化的产品与服务,增强客户的参与感与归属感,培育客户忠诚。
竞争对手因素:竞争对手的产品质量、服务水平、价格策略等也会影响客户的忠诚决策,若竞争对手提供更优质的产品或服务,可能会导致客户流失。
4.3.4.3 客户忠诚培育的核心策略
提供优质的产品与服务:持续提升产品或服务的质量,满足客户的需求与期望,这是培育客户忠诚的基础。企业需加强产品研发与质量控制,优化服务流程,提升服务效率与质量。
实施个性化营销:通过客户数据分析,了解客户的需求、偏好与行为轨迹,为客户提供个性化的产品推荐、服务方案与营销活动,增强客户的体验感与满意度。
建立客户反馈机制:通过问卷调查、电话回访、社交媒体互动等方式,收集客户的反馈与建议,及时回应客户的需求与投诉,解决客户的问题,提升客户的信任度。
开展客户忠诚计划:制定客户忠诚计划,如会员制度、积分制度、折扣优惠、专属服务等,激励客户重复购买,提升客户的忠诚度。例如,航空公司的常旅客计划、超市的会员积分制度等。
加强品牌建设:塑造积极的品牌形象,传递品牌的核心价值与价值观,通过品牌宣传、公关活动、公益事业等方式,与客户建立情感连接,提升客户的品牌认同感与忠诚度。
提升员工满意度:员工是客户服务的直接提供者,员工满意度越高,服务质量越好,客户满意度与忠诚度也会相应提升。企业需关注员工的需求,提供良好的工作环境、薪酬福利与发展机会,提升员工满意度与忠诚度。
4.4 服务营销、绿色营销、社会责任营销理论
4.4.1 服务营销理论
4.4.1.1 服务营销的定义与核心特征
服务营销是指企业围绕服务产品开展的一系列营销活动,其核心是通过满足客户的服务需求,提升客户满意度与忠诚度,实现企业的营销目标。与产品营销相比,服务营销具有以下核心特征:
无形性(Intangibility):服务是一种无形的产品,客户在购买前无法触摸、看到或感受到服务的质量,只能通过企业的宣传、口碑等间接了解。
不可分离性(Inseparability):服务的生产与消费是同时进行的,服务提供者与客户之间存在直接的互动关系,客户的参与会影响服务的质量与效果。
差异性(Heterogeneity):服务的质量受到服务提供者的技能、态度、情绪等因素的影响,不同的服务提供者提供的服务可能存在差异,即使是同一服务提供者,在不同的时间、场合提供的服务也可能不同。
不可储存性(Perishability):服务无法像实体产品一样储存起来,供后续销售或使用,若服务不被及时消费,就会失去其价值。
所有权不可转让性(Non-Transferability):客户购买服务后,只获得了服务的使用权,而不获得服务的所有权。
4.4.1.2 服务营销的核心理论与策略
1.服务质量差距模型(Service Quality Gap Model):该模型由美国营销学家帕拉苏拉曼(Parasuraman)、泽瑟摩尔(Zeithaml)和贝里(Berry)提出,认为服务质量的差距主要来源于五个方面:
客户期望与管理者感知之间的差距(差距 1):管理者对客户的服务期望理解不准确。
管理者感知与服务质量标准之间的差距(差距 2):管理者制定的服务质量标准与客户的期望不匹配。
服务质量标准与服务传递之间的差距(差距 3):服务提供者未能按照服务质量标准提供服务。
服务传递与外部沟通之间的差距(差距 4):企业的外部宣传与实际提供的服务不一致。
客户期望与客户感知之间的差距(差距 5):客户实际感受到的服务质量与期望的服务质量不匹配。
服务营销的核心目标是缩小这五个差距,提升服务质量。企业可通过加强市场调研、完善服务质量标准、加强员工培训、规范外部沟通等方式,缩小服务质量差距。
2.7P 营销组合策略:传统的 4P 营销组合(产品、价格、渠道、促销)已难以满足服务营销的需求,因此营销学家在 4P 的基础上,增加了三个与服务相关的要素,形成了 7P 营销组合策略:
产品(Product):指服务产品的核心价值、附加服务等,需满足客户的需求与期望。
价格(Price):指服务的收费标准,需考虑客户的支付能力、竞争对手的价格、服务的成本等因素,制定合理的价格策略。
渠道(Place):指服务的提供地点与方式,需方便客户获取服务,如线下门店、线上平台、上门服务等。
促销(Promotion):指服务的宣传与推广,需通过广告、公关、销售促进、人员推销等方式,向客户传递服务的价值与优势。
人员(People):指服务提供者,包括企业的员工、合作伙伴等,其技能、态度、形象等会直接影响服务质量与客户体验。企业需加强员工培训,提升员工的专业素质与服务意识。
过程(Process):指服务的提供流程,需优化服务流程,提高服务效率,减少客户的等待时间,提升客户的体验感。
有形展示(Physical Evidence):指服务的有形载体,包括服务环境、服务设施、企业形象标识、员工着装等,能够帮助客户感知服务的质量与价值。
4.4.2 绿色营销理论
4.4.2.1 绿色营销的定义与核心背景
绿色营销是指企业在营销活动中,以可持续发展为理念,注重环境保护与资源节约,通过研发绿色产品、制定绿色价格、选择绿色渠道、开展绿色促销等方式,满足消费者的绿色需求,实现企业利益、消费者利益与社会利益的统一。
绿色营销的核心背景的是全球环境问题日益严峻,如气候变暖、环境污染、资源短缺等,消费者的环保意识不断提升,对绿色产品的需求日益增长。同时,政府也出台了一系列环保政策与法规,鼓励企业开展绿色生产与绿色营销。在这一背景下,绿色营销已成为企业实现可持续发展的必然选择。
4.4.2.2 绿色营销的核心内涵与策略
绿色产品策略:绿色产品是绿色营销的核心,指符合环境保护标准、资源节约要求、对人体健康无害的产品。企业需加强绿色产品研发,采用环保材料、节能技术、清洁生产工艺等,减少产品对环境的污染与资源的消耗。同时,绿色产品的包装也需采用环保材料,减少包装废弃物的产生。
绿色价格策略:绿色产品的生产成本通常较高,因此其价格也相对较高。企业在制定绿色价格时,需考虑产品的环保成本、研发成本、市场需求等因素,同时可采用心理定价策略,如溢价定价策略,强调绿色产品的环保价值与健康价值,吸引对价格不敏感的绿色消费者。
绿色渠道策略:选择绿色渠道,减少营销过程中的环境影响。绿色渠道的选择标准包括:渠道合作伙伴具有良好的环保意识与行为;运输方式环保节能,如选择新能源运输工具、优化运输路线等;销售终端的环境友好,如采用节能照明、环保装修材料等。
绿色促销策略:通过绿色促销活动,向消费者传递绿色产品的价值与优势,提升消费者的绿色消费意识。绿色促销的方式包括:绿色广告,宣传产品的环保特性与优势;绿色公关,通过参与环保公益活动、发布企业环保报告等方式,提升企业的绿色形象;绿色销售促进,如开展绿色产品试用、赠送绿色礼品等活动,刺激消费者购买。
绿色服务策略:提供绿色服务,如绿色售后服务、绿色回收服务等,减少产品使用与废弃过程中的环境影响。例如,企业可为消费者提供产品维修、保养服务,延长产品的使用寿命;开展产品回收服务,对废弃产品进行回收再利用,减少资源浪费与环境污染。
4.4.3 社会责任营销理论
4.4.3.1 社会责任营销的定义与核心内涵
社会责任营销(Social Responsibility Marketing)是指企业在营销活动中,不仅关注企业的经济利益,还注重履行社会责任,将社会责任融入到企业的营销战略与实践中,通过解决社会问题、满足社会需求,实现企业利益、社会利益与消费者利益的共赢。
社会责任营销的核心内涵包括:一是企业的营销活动需符合法律规范与道德准则,不损害消费者利益与社会公共利益;二是企业需关注社会问题,如环境保护、公益事业、弱势群体帮扶、教育支持等,通过营销活动为解决社会问题做出贡献;三是企业需将社会责任理念传递给消费者与社会各界,引导消费者进行负责任的消费,推动社会的可持续发展。
4.4.3.2 社会责任营销的核心策略与实践案例
1. 社会责任营销的核心策略
公益营销策略:企业通过参与或发起公益活动,如捐赠公益资金、开展公益项目、赞助公益赛事等,提升企业的社会形象,同时促进产品或服务的销售。公益营销的关键是选择与企业品牌理念、目标受众相契合的公益项目,确保公益活动的真实性与透明度。
道德营销策略:企业在营销活动中坚守道德底线,诚实守信,不进行虚假宣传、不正当竞争等行为,保护消费者的合法权益。例如,企业需如实宣传产品的功能与效果,不夸大其词;保障产品的质量与安全,不生产销售假冒伪劣产品。
可持续发展营销策略:企业将可持续发展理念融入到营销战略中,注重资源节约、环境保护、员工权益保护等,实现企业的长期可持续发展。例如,企业采用环保材料生产产品,减少对环境的污染;保障员工的合法权益,提供良好的工作环境与发展机会。
利益相关者营销策略:关注企业的利益相关者(如消费者、员工、供应商、社区、政府等)的利益需求,通过营销活动实现利益相关者的共赢。例如,企业为消费者提供优质的产品与服务,为员工提供合理的薪酬福利,为供应商提供公平的合作机会,为社区做出积极的贡献。
2. 社会责任营销的实践案例
以农夫山泉为例,农夫山泉的社会责任营销以 “环保” 与 “公益” 为核心。在环保方面,农夫山泉坚持 “天然、健康” 的产品理念,采用天然水源地生产,减少对环境的污染;同时,投入大量资金用于水源地的保护与生态建设。在公益方面,农夫山泉开展了 “一分钱公益” 活动,每销售一瓶水,捐赠一分钱用于公益事业,支持贫困地区的教育、体育等事业发展;此外,农夫山泉还赞助了多项公益赛事与活动,提升了品牌的社会形象。通过社会责任营销,农夫山泉不仅赢得了消费者的认可与信任,还实现了企业利益与社会利益的共赢。

